Номер 449, страница 184 - гдз по алгебре 9 класс учебник Дорофеев, Суворова

Авторы: Дорофеев Г. В., Суворова С. Б., Бунимович Е. А., Кузнецова Л. В., Минаева С. С., Рослова Л. О.
Тип: Учебник
Издательство: Просвещение
Год издания: 2019 - 2025
Цвет обложки: белый, голубой, оранжевый
ISBN: 978-5-09-071890-5
Рекомендовано Министерством образования и науки Российской Федерации
Популярные ГДЗ в 9 классе
3.5. Системы уравнений с двумя переменными. Глава 3. Уравнения и системы уравнений - номер 449, страница 184.
№449 (с. 184)
Условие. №449 (с. 184)
скриншот условия

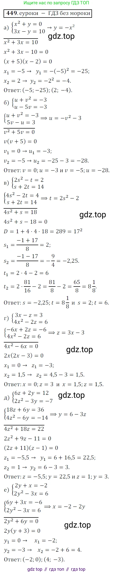
449 Решите систему уравнений способом сложения:
a) $ \begin{cases} x^2 + y = 0 \\ 3x - y = 10; \end{cases} $
б) $ \begin{cases} u + v^2 = -3 \\ u - 5v = -3; \end{cases} $
в) $ \begin{cases} 2s^2 - t = 2 \\ s + 2t = 14; \end{cases} $
г) $ \begin{cases} 3x - z = 3 \\ 4x^2 - 2z = 6; \end{cases} $
д) $ \begin{cases} 6z + 2y = 12 \\ 2z^2 - 3y = -7; \end{cases} $
е) $ \begin{cases} 2y + x = -2 \\ 2y^2 - 3x = 6. \end{cases} $
Решение 1. №449 (с. 184)






Решение 2. №449 (с. 184)




Решение 3. №449 (с. 184)

