Номер 132, страница 49 - гдз по алгебре 9 класс учебник Макарычев, Миндюк

Авторы: Макарычев Ю. Н., Миндюк Н. Г., Нешков К. И., Суворова С. Б.
Тип: Учебник
Издательство: Просвещение
Год издания: 2023 - 2025
Уровень обучения: базовый
Цвет обложки: белый, зелёный, фиолетовый
ISBN: 978-5-09-112135-3
Допущено Министерством просвещения Российской Федерации
Популярные ГДЗ в 9 классе
9. Функция у = ах, её график и свойства. Параграф 4. Квадратичная функция и её график. Глава 2. Функции и графики - номер 132, страница 49.
№132 (с. 49)
Условие. №132 (с. 49)
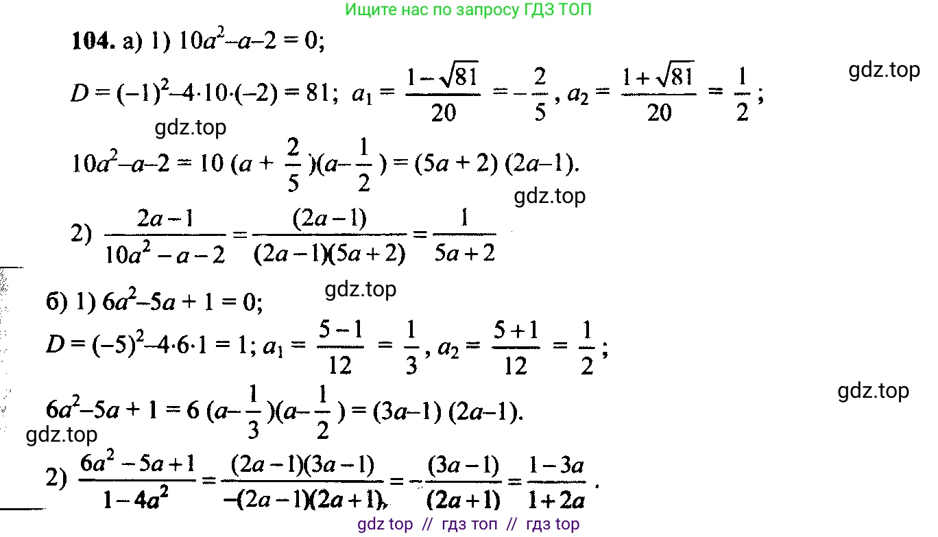
скриншот условия

132. Сократите дробь:

Решение 1. №132 (с. 49)

Решение 2. №132 (с. 49)


Решение 3. №132 (с. 49)

Решение 4. №132 (с. 49)

Решение 5. №132 (с. 49)

Решение 7. №132 (с. 49)

Решение 8. №132 (с. 49)
а) Чтобы сократить дробь $\frac{2a - 1}{10a^2 - a - 2}$, необходимо разложить знаменатель на множители. Знаменатель является квадратным трехчленом $10a^2 - a - 2$.
Для разложения найдем корни соответствующего квадратного уравнения $10a^2 - a - 2 = 0$.
Вычислим дискриминант по формуле $D = b^2 - 4ac$:
$D = (-1)^2 - 4 \cdot 10 \cdot (-2) = 1 + 80 = 81 = 9^2$.
Теперь найдем корни уравнения:
$a_1 = \frac{-b + \sqrt{D}}{2a} = \frac{1 + 9}{2 \cdot 10} = \frac{10}{20} = \frac{1}{2}$
$a_2 = \frac{-b - \sqrt{D}}{2a} = \frac{1 - 9}{2 \cdot 10} = \frac{-8}{20} = -\frac{2}{5}$
Используя формулу разложения квадратного трехчлена $ax^2+bx+c = a(x-x_1)(x-x_2)$, получаем:
$10a^2 - a - 2 = 10(a - \frac{1}{2})(a - (-\frac{2}{5})) = 10(a - \frac{1}{2})(a + \frac{2}{5})$.
Для удобства внесем множитель 10 в скобки: $10 = 2 \cdot 5$.
$10(a - \frac{1}{2})(a + \frac{2}{5}) = (2(a - \frac{1}{2}))(5(a + \frac{2}{5})) = (2a - 1)(5a + 2)$.
Теперь подставим разложенный знаменатель обратно в дробь:
$\frac{2a - 1}{(2a - 1)(5a + 2)}$
Сокращаем общий множитель $(2a - 1)$:
$\frac{1}{5a + 2}$
Ответ: $\frac{1}{5a + 2}$
б) Чтобы сократить дробь $\frac{6a^2 - 5a + 1}{1 - 4a^2}$, необходимо разложить на множители и числитель, и знаменатель.
Сначала разложим числитель $6a^2 - 5a + 1$. Найдем корни уравнения $6a^2 - 5a + 1 = 0$.
Вычислим дискриминант:
$D = (-5)^2 - 4 \cdot 6 \cdot 1 = 25 - 24 = 1 = 1^2$.
Найдем корни:
$a_1 = \frac{5 + 1}{2 \cdot 6} = \frac{6}{12} = \frac{1}{2}$
$a_2 = \frac{5 - 1}{2 \cdot 6} = \frac{4}{12} = \frac{1}{3}$
Разложим числитель на множители:
$6a^2 - 5a + 1 = 6(a - \frac{1}{2})(a - \frac{1}{3}) = (2 \cdot (a - \frac{1}{2}))(3 \cdot (a - \frac{1}{3})) = (2a - 1)(3a - 1)$.
Теперь разложим знаменатель $1 - 4a^2$. Это разность квадратов $1^2 - (2a)^2$.
Используем формулу $x^2 - y^2 = (x - y)(x + y)$:
$1 - 4a^2 = (1 - 2a)(1 + 2a)$.
Подставим разложенные числитель и знаменатель в дробь:
$\frac{(2a - 1)(3a - 1)}{(1 - 2a)(1 + 2a)}$
Заметим, что множители $(2a - 1)$ и $(1 - 2a)$ отличаются только знаком: $2a - 1 = -(1 - 2a)$.
$\frac{-(1 - 2a)(3a - 1)}{(1 - 2a)(1 + 2a)}$
Сократим общий множитель $(1 - 2a)$:
$\frac{-(3a - 1)}{1 + 2a} = \frac{1 - 3a}{1 + 2a}$
Ответ: $\frac{1 - 3a}{1 + 2a}$
Другие задания:
Помогло решение? Оставьте отзыв в комментариях ниже.
Присоединяйтесь к Телеграм-группе @top_gdz
ПрисоединитьсяМы подготовили для вас ответ c подробным объяснением домашего задания по алгебре за 9 класс, для упражнения номер 132 расположенного на странице 49 к учебнику 2023 года издания для учащихся школ и гимназий.
Теперь на нашем сайте ГДЗ.ТОП вы всегда легко и бесплатно найдёте условие с правильным ответом на вопрос «Как решить ДЗ» и «Как сделать» задание по алгебре к упражнению №132 (с. 49), авторов: Макарычев (Юрий Николаевич), Миндюк (Нора Григорьевна), Нешков (Константин Иванович), Суворова (Светлана Борисовна), ФГОС (новый, красный) базовый уровень обучения учебного пособия издательства Просвещение.