Номер 540, страница 209 - гдз по алгебре 9 класс учебник Дорофеев, Суворова

Авторы: Дорофеев Г. В., Суворова С. Б., Бунимович Е. А., Кузнецова Л. В., Минаева С. С., Рослова Л. О.
Тип: Учебник
Издательство: Просвещение
Год издания: 2019 - 2025
Цвет обложки: белый, голубой, оранжевый
ISBN: 978-5-09-071890-5
Рекомендовано Министерством образования и науки Российской Федерации
Популярные ГДЗ в 9 классе
Уравнения с одной переменной. Глава 3. Уравнения и системы уравнений - номер 540, страница 209.
№540 (с. 209)
Условие. №540 (с. 209)
скриншот условия

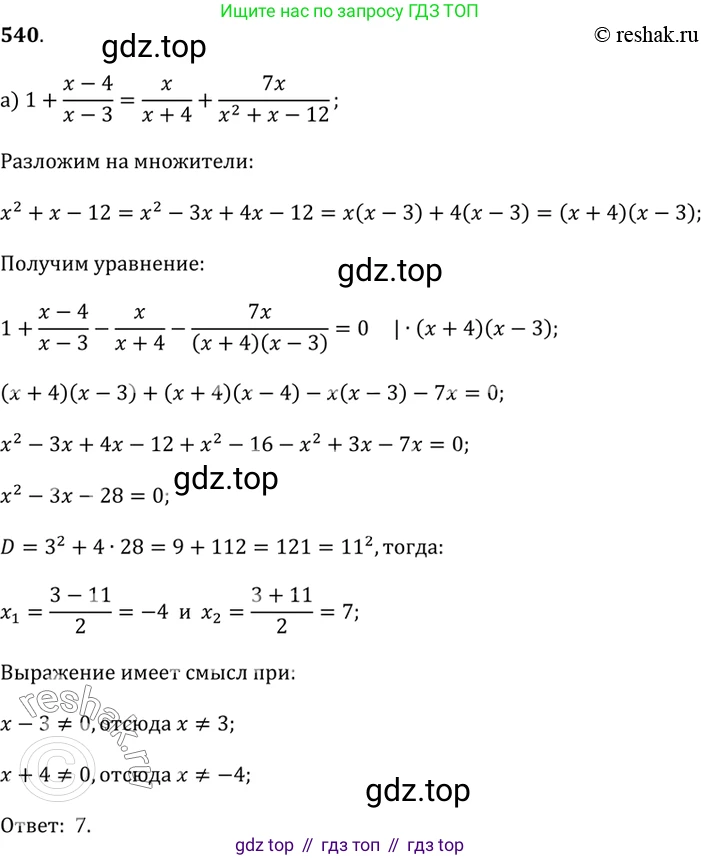
540 а) $1 + \frac{x-4}{x-3} = \frac{x}{x+4} + \frac{7x}{x^2+x-12}$
б) $1 - \frac{2}{x+1} = \frac{5}{x^2-2x-3} - \frac{4}{x-3}$
В) $\frac{2}{x+2} - \frac{6}{x^2-2x+4} = \frac{24}{x^3+8}$
Г) $\frac{3x}{x^3-1} - \frac{3}{x^2+x+1} = \frac{1}{x-1}$
Решение 1. №540 (с. 209)




Решение 2. №540 (с. 209)



Решение 3. №540 (с. 209)

