Номер 272, страница 91 - гдз по алгебре 9 класс учебник Макарычев, Миндюк
 
                                                Авторы: Макарычев Ю. Н., Миндюк Н. Г., Нешков К. И., Суворова С. Б.
Тип: Учебник
Издательство: Просвещение
Год издания: 2023 - 2025
Уровень обучения: базовый
Цвет обложки: белый, зелёный, фиолетовый
ISBN: 978-5-09-112135-3
Допущено Министерством просвещения Российской Федерации
Популярные ГДЗ в 9 классе
Глава 3. Уравнения и неравенства с одной переменной. Параграф 6. Неравенства с одной переменной. 16. Решение неравенств второй степени с одной переменной - номер 272, страница 91.
№272 (с. 91)
Условие. №272 (с. 91)
скриншот условия
 
                                                                                                                                        272. Найдите множество решений неравенства:
 
 Решение 1. №272 (с. 91)
 
                                                                            
                                                                                                         
                                                                            
                                                                                                         
                                                                                                                        Решение 2. №272 (с. 91)
 
                                                                            
                                                                                                         
                                                                            
                                                                                                         
                                                                            
                                                                                                         
                                                                                                                        Решение 3. №272 (с. 91)
 
                                                                            
                                                                                                         
                                                                                                                        Решение 4. №272 (с. 91)
 
                                                                                                                        Решение 5. №272 (с. 91)
 
                                                                                                                        Решение 7. №272 (с. 91)
 
