Номер 222, страница 78 - гдз по алгебре 9 класс учебник Макарычев, Миндюк
 
                                                Авторы: Макарычев Ю. Н., Миндюк Н. Г., Нешков К. И., Суворова С. Б.
Тип: Учебник
Издательство: Просвещение
Год издания: 2023 - 2025
Уровень обучения: базовый
Цвет обложки: белый, зелёный, фиолетовый
ISBN: 978-5-09-112135-3
Допущено Министерством просвещения Российской Федерации
Популярные ГДЗ в 9 классе
Глава 3. Уравнения и неравенства с одной переменной. Параграф 5. Уравнения с одной переменной. 13. Целое уравнение и его корни - номер 222, страница 78.
№222 (с. 78)
Условие. №222 (с. 78)
скриншот условия
 
                                222. Решите уравнение:
 
 Решение 1. №222 (с. 78)
 
             
                            Решение 2. №222 (с. 78)
 
             
             
                            Решение 3. №222 (с. 78)
 
             
                            Решение 4. №222 (с. 78)
 
                            Решение 5. №222 (с. 78)
 
                            Решение 7. №222 (с. 78)
 
             
                            Решение 8. №222 (с. 78)
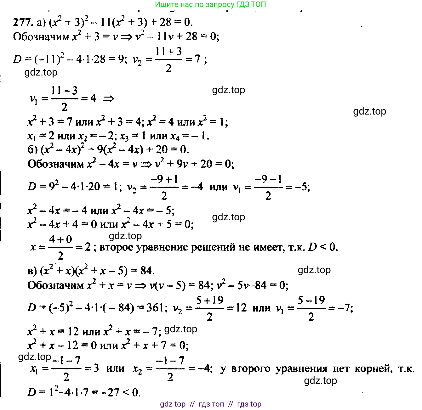
а) $(x^2 + 3)^2 - 11(x^2 + 3) + 28 = 0$
Данное уравнение является биквадратным относительно выражения $x^2 + 3$. Для его решения введем новую переменную. Пусть $t = x^2 + 3$. Тогда уравнение примет вид:
$t^2 - 11t + 28 = 0$
Это стандартное квадратное уравнение относительно переменной $t$. Решим его с помощью теоремы Виета. Сумма корней равна 11, а их произведение равно 28. Корни легко подбираются: $t_1 = 4$ и $t_2 = 7$.
Теперь вернемся к исходной переменной $x$, выполнив обратную замену для каждого найденного корня $t$.
1. При $t = 4$:
$x^2 + 3 = 4$
$x^2 = 4 - 3$
$x^2 = 1$
Отсюда получаем два корня: $x_1 = 1$ и $x_2 = -1$.
2. При $t = 7$:
$x^2 + 3 = 7$
$x^2 = 7 - 3$
$x^2 = 4$
Отсюда получаем еще два корня: $x_3 = 2$ и $x_4 = -2$.
Таким образом, исходное уравнение имеет четыре действительных корня.
Ответ: $-2; -1; 1; 2$.
б) $(x^2 - 4x)^2 + 9(x^2 - 4x) + 20 = 0$
Это уравнение также решается методом замены переменной. Пусть $t = x^2 - 4x$. Заменяем выражение в уравнении на $t$:
$t^2 + 9t + 20 = 0$
Решим полученное квадратное уравнение. По теореме Виета, сумма корней равна $-9$, а произведение равно 20. Корни уравнения: $t_1 = -4$ и $t_2 = -5$.
Выполним обратную замену.
1. При $t = -4$:
$x^2 - 4x = -4$
$x^2 - 4x + 4 = 0$
Это выражение является полным квадратом: $(x - 2)^2 = 0$.
Отсюда $x - 2 = 0$, следовательно, $x = 2$.
2. При $t = -5$:
$x^2 - 4x = -5$
$x^2 - 4x + 5 = 0$
Найдем дискриминант этого квадратного уравнения: $D = b^2 - 4ac = (-4)^2 - 4 \cdot 1 \cdot 5 = 16 - 20 = -4$.
Поскольку дискриминант $D < 0$, это уравнение не имеет действительных корней.
Следовательно, исходное уравнение имеет только один корень.
Ответ: $2$.
в) $(x^2 + x)(x^2 + x - 5) = 84$
Для решения этого уравнения также воспользуемся методом замены переменной. Пусть $t = x^2 + x$. Подставим $t$ в уравнение:
$t(t - 5) = 84$
Раскроем скобки и приведем уравнение к стандартному квадратному виду:
$t^2 - 5t = 84$
$t^2 - 5t - 84 = 0$
Решим это квадратное уравнение. Найдем дискриминант: $D = b^2 - 4ac = (-5)^2 - 4 \cdot 1 \cdot (-84) = 25 + 336 = 361 = 19^2$.
Найдем корни для $t$:
$t_1 = \frac{-b + \sqrt{D}}{2a} = \frac{5 + 19}{2} = \frac{24}{2} = 12$
$t_2 = \frac{-b - \sqrt{D}}{2a} = \frac{5 - 19}{2} = \frac{-14}{2} = -7$
Теперь выполним обратную замену.
1. При $t = 12$:
$x^2 + x = 12$
$x^2 + x - 12 = 0$
По теореме Виета, сумма корней равна $-1$, а произведение $-12$. Корни: $x_1 = 3$ и $x_2 = -4$.
2. При $t = -7$:
$x^2 + x = -7$
$x^2 + x + 7 = 0$
Найдем дискриминант: $D = b^2 - 4ac = 1^2 - 4 \cdot 1 \cdot 7 = 1 - 28 = -27$.
Так как $D < 0$, это уравнение не имеет действительных корней.
В результате получаем два действительных корня для исходного уравнения.
Ответ: $-4; 3$.
Другие задания:
Помогло решение? Оставьте отзыв в комментариях ниже.
Присоединяйтесь к Телеграм-группе @top_gdz
ПрисоединитьсяМы подготовили для вас ответ c подробным объяснением домашего задания по алгебре за 9 класс, для упражнения номер 222 расположенного на странице 78 к учебнику 2023 года издания для учащихся школ и гимназий.
Теперь на нашем сайте ГДЗ.ТОП вы всегда легко и бесплатно найдёте условие с правильным ответом на вопрос «Как решить ДЗ» и «Как сделать» задание по алгебре к упражнению №222 (с. 78), авторов: Макарычев (Юрий Николаевич), Миндюк (Нора Григорьевна), Нешков (Константин Иванович), Суворова (Светлана Борисовна), ФГОС (новый, красный) базовый уровень обучения учебного пособия издательства Просвещение.
 
                     
                     
                     
                     
                     
                     
                     
                     
                     
                     
                     
                     
                     
                     
                    