Решение 4. №540 (с. 209)
а) $1 + \frac{x-4}{x-3} = \frac{x}{x+4} + \frac{7x}{x^2 + x - 12}$
Сначала найдем область допустимых значений (ОДЗ). Знаменатели не могут быть равны нулю, поэтому:
$x - 3 \neq 0 \implies x \neq 3$
$x + 4 \neq 0 \implies x \neq -4$
Разложим знаменатель $x^2 + x - 12$ на множители. Корни уравнения $x^2 + x - 12 = 0$ по теореме Виета равны -4 и 3. Следовательно, $x^2 + x - 12 = (x+4)(x-3)$.
Таким образом, ОДЗ: $x \neq 3$ и $x \neq -4$.
Перепишем уравнение с разложенным знаменателем:
$1 + \frac{x-4}{x-3} = \frac{x}{x+4} + \frac{7x}{(x-3)(x+4)}$
Перенесем все слагаемые в левую часть:
$1 + \frac{x-4}{x-3} - \frac{x}{x+4} - \frac{7x}{(x-3)(x+4)} = 0$
Приведем все слагаемые к общему знаменателю $(x-3)(x+4)$:
$\frac{(x-3)(x+4)}{(x-3)(x+4)} + \frac{(x-4)(x+4)}{(x-3)(x+4)} - \frac{x(x-3)}{(x-3)(x+4)} - \frac{7x}{(x-3)(x+4)} = 0$
Так как знаменатель не равен нулю в ОДЗ, приравняем числитель к нулю:
$(x-3)(x+4) + (x-4)(x+4) - x(x-3) - 7x = 0$
Раскроем скобки и упростим выражение:
$(x^2 + 4x - 3x - 12) + (x^2 - 16) - (x^2 - 3x) - 7x = 0$
$x^2 + x - 12 + x^2 - 16 - x^2 + 3x - 7x = 0$
$x^2 - 3x - 28 = 0$
Решим полученное квадратное уравнение. По теореме Виета, корни уравнения: $x_1 \cdot x_2 = -28$ и $x_1 + x_2 = 3$.
Корни: $x_1 = 7$, $x_2 = -4$.
Проверим корни на соответствие ОДЗ ($x \neq 3$ и $x \neq -4$).
Корень $x_1 = 7$ удовлетворяет ОДЗ.
Корень $x_2 = -4$ не удовлетворяет ОДЗ, так как при этом значении знаменатель $x+4$ обращается в ноль. Это посторонний корень.
Ответ: 7
б) $1 - \frac{2}{x+1} = \frac{5}{x^2 - 2x - 3} - \frac{4}{x-3}$
ОДЗ: $x+1 \neq 0 \implies x \neq -1$; $x-3 \neq 0 \implies x \neq 3$.
Разложим знаменатель $x^2 - 2x - 3$ на множители. Корни уравнения $x^2 - 2x - 3 = 0$ по теореме Виета равны 3 и -1. Следовательно, $x^2 - 2x - 3 = (x-3)(x+1)$.
ОДЗ: $x \neq -1$ и $x \neq 3$.
Перепишем уравнение:
$1 - \frac{2}{x+1} = \frac{5}{(x-3)(x+1)} - \frac{4}{x-3}$
Перенесем все слагаемые в левую часть и приведем к общему знаменателю $(x-3)(x+1)$:
$\frac{(x-3)(x+1)}{(x-3)(x+1)} - \frac{2(x-3)}{(x-3)(x+1)} - \frac{5}{(x-3)(x+1)} + \frac{4(x+1)}{(x-3)(x+1)} = 0$
Приравняем числитель к нулю:
$(x-3)(x+1) - 2(x-3) - 5 + 4(x+1) = 0$
Раскроем скобки:
$(x^2 - 2x - 3) - (2x - 6) - 5 + (4x + 4) = 0$
$x^2 - 2x - 3 - 2x + 6 - 5 + 4x + 4 = 0$
Приведем подобные слагаемые:
$x^2 + (-2x - 2x + 4x) + (-3 + 6 - 5 + 4) = 0$
$x^2 + 0x + 2 = 0$
$x^2 + 2 = 0$
$x^2 = -2$
Данное уравнение не имеет действительных корней, так как квадрат любого действительного числа неотрицателен.
Ответ: нет корней
в) $\frac{2}{x+2} - \frac{6}{x^2 - 2x + 4} = \frac{24}{x^3 + 8}$
Знаменатель $x^3+8$ можно разложить по формуле суммы кубов: $x^3 + 2^3 = (x+2)(x^2 - 2x + 4)$.
