Номер 317, страница 104 - гдз по алгебре 9 класс учебник Макарычев, Миндюк
 
                                                Авторы: Макарычев Ю. Н., Миндюк Н. Г., Нешков К. И., Суворова С. Б.
Тип: Учебник
Издательство: Просвещение
Год издания: 2023 - 2025
Уровень обучения: базовый
Цвет обложки: белый, зелёный, фиолетовый
ISBN: 978-5-09-112135-3
Допущено Министерством просвещения Российской Федерации
Популярные ГДЗ в 9 классе
Глава 3. Уравнения и неравенства с одной переменной. Параграф 6. Неравенства с одной переменной. Дополнительные упражнения к главе 3 - номер 317, страница 104.
№317 (с. 104)
Условие. №317 (с. 104)
скриншот условия
 
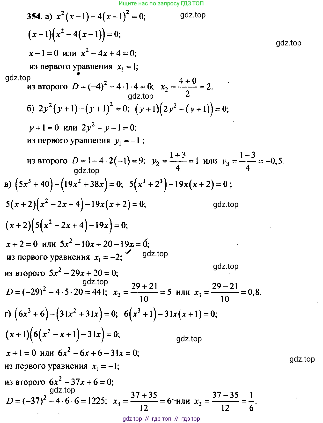
                                317. Решите уравнение:
 
 Решение 1. №317 (с. 104)
 
             
             
                            Решение 2. №317 (с. 104)
 
             
             
             
                            Решение 3. №317 (с. 104)
 
             
                            Решение 4. №317 (с. 104)
 
                            Решение 5. №317 (с. 104)
 
                            Решение 7. №317 (с. 104)
 
                            Решение 8. №317 (с. 104)
а) $x^3 - x^2 - 4(x - 1)^2 = 0$
Разложим левую часть уравнения на множители. Сгруппируем первые два члена и вынесем общий множитель $x^2$:
$x^2(x - 1) - 4(x - 1)^2 = 0$
Теперь вынесем за скобки общий множитель $(x - 1)$:
$(x - 1)[x^2 - 4(x - 1)] = 0$
Раскроем скобки во втором множителе:
$(x - 1)(x^2 - 4x + 4) = 0$
Выражение во второй скобке является полным квадратом разности $(x - 2)^2$:
$(x - 1)(x - 2)^2 = 0$
Произведение равно нулю, когда хотя бы один из множителей равен нулю. Получаем два уравнения:
1) $x - 1 = 0 \implies x_1 = 1$
2) $(x - 2)^2 = 0 \implies x - 2 = 0 \implies x_2 = 2$
Ответ: 1; 2.
б) $2y^3 + 2y^2 - (y + 1)^2 = 0$
Сгруппируем первые два члена и вынесем общий множитель $2y^2$:
$2y^2(y + 1) - (y + 1)^2 = 0$
Вынесем за скобки общий множитель $(y + 1)$:
$(y + 1)[2y^2 - (y + 1)] = 0$
Раскроем скобки во втором множителе:
$(y + 1)(2y^2 - y - 1) = 0$
Произведение равно нулю, когда один из множителей равен нулю:
1) $y + 1 = 0 \implies y_1 = -1$
2) $2y^2 - y - 1 = 0$
Решим квадратное уравнение. Найдем дискриминант:
$D = b^2 - 4ac = (-1)^2 - 4 \cdot 2 \cdot (-1) = 1 + 8 = 9 = 3^2$
Найдем корни:
$y_2 = \frac{-b + \sqrt{D}}{2a} = \frac{1 + 3}{2 \cdot 2} = \frac{4}{4} = 1$
$y_3 = \frac{-b - \sqrt{D}}{2a} = \frac{1 - 3}{2 \cdot 2} = \frac{-2}{4} = -\frac{1}{2}$
Ответ: -1; -0.5; 1.
в) $5x^3 - 19x^2 - 38x + 40 = 0$
Будем искать целые корни среди делителей свободного члена (40): $\pm1, \pm2, \pm4, \pm5, \dots$.
Проверим $x = -2$:
$5(-2)^3 - 19(-2)^2 - 38(-2) + 40 = 5(-8) - 19(4) + 76 + 40 = -40 - 76 + 76 + 40 = 0$
Значит, $x = -2$ является корнем уравнения. Разделим многочлен $5x^3 - 19x^2 - 38x + 40$ на двучлен $(x + 2)$ столбиком или по схеме Горнера.
В результате деления получаем квадратный трехчлен $5x^2 - 29x + 20$.
Таким образом, уравнение можно переписать в виде:
$(x + 2)(5x^2 - 29x + 20) = 0$
Теперь решим квадратное уравнение $5x^2 - 29x + 20 = 0$:
$D = (-29)^2 - 4 \cdot 5 \cdot 20 = 841 - 400 = 441 = 21^2$
$x_2 = \frac{29 + 21}{2 \cdot 5} = \frac{50}{10} = 5$
$x_3 = \frac{29 - 21}{2 \cdot 5} = \frac{8}{10} = \frac{4}{5}$
Корни уравнения: -2, 4/5, 5.
Ответ: -2; $\frac{4}{5}$; 5.
г) $6x^3 - 31x^2 - 31x + 6 = 0$
Данное уравнение является симметрическим (возвратным) уравнением третьей степени, так как коэффициенты, равноудаленные от концов, равны ($a_3=a_0$, $a_2=a_1$). Одним из корней такого уравнения всегда является $x = -1$.
Проверим: $6(-1)^3 - 31(-1)^2 - 31(-1) + 6 = -6 - 31 + 31 + 6 = 0$.
Так как $x = -1$ - корень, разделим многочлен $6x^3 - 31x^2 - 31x + 6$ на $(x + 1)$.
После деления получим многочлен $6x^2 - 37x + 6$.
Уравнение примет вид:
$(x + 1)(6x^2 - 37x + 6) = 0$
Решим квадратное уравнение $6x^2 - 37x + 6 = 0$:
$D = (-37)^2 - 4 \cdot 6 \cdot 6 = 1369 - 144 = 1225 = 35^2$
$x_2 = \frac{37 + 35}{2 \cdot 6} = \frac{72}{12} = 6$
$x_3 = \frac{37 - 35}{2 \cdot 6} = \frac{2}{12} = \frac{1}{6}$
Корни уравнения: -1, 1/6, 6.
Ответ: -1; $\frac{1}{6}$; 6.
Другие задания:
Помогло решение? Оставьте отзыв в комментариях ниже.
Присоединяйтесь к Телеграм-группе @top_gdz
ПрисоединитьсяМы подготовили для вас ответ c подробным объяснением домашего задания по алгебре за 9 класс, для упражнения номер 317 расположенного на странице 104 к учебнику 2023 года издания для учащихся школ и гимназий.
Теперь на нашем сайте ГДЗ.ТОП вы всегда легко и бесплатно найдёте условие с правильным ответом на вопрос «Как решить ДЗ» и «Как сделать» задание по алгебре к упражнению №317 (с. 104), авторов: Макарычев (Юрий Николаевич), Миндюк (Нора Григорьевна), Нешков (Константин Иванович), Суворова (Светлана Борисовна), ФГОС (новый, красный) базовый уровень обучения учебного пособия издательства Просвещение.
 
                     
                     
                     
                     
                     
                     
                     
                     
                     
                     
                     
                     
                     
                     
                    