Номер 324, страница 105 - гдз по алгебре 9 класс учебник Макарычев, Миндюк
 
                                                Авторы: Макарычев Ю. Н., Миндюк Н. Г., Нешков К. И., Суворова С. Б.
Тип: Учебник
Издательство: Просвещение
Год издания: 2023 - 2025
Уровень обучения: базовый
Цвет обложки: белый, зелёный, фиолетовый
ISBN: 978-5-09-112135-3
Допущено Министерством просвещения Российской Федерации
Популярные ГДЗ в 9 классе
Глава 3. Уравнения и неравенства с одной переменной. Параграф 6. Неравенства с одной переменной. Дополнительные упражнения к главе 3 - номер 324, страница 105.
№324 (с. 105)
Условие. №324 (с. 105)
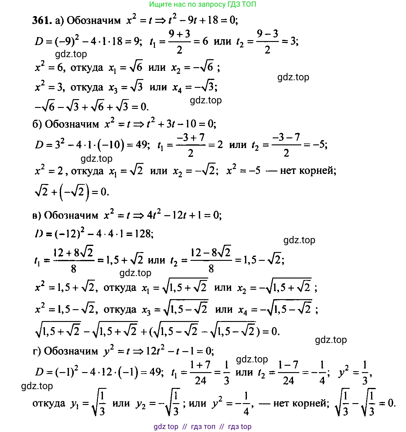
скриншот условия
 
                                324. Найдите сумму корней биквадратного уравнения:
 
 Решение 1. №324 (с. 105)
 
             
                            Решение 2. №324 (с. 105)
 
             
             
             
                            Решение 3. №324 (с. 105)
 
             
                            Решение 4. №324 (с. 105)
 
                            Решение 5. №324 (с. 105)
 
                            Решение 7. №324 (с. 105)
 