ОДЗ: $x+2 \neq 0 \implies x \neq -2$. Выражение $x^2 - 2x + 4$ всегда положительно, так как его дискриминант $D = (-2)^2 - 4 \cdot 1 \cdot 4 = 4 - 16 = -12 < 0$.
Перепишем уравнение с общим знаменателем $(x+2)(x^2 - 2x + 4)$:
$\frac{2}{x+2} - \frac{6}{x^2 - 2x + 4} - \frac{24}{(x+2)(x^2 - 2x + 4)} = 0$
Приведем дроби к общему знаменателю:
$\frac{2(x^2 - 2x + 4)}{(x+2)(x^2 - 2x + 4)} - \frac{6(x+2)}{(x+2)(x^2 - 2x + 4)} - \frac{24}{(x+2)(x^2 - 2x + 4)} = 0$
Приравняем числитель к нулю:
$2(x^2 - 2x + 4) - 6(x+2) - 24 = 0$
Раскроем скобки:
$2x^2 - 4x + 8 - 6x - 12 - 24 = 0$
Приведем подобные слагаемые:
$2x^2 - 10x - 28 = 0$
Разделим обе части на 2:
$x^2 - 5x - 14 = 0$
Решим квадратное уравнение. По теореме Виета: $x_1 \cdot x_2 = -14$ и $x_1 + x_2 = 5$.
Корни: $x_1 = 7$, $x_2 = -2$.
Проверим корни на соответствие ОДЗ ($x \neq -2$).
Корень $x_1 = 7$ удовлетворяет ОДЗ.
Корень $x_2 = -2$ не удовлетворяет ОДЗ, поэтому является посторонним.
Ответ: 7
г) $\frac{3x}{x^3 - 1} - \frac{3}{x^2 + x + 1} = \frac{1}{x-1}$
Знаменатель $x^3-1$ можно разложить по формуле разности кубов: $x^3 - 1^3 = (x-1)(x^2 + x + 1)$.
ОДЗ: $x-1 \neq 0 \implies x \neq 1$. Выражение $x^2 + x + 1$ всегда положительно, так как его дискриминант $D = 1^2 - 4 \cdot 1 \cdot 1 = 1 - 4 = -3 < 0$.
Перепишем уравнение и перенесем все слагаемые в левую часть:
$\frac{3x}{(x-1)(x^2 + x + 1)} - \frac{3}{x^2 + x + 1} - \frac{1}{x-1} = 0$
Приведем к общему знаменателю $(x-1)(x^2 + x + 1)$:
$\frac{3x}{(x-1)(x^2 + x + 1)} - \frac{3(x-1)}{(x-1)(x^2 + x + 1)} - \frac{1(x^2 + x + 1)}{(x-1)(x^2 + x + 1)} = 0$
Приравняем числитель к нулю:
$3x - 3(x-1) - (x^2 + x + 1) = 0$
Раскроем скобки:
$3x - 3x + 3 - x^2 - x - 1 = 0$
Приведем подобные слагаемые:
$-x^2 - x + 2 = 0$
Умножим обе части на -1:
$x^2 + x - 2 = 0$
Решим квадратное уравнение. По теореме Виета: $x_1 \cdot x_2 = -2$ и $x_1 + x_2 = -1$.
Корни: $x_1 = 1$, $x_2 = -2$.
Проверим корни на соответствие ОДЗ ($x \neq 1$).
Корень $x_1 = 1$ не удовлетворяет ОДЗ, поэтому является посторонним.
Корень $x_2 = -2$ удовлетворяет ОДЗ.
Ответ: -2
Другие задания:
Помогло решение? Оставьте отзыв в комментариях ниже.
Мы подготовили для вас ответ c подробным объяснением домашего задания по алгебре за 9 класс, для упражнения номер 540 расположенного на странице 209 к учебнику 2019 года издания для учащихся школ и гимназий.
Теперь на нашем сайте ГДЗ.ТОП вы всегда легко и бесплатно найдёте условие с правильным ответом на вопрос «Как решить ДЗ» и «Как сделать» задание по алгебре к упражнению №540 (с. 209), авторов: Дорофеев (Георгий Владимирович), Суворова (Светлана Борисовна), Бунимович (Евгений Абрамович), Кузнецова (Людмила Викторовна), Минаева (Светлана Станиславовна), Рослова (Лариса Олеговна), ФГОС (старый) учебного пособия издательства Просвещение.