Решение 4. №449 (с. 184)
а)
Дана система уравнений:
$ \begin{cases} x^2 + y = 0 \\ 3x - y = 10 \end{cases} $
Сложим левые и правые части уравнений, чтобы исключить переменную y:
$(x^2 + y) + (3x - y) = 0 + 10$
$x^2 + 3x = 10$
Перенесем все члены в левую часть, чтобы получить квадратное уравнение:
$x^2 + 3x - 10 = 0$
Найдем корни уравнения с помощью теоремы Виета или через дискриминант. Дискриминант $D = b^2 - 4ac = 3^2 - 4 \cdot 1 \cdot (-10) = 9 + 40 = 49$.
$x_1 = \frac{-3 - \sqrt{49}}{2} = \frac{-3 - 7}{2} = -5$
$x_2 = \frac{-3 + \sqrt{49}}{2} = \frac{-3 + 7}{2} = 2$
Теперь найдем соответствующие значения y, подставив найденные значения x в первое уравнение системы $y = -x^2$.
При $x_1 = -5$:
$y_1 = -(-5)^2 = -25$
При $x_2 = 2$:
$y_2 = -(2)^2 = -4$
Таким образом, решения системы: $(-5, -25)$ и $(2, -4)$.
Ответ: $(-5; -25)$, $(2; -4)$.
б)
Дана система уравнений:
$ \begin{cases} u + v^2 = -3 \\ u - 5v = -3 \end{cases} $
Вычтем второе уравнение из первого, чтобы исключить переменную u:
$(u + v^2) - (u - 5v) = -3 - (-3)$
$u + v^2 - u + 5v = 0$
$v^2 + 5v = 0$
Вынесем v за скобки:
$v(v + 5) = 0$
Отсюда получаем два возможных значения для v:
$v_1 = 0$ или $v_2 = -5$
Найдем соответствующие значения u, подставив v во второе уравнение $u = 5v - 3$.
При $v_1 = 0$:
$u_1 = 5 \cdot 0 - 3 = -3$
При $v_2 = -5$:
$u_2 = 5 \cdot (-5) - 3 = -25 - 3 = -28$
Решения системы: $(-3, 0)$ и $(-28, -5)$.
Ответ: $(-28; -5)$, $(-3; 0)$.
в)
Дана система уравнений:
$ \begin{cases} 2s^2 - t = 2 \\ s + 2t = 14 \end{cases} $
Умножим первое уравнение на 2, чтобы коэффициенты при t стали противоположными:
$2 \cdot (2s^2 - t) = 2 \cdot 2 \Rightarrow 4s^2 - 2t = 4$
Теперь система выглядит так:
$ \begin{cases} 4s^2 - 2t = 4 \\ s + 2t = 14 \end{cases} $
Сложим уравнения:
$(4s^2 - 2t) + (s + 2t) = 4 + 14$
$4s^2 + s = 18$
$4s^2 + s - 18 = 0$
Решим квадратное уравнение. Дискриминант $D = 1^2 - 4 \cdot 4 \cdot (-18) = 1 + 288 = 289 = 17^2$.
$s_1 = \frac{-1 - 17}{2 \cdot 4} = \frac{-18}{8} = -\frac{9}{4}$
$s_2 = \frac{-1 + 17}{2 \cdot 4} = \frac{16}{8} = 2$
Найдем t из второго уравнения $t = \frac{14 - s}{2}$.
При $s_1 = -9/4$:
$t_1 = \frac{14 - (-9/4)}{2} = \frac{14 + 9/4}{2} = \frac{56/4 + 9/4}{2} = \frac{65/4}{2} = \frac{65}{8}$
При $s_2 = 2$:
$t_2 = \frac{14 - 2}{2} = \frac{12}{2} = 6$
Решения системы: $(-9/4, 65/8)$ и $(2, 6)$.
Ответ: $(2; 6)$, $(-2,25; 8,125)$.
г)
Дана система уравнений:
$ \begin{cases} 3x - z = 3 \\ 4x^2 - 2z = 6 \end{cases} $
Умножим первое уравнение на -2:
$-2 \cdot (3x - z) = -2 \cdot 3 \Rightarrow -6x + 2z = -6$
Теперь система выглядит так:
$ \begin{cases} -6x + 2z = -6 \\ 4x^2 - 2z = 6 \end{cases} $
Сложим уравнения:
$(-6x + 2z) + (4x^2 - 2z) = -6 + 6$
$4x^2 - 6x = 0$
$2x(2x - 3) = 0$
Получаем два значения для x:
$x_1 = 0$ или $2x - 3 = 0 \Rightarrow x_2 = 3/2$
Найдем z из первого уравнения $z = 3x - 3$.
При $x_1 = 0$:
$z_1 = 3 \cdot 0 - 3 = -3$
При $x_2 = 3/2$:
$z_2 = 3 \cdot (3/2) - 3 = 9/2 - 6/2 = 3/2$
Решения системы: $(0, -3)$ и $(3/2, 3/2)$.
Ответ: $(0; -3)$, $(1,5; 1,5)$.
д)
Дана система уравнений:
$ \begin{cases} 6z + 2y = 12 \\ 2z^2 - 3y = -7 \end{cases} $
Умножим первое уравнение на 3, а второе на 2, чтобы коэффициенты при y стали противоположными:
$3 \cdot (6z + 2y) = 3 \cdot 12 \Rightarrow 18z + 6y = 36$
$2 \cdot (2z^2 - 3y) = 2 \cdot (-7) \Rightarrow 4z^2 - 6y = -14$
Сложим полученные уравнения:
$(18z + 6y) + (4z^2 - 6y) = 36 - 14$
$4z^2 + 18z = 22$
$4z^2 + 18z - 22 = 0$
Разделим все уравнение на 2:
$2z^2 + 9z - 11 = 0$
Решим квадратное уравнение. Дискриминант $D = 9^2 - 4 \cdot 2 \cdot (-11) = 81 + 88 = 169 = 13^2$.
$z_1 = \frac{-9 - 13}{2 \cdot 2} = \frac{-22}{4} = -\frac{11}{2}$
$z_2 = \frac{-9 + 13}{2 \cdot 2} = \frac{4}{4} = 1$
Найдем y из первого уравнения $2y = 12 - 6z \Rightarrow y = 6 - 3z$.
При $z_1 = -11/2$:
$y_1 = 6 - 3 \cdot (-11/2) = 6 + 33/2 = 12/2 + 33/2 = 45/2$
При $z_2 = 1$:
$y_2 = 6 - 3 \cdot 1 = 3$
Решения системы: $(-11/2, 45/2)$ и $(1, 3)$.
Ответ: $(1; 3)$, $(-5,5; 22,5)$.
е)
Дана система уравнений:
$ \begin{cases} 2y + x = -2 \\ 2y^2 - 3x = 6 \end{cases} $
Умножим первое уравнение на 3:
$3 \cdot (2y + x) = 3 \cdot (-2) \Rightarrow 6y + 3x = -6$
Теперь система выглядит так:
$ \begin{cases} 6y + 3x = -6 \\ 2y^2 - 3x = 6 \end{cases} $
Сложим уравнения:
$(6y + 3x) + (2y^2 - 3x) = -6 + 6$
$2y^2 + 6y = 0$
$2y(y + 3) = 0$
Получаем два значения для y:
$y_1 = 0$ или $y_2 = -3$
Найдем x из первого уравнения $x = -2 - 2y$.
При $y_1 = 0$:
$x_1 = -2 - 2 \cdot 0 = -2$
При $y_2 = -3$:
$x_2 = -2 - 2 \cdot (-3) = -2 + 6 = 4$
Решения системы: $(-2, 0)$ и $(4, -3)$.
Ответ: $(-2; 0)$, $(4; -3)$.
Другие задания:
Помогло решение? Оставьте отзыв в комментариях ниже.
Мы подготовили для вас ответ c подробным объяснением домашего задания по алгебре за 9 класс, для упражнения номер 449 расположенного на странице 184 к учебнику 2019 года издания для учащихся школ и гимназий.
Теперь на нашем сайте ГДЗ.ТОП вы всегда легко и бесплатно найдёте условие с правильным ответом на вопрос «Как решить ДЗ» и «Как сделать» задание по алгебре к упражнению №449 (с. 184), авторов: Дорофеев (Георгий Владимирович), Суворова (Светлана Борисовна), Бунимович (Евгений Абрамович), Кузнецова (Людмила Викторовна), Минаева (Светлана Станиславовна), Рослова (Лариса Олеговна), ФГОС (старый) учебного пособия издательства Просвещение.