                                                                                                                        Решение 8. №272 (с. 91)
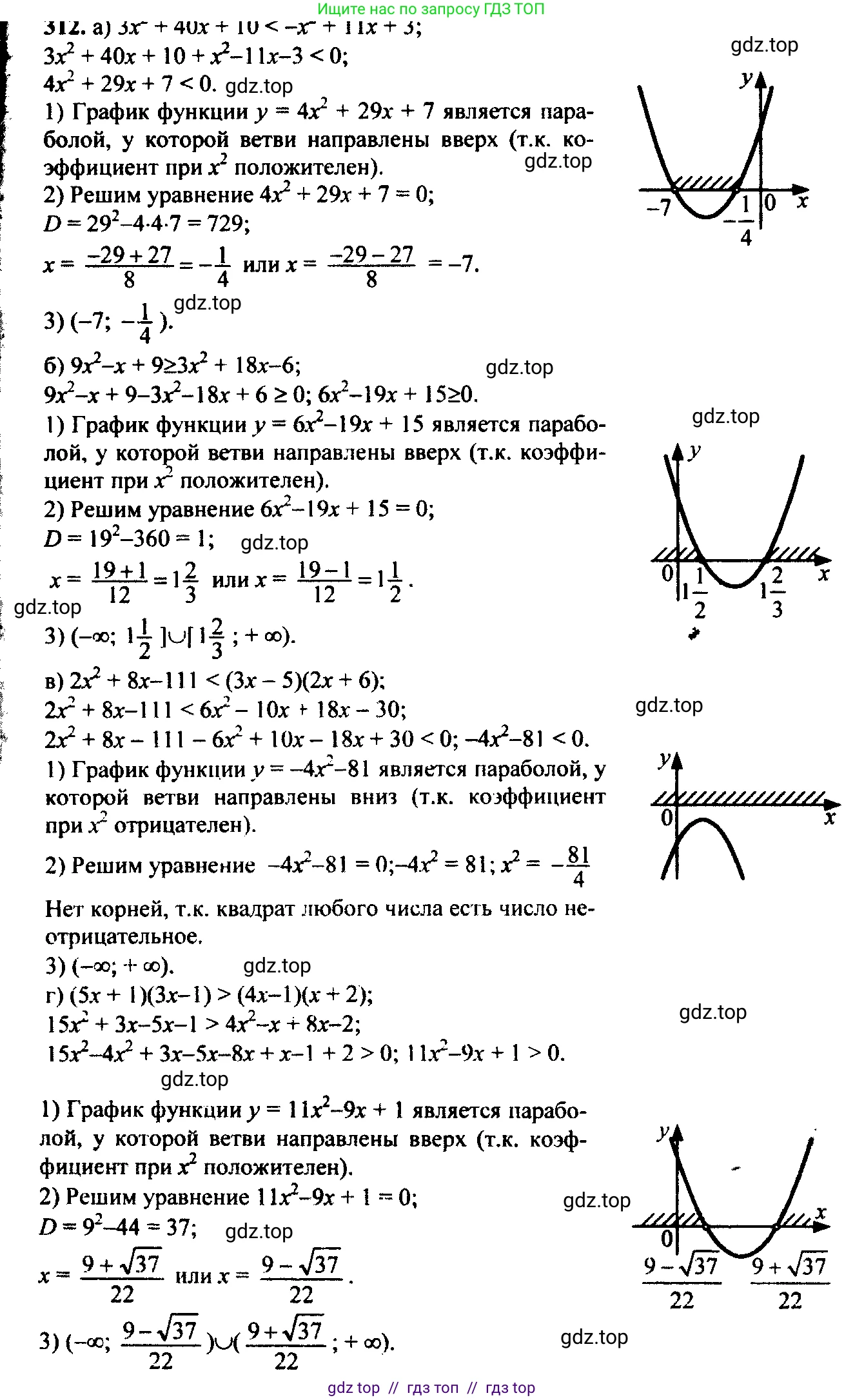
а) Перенесем все члены неравенства $3x^2 + 40x + 10 < -x^2 + 11x + 3$ в левую часть и приведем подобные слагаемые, чтобы получить квадратное неравенство:
$3x^2 + x^2 + 40x - 11x + 10 - 3 < 0$
$4x^2 + 29x + 7 < 0$
Теперь найдем корни соответствующего квадратного уравнения $4x^2 + 29x + 7 = 0$ с помощью дискриминанта.
$D = b^2 - 4ac = 29^2 - 4 \cdot 4 \cdot 7 = 841 - 112 = 729$
Корни уравнения:
$x_1 = \frac{-29 - \sqrt{729}}{2 \cdot 4} = \frac{-29 - 27}{8} = \frac{-56}{8} = -7$
$x_2 = \frac{-29 + \sqrt{729}}{2 \cdot 4} = \frac{-29 + 27}{8} = \frac{-2}{8} = -\frac{1}{4}$
Графиком функции $y = 4x^2 + 29x + 7$ является парабола, ветви которой направлены вверх, так как коэффициент при $x^2$ положителен ($a=4 > 0$). Неравенство имеет вид $f(x) < 0$, что соответствует промежутку между корнями.
Ответ: $x \in (-7; -1/4)$.
б) Перенесем все члены неравенства $9x^2 - x + 9 \geq 3x^2 + 18x - 6$ в левую часть:
$9x^2 - 3x^2 - x - 18x + 9 + 6 \geq 0$
$6x^2 - 19x + 15 \geq 0$
Найдем корни уравнения $6x^2 - 19x + 15 = 0$.
$D = b^2 - 4ac = (-19)^2 - 4 \cdot 6 \cdot 15 = 361 - 360 = 1$
Корни уравнения:
$x_1 = \frac{19 - \sqrt{1}}{2 \cdot 6} = \frac{18}{12} = \frac{3}{2}$
$x_2 = \frac{19 + \sqrt{1}}{2 \cdot 6} = \frac{20}{12} = \frac{5}{3}$
Ветви параболы $y = 6x^2 - 19x + 15$ направлены вверх ($a=6 > 0$). Неравенство $f(x) \geq 0$ выполняется на промежутках левее меньшего корня и правее большего корня, включая сами корни.
Ответ: $x \in (-\infty; 3/2] \cup [5/3; +\infty)$.
в) Раскроем скобки в правой части неравенства $2x^2 + 8x - 111 < (3x - 5)(2x + 6)$:
$(3x - 5)(2x + 6) = 6x^2 + 18x - 10x - 30 = 6x^2 + 8x - 30$
Неравенство принимает вид:
$2x^2 + 8x - 111 < 6x^2 + 8x - 30$
Перенесем все члены в правую часть:
$0 < 6x^2 - 2x^2 + 8x - 8x - 30 + 111$
$0 < 4x^2 + 81$
Или $4x^2 + 81 > 0$.
Выражение $x^2$ всегда неотрицательно для любого действительного $x$, то есть $x^2 \geq 0$. Следовательно, $4x^2 \geq 0$, а $4x^2 + 81 \geq 81$. Так как $81 > 0$, то неравенство $4x^2 + 81 > 0$ выполняется при любом значении $x$.
Ответ: $x \in (-\infty; +\infty)$.
г) Раскроем скобки в обеих частях неравенства $(5x + 1)(3x - 1) > (4x - 1)(x + 2)$:
$15x^2 - 5x + 3x - 1 > 4x^2 + 8x - x - 2$
$15x^2 - 2x - 1 > 4x^2 + 7x - 2$
Перенесем все члены в левую часть:
$15x^2 - 4x^2 - 2x - 7x - 1 + 2 > 0$
$11x^2 - 9x + 1 > 0$
Найдем корни уравнения $11x^2 - 9x + 1 = 0$.
$D = b^2 - 4ac = (-9)^2 - 4 \cdot 11 \cdot 1 = 81 - 44 = 37$
Корни уравнения:
$x_1 = \frac{9 - \sqrt{37}}{2 \cdot 11} = \frac{9 - \sqrt{37}}{22}$
$x_2 = \frac{9 + \sqrt{37}}{2 \cdot 11} = \frac{9 + \sqrt{37}}{22}$
Ветви параболы $y = 11x^2 - 9x + 1$ направлены вверх ($a=11 > 0$). Неравенство $f(x) > 0$ выполняется на промежутках вне корней.
Ответ: $x \in (-\infty; \frac{9 - \sqrt{37}}{22}) \cup (\frac{9 + \sqrt{37}}{22}; +\infty)$.
Другие задания:
Помогло решение? Оставьте отзыв в комментариях ниже.
Присоединяйтесь к Телеграм-группе @top_gdz
ПрисоединитьсяМы подготовили для вас ответ c подробным объяснением домашего задания по алгебре за 9 класс, для упражнения номер 272 расположенного на странице 91 к учебнику 2023 года издания для учащихся школ и гимназий.
Теперь на нашем сайте ГДЗ.ТОП вы всегда легко и бесплатно найдёте условие с правильным ответом на вопрос «Как решить ДЗ» и «Как сделать» задание по алгебре к упражнению №272 (с. 91), авторов: Макарычев (Юрий Николаевич), Миндюк (Нора Григорьевна), Нешков (Константин Иванович), Суворова (Светлана Борисовна), ФГОС (новый, красный) базовый уровень обучения учебного пособия издательства Просвещение.
 
                     
                     
                     
                     
                     
                     
                     
                     
                     
                     
                     
                     
                     
                     
                    