                            Решение 8. №324 (с. 105)
Биквадратное уравнение — это уравнение вида $ax^4 + bx^2 + c = 0$. Особенностью такого уравнения является то, что оно содержит только четные степени переменной. Это означает, что функция $f(x) = ax^4 + bx^2 + c$ является четной, то есть $f(x) = f(-x)$ для любого $x$.
Из этого свойства следует, что если $x_0$ является действительным корнем уравнения (при $x_0 \ne 0$), то и $-x_0$ также является действительным корнем. Таким образом, ненулевые действительные корни биквадратного уравнения всегда появляются парами $(x_0, -x_0)$, сумма которых равна $x_0 + (-x_0) = 0$. Если $x=0$ является корнем, то он не влияет на сумму.
Следовательно, сумма всех действительных корней биквадратного уравнения всегда равна нулю, при условии, что у уравнения есть хотя бы один действительный корень.
Для решения задачи найдем корни каждого уравнения, чтобы убедиться в их существовании, и затем найдем их сумму.
а) $x^4 - 9x^2 + 18 = 0$
Это биквадратное уравнение. Сделаем замену переменной. Пусть $t = x^2$. Так как $x^2 \ge 0$, нас интересуют только неотрицательные значения $t$.
Уравнение примет вид квадратного уравнения относительно $t$:$t^2 - 9t + 18 = 0$.
Найдем корни этого уравнения, используя теорему Виета. Сумма корней равна 9, а их произведение равно 18. Следовательно, корни $t_1 = 3$ и $t_2 = 6$.
Оба корня ($3$ и $6$) положительны, поэтому мы можем найти действительные корни для $x$.
1) $x^2 = 3 \implies x_{1,2} = \pm\sqrt{3}$.
2) $x^2 = 6 \implies x_{3,4} = \pm\sqrt{6}$.
Уравнение имеет четыре действительных корня: $\sqrt{3}$, $-\sqrt{3}$, $\sqrt{6}$, $-\sqrt{6}$.
Найдем их сумму: $\sqrt{3} + (-\sqrt{3}) + \sqrt{6} + (-\sqrt{6}) = 0$.
Ответ: 0
б) $x^4 + 3x^2 - 10 = 0$
Сделаем замену $t = x^2$, где $t \ge 0$.
Получаем квадратное уравнение: $t^2 + 3t - 10 = 0$.
Найдем его корни. Дискриминант $D = 3^2 - 4 \cdot 1 \cdot (-10) = 9 + 40 = 49$.
$t = \frac{-3 \pm \sqrt{49}}{2} = \frac{-3 \pm 7}{2}$.
$t_1 = \frac{-3 + 7}{2} = 2$.
$t_2 = \frac{-3 - 7}{2} = -5$.
Поскольку $t = x^2$ должно быть неотрицательным, корень $t_2 = -5$ не дает действительных решений для $x$. Рассматриваем только $t_1 = 2$.
$x^2 = 2 \implies x = \pm\sqrt{2}$.
Действительные корни уравнения: $\sqrt{2}$ и $-\sqrt{2}$.
Сумма корней: $\sqrt{2} + (-\sqrt{2}) = 0$.
Ответ: 0
в) $4x^4 - 12x^2 + 1 = 0$
Сделаем замену $t = x^2$, где $t \ge 0$.
Получаем квадратное уравнение: $4t^2 - 12t + 1 = 0$.
Найдем его корни. Дискриминант $D = (-12)^2 - 4 \cdot 4 \cdot 1 = 144 - 16 = 128$.
$t = \frac{12 \pm \sqrt{128}}{2 \cdot 4} = \frac{12 \pm 8\sqrt{2}}{8} = \frac{3 \pm 2\sqrt{2}}{2}$.
$t_1 = \frac{3 + 2\sqrt{2}}{2}$ и $t_2 = \frac{3 - 2\sqrt{2}}{2}$.
Оба корня положительны, так как $3 > 2\sqrt{2}$ (поскольку $9 > 8$).
Следовательно, уравнение имеет четыре действительных корня:
1) $x^2 = \frac{3 + 2\sqrt{2}}{2} \implies x = \pm\sqrt{\frac{3 + 2\sqrt{2}}{2}}$.
2) $x^2 = \frac{3 - 2\sqrt{2}}{2} \implies x = \pm\sqrt{\frac{3 - 2\sqrt{2}}{2}}$.
Корни образуют две пары противоположных чисел. Их сумма равна 0.
Ответ: 0
г) $12y^4 - y^2 - 1 = 0$
Сделаем замену $t = y^2$, где $t \ge 0$.
Получаем квадратное уравнение: $12t^2 - t - 1 = 0$.
Найдем его корни. Дискриминант $D = (-1)^2 - 4 \cdot 12 \cdot (-1) = 1 + 48 = 49$.
$t = \frac{1 \pm \sqrt{49}}{2 \cdot 12} = \frac{1 \pm 7}{24}$.
$t_1 = \frac{1 + 7}{24} = \frac{8}{24} = \frac{1}{3}$.
$t_2 = \frac{1 - 7}{24} = -\frac{6}{24} = -\frac{1}{4}$.
Поскольку $t$ должно быть неотрицательным, корень $t_2 = -1/4$ не дает действительных решений. Рассматриваем только $t_1 = 1/3$.
$y^2 = \frac{1}{3} \implies y = \pm\sqrt{\frac{1}{3}} = \pm\frac{1}{\sqrt{3}}$.
Действительные корни уравнения: $\frac{1}{\sqrt{3}}$ и $-\frac{1}{\sqrt{3}}$.
Сумма корней: $\frac{1}{\sqrt{3}} + (-\frac{1}{\sqrt{3}}) = 0$.
Ответ: 0
Другие задания:
Помогло решение? Оставьте отзыв в комментариях ниже.
Присоединяйтесь к Телеграм-группе @top_gdz
ПрисоединитьсяМы подготовили для вас ответ c подробным объяснением домашего задания по алгебре за 9 класс, для упражнения номер 324 расположенного на странице 105 к учебнику 2023 года издания для учащихся школ и гимназий.
Теперь на нашем сайте ГДЗ.ТОП вы всегда легко и бесплатно найдёте условие с правильным ответом на вопрос «Как решить ДЗ» и «Как сделать» задание по алгебре к упражнению №324 (с. 105), авторов: Макарычев (Юрий Николаевич), Миндюк (Нора Григорьевна), Нешков (Константин Иванович), Суворова (Светлана Борисовна), ФГОС (новый, красный) базовый уровень обучения учебного пособия издательства Просвещение.
 
                     
                     
                     
                     
                     
                     
                     
                     
                     
                     
                     
                     
                     
                     
                    