Номер 430, страница 128 - гдз по алгебре 9 класс учебник Макарычев, Миндюк
 
                                                Авторы: Макарычев Ю. Н., Миндюк Н. Г., Нешков К. И., Суворова С. Б.
Тип: Учебник
Издательство: Просвещение
Год издания: 2023 - 2025
Уровень обучения: базовый
Цвет обложки: белый, зелёный, фиолетовый
ISBN: 978-5-09-112135-3
Допущено Министерством просвещения Российской Федерации
Популярные ГДЗ в 9 классе
Глава 4. Уравнения и неравенства с двумя переменными. Параграф 7. Уравнения с двумя переменными и их системы. 22. Решение задач с помощью систем уравнений второй степени - номер 430, страница 128.
№430 (с. 128)
Условие. №430 (с. 128)
скриншот условия
 
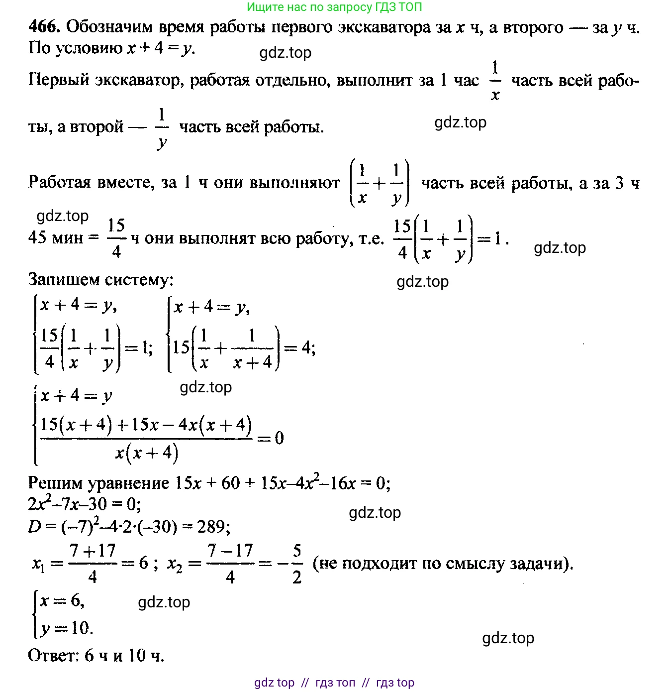
                                                                                                                                        430. Один комбайнёр может убрать урожай пшеницы с участка на 24 ч быстрее, чем другой. При совместной же работе они закончат уборку урожая через 35 ч. Сколько времени потребуется каждому комбайнёру, чтобы одному убрать урожай?
Решение 1. №430 (с. 128)
 
                                                                                                                        Решение 2. №430 (с. 128)
 
                                                                                                                        Решение 3. №430 (с. 128)
 
                                                                                                                        Решение 4. №430 (с. 128)
 
                                                                                                                        Решение 5. №430 (с. 128)
 
                                                                                                                        Решение 7. №430 (с. 128)
 
                                                                                                         
                                                                                                                        Решение 8. №430 (с. 128)
Для решения задачи введем переменную. Пусть $x$ часов — это время, за которое первый (более быстрый) комбайнёр может убрать урожай, работая в одиночку.
Согласно условию, второй комбайнёр убирает тот же урожай на 24 часа дольше. Следовательно, время работы второго комбайнёра составляет $(x + 24)$ часов.
Производительность (скорость работы) первого комбайнёра равна $\frac{1}{x}$ часть поля в час.
Производительность второго комбайнёра равна $\frac{1}{x+24}$ часть поля в час.
При совместной работе их производительности складываются. Общая производительность составляет:
$P_{общ} = \frac{1}{x} + \frac{1}{x+24}$
Известно, что вместе они заканчивают уборку за 35 часов. Работа, выполненная за это время, равна 1 (все поле). Таким образом, можно составить уравнение, связывающее общую производительность и время:
$(\frac{1}{x} + \frac{1}{x+24}) \times 35 = 1$
Теперь решим это уравнение относительно $x$.
Разделим обе части на 35:
$\frac{1}{x} + \frac{1}{x+24} = \frac{1}{35}$
Приведем дроби в левой части к общему знаменателю $x(x+24)$:
$\frac{x+24+x}{x(x+24)} = \frac{1}{35}$
$\frac{2x+24}{x^2+24x} = \frac{1}{35}$
Используем свойство пропорции (перекрестное умножение):
$35(2x+24) = 1(x^2+24x)$
$70x + 840 = x^2 + 24x$
Перенесем все члены в одну сторону, чтобы получить квадратное уравнение:
$x^2 + 24x - 70x - 840 = 0$
$x^2 - 46x - 840 = 0$
Решим квадратное уравнение с помощью дискриминанта $D = b^2 - 4ac$:
$D = (-46)^2 - 4 \times 1 \times (-840) = 2116 + 3360 = 5476$
Найдем корень из дискриминанта: $\sqrt{D} = \sqrt{5476} = 74$.
Теперь найдем корни уравнения по формуле $x = \frac{-b \pm \sqrt{D}}{2a}$:
$x_1 = \frac{-(-46) + 74}{2 \times 1} = \frac{46 + 74}{2} = \frac{120}{2} = 60$
$x_2 = \frac{-(-46) - 74}{2 \times 1} = \frac{46 - 74}{2} = \frac{-28}{2} = -14$
Поскольку время не может быть отрицательной величиной, корень $x_2 = -14$ не имеет физического смысла в данной задаче. Следовательно, время работы первого комбайнёра равно 60 часов.
Теперь найдем время работы второго комбайнёра:
$x + 24 = 60 + 24 = 84$ часа.
Таким образом, первому комбайнёру потребуется 60 часов, а второму — 84 часа, чтобы убрать урожай в одиночку.
Ответ: первому комбайнёру потребуется 60 часов, второму — 84 часа.
Другие задания:
Помогло решение? Оставьте отзыв в комментариях ниже.
Присоединяйтесь к Телеграм-группе @top_gdz
ПрисоединитьсяМы подготовили для вас ответ c подробным объяснением домашего задания по алгебре за 9 класс, для упражнения номер 430 расположенного на странице 128 к учебнику 2023 года издания для учащихся школ и гимназий.
Теперь на нашем сайте ГДЗ.ТОП вы всегда легко и бесплатно найдёте условие с правильным ответом на вопрос «Как решить ДЗ» и «Как сделать» задание по алгебре к упражнению №430 (с. 128), авторов: Макарычев (Юрий Николаевич), Миндюк (Нора Григорьевна), Нешков (Константин Иванович), Суворова (Светлана Борисовна), ФГОС (новый, красный) базовый уровень обучения учебного пособия издательства Просвещение.
 
                     
                     
                     
                     
                     
                     
                     
                     
                     
                     
                     
                     
                     
                     
                    