Номер 5, страница 89 - гдз по алгебре 8 класс дидактические материалы Мерзляк, Полонский
 
                                                Авторы: Мерзляк А. Г., Полонский В. Б., Рабинович Е. М., Якир М. С.
Тип: Дидактические материалы
Издательство: Просвещение, Вентана-граф
Год издания: 2014 - 2025
Цвет обложки: розовый, фиолетовый с папками
ISBN: 978-5-09-079636-1
Популярные ГДЗ в 8 классе
Контрольные работы. Вариант 1. Контрольная работа № 4 - номер 5, страница 89.
№5 (с. 89)
Условие. №5 (с. 89)
скриншот условия
 
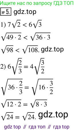
                                5. Сравните числа:
1) $7\sqrt{2}$ и $6\sqrt{3}$;
2) $6\sqrt{\frac{2}{3}}$ и $4\sqrt{\frac{3}{2}}$.
Решение 1. №5 (с. 89)
 
                            Решение 2. №5 (с. 89)
 
                            Решение 3. №5 (с. 89)
1)
Для того чтобы сравнить числа $7\sqrt{2}$ и $6\sqrt{3}$, внесем множители, стоящие перед корнями, под знак корня. Для этого необходимо возвести множитель в квадрат и умножить его на подкоренное выражение.
Выполним преобразование для первого числа:
$7\sqrt{2} = \sqrt{7^2 \cdot 2} = \sqrt{49 \cdot 2} = \sqrt{98}$
Выполним преобразование для второго числа:
$6\sqrt{3} = \sqrt{6^2 \cdot 3} = \sqrt{36 \cdot 3} = \sqrt{108}$
Теперь необходимо сравнить полученные выражения $\sqrt{98}$ и $\sqrt{108}$. Так как функция квадратного корня является возрастающей, большему подкоренному выражению соответствует и большее значение корня.
Сравниваем подкоренные выражения: $98 < 108$.
Следовательно, $\sqrt{98} < \sqrt{108}$, а значит $7\sqrt{2} < 6\sqrt{3}$.
Ответ: $7\sqrt{2} < 6\sqrt{3}$.
2)
Для сравнения чисел $6\sqrt{\frac{2}{3}}$ и $4\sqrt{\frac{3}{2}}$ воспользуемся тем же методом внесения множителя под знак корня.
Выполним преобразование для первого числа:
$6\sqrt{\frac{2}{3}} = \sqrt{6^2 \cdot \frac{2}{3}} = \sqrt{36 \cdot \frac{2}{3}} = \sqrt{\frac{36 \cdot 2}{3}} = \sqrt{12 \cdot 2} = \sqrt{24}$
Выполним преобразование для второго числа:
$4\sqrt{\frac{3}{2}} = \sqrt{4^2 \cdot \frac{3}{2}} = \sqrt{16 \cdot \frac{3}{2}} = \sqrt{\frac{16 \cdot 3}{2}} = \sqrt{8 \cdot 3} = \sqrt{24}$
В результате преобразований мы получили, что оба исходных числа равны $\sqrt{24}$.
Следовательно, $6\sqrt{\frac{2}{3}} = 4\sqrt{\frac{3}{2}}$.
Ответ: $6\sqrt{\frac{2}{3}} = 4\sqrt{\frac{3}{2}}$.
Другие задания:
Помогло решение? Оставьте отзыв в комментариях ниже.
Присоединяйтесь к Телеграм-группе @top_gdz
ПрисоединитьсяМы подготовили для вас ответ c подробным объяснением домашего задания по алгебре за 8 класс, для упражнения номер 5 расположенного на странице 89 к дидактическим материалам 2014 года издания для учащихся школ и гимназий.
Теперь на нашем сайте ГДЗ.ТОП вы всегда легко и бесплатно найдёте условие с правильным ответом на вопрос «Как решить ДЗ» и «Как сделать» задание по алгебре к упражнению №5 (с. 89), авторов: Мерзляк (Аркадий Григорьевич), Полонский (Виталий Борисович), Рабинович (Ефим Михайлович), Якир (Михаил Семёнович), ФГОС (старый) учебного пособия издательства Просвещение, Вентана-граф.
 
                     
                     
                     
                     
                     
                     
                     
                     
                     
                     
                     
                     
                     
                     
                     
                    