Номер 473, страница 143 - гдз по алгебре 9 класс учебник Макарычев, Миндюк

Авторы: Макарычев Ю. Н., Миндюк Н. Г., Нешков К. И., Суворова С. Б.
Тип: Учебник
Издательство: Просвещение
Год издания: 2023 - 2025
Уровень обучения: базовый
Цвет обложки: белый, зелёный, фиолетовый
ISBN: 978-5-09-112135-3
Допущено Министерством просвещения Российской Федерации
Популярные ГДЗ в 9 классе
Глава 4. Уравнения и неравенства с двумя переменными. Параграф 8. Неравенства с двумя переменными и их системы. 25. Некоторые приёмы решения систем уравнений второй степени с двумя переменными - номер 473, страница 143.
№473 (с. 143)
Условие. №473 (с. 143)
скриншот условия

473. Решите систему уравнений:

Решение 1. №473 (с. 143)




Решение 2. №473 (с. 143)


Решение 3. №473 (с. 143)


Решение 4. №473 (с. 143)

Решение 5. №473 (с. 143)

Решение 7. №473 (с. 143)

Решение 8. №473 (с. 143)
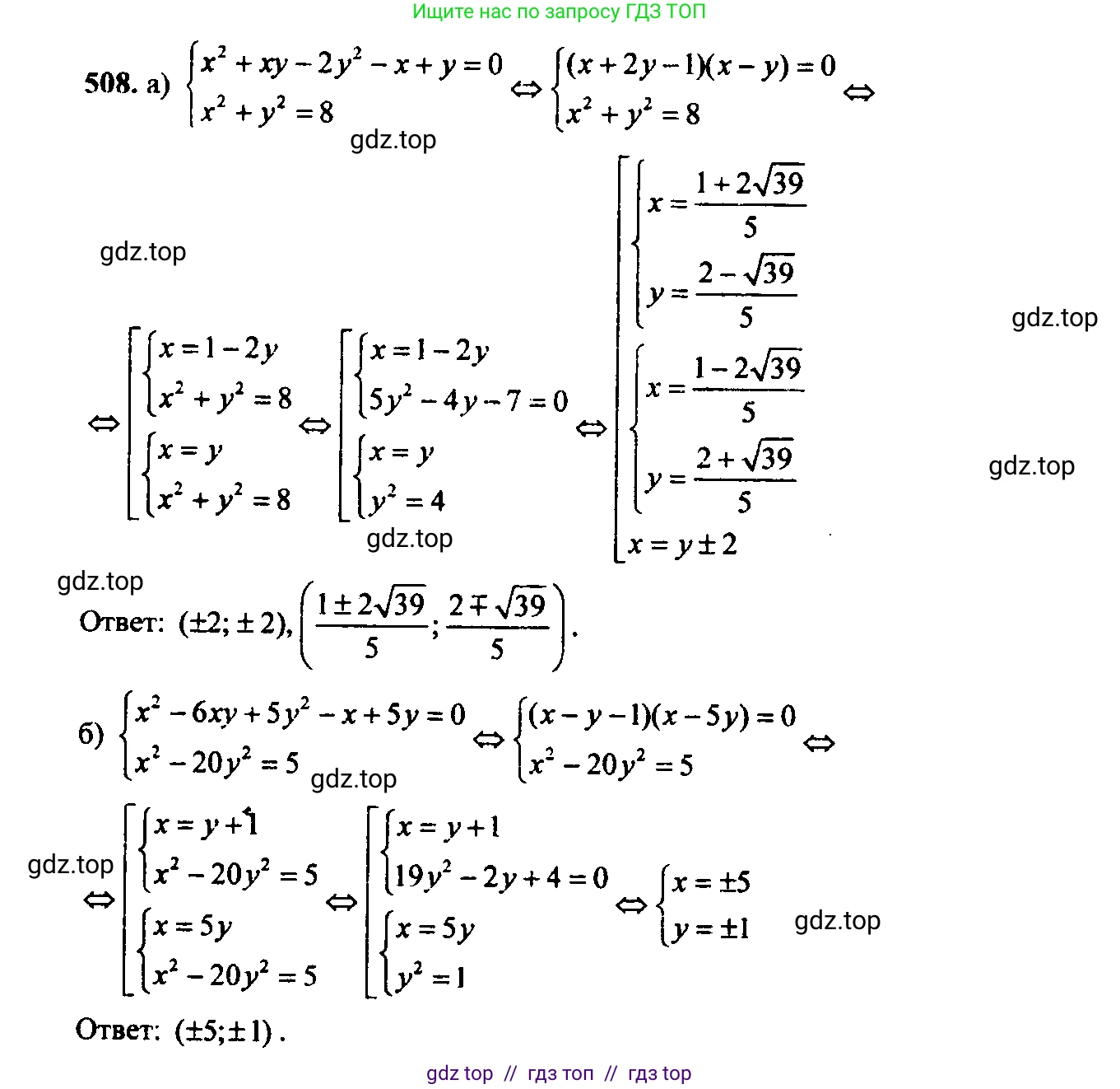
а)
Дана система уравнений:
$ \begin{cases} x^2 + xy - 2y^2 - x + y = 0 \\ x^2 + y^2 = 8 \end{cases} $
Преобразуем первое уравнение системы. Заметим, что левую часть можно разложить на множители. Сгруппируем члены:
$ (x^2 + xy - 2y^2) - (x - y) = 0 $
Разложим на множители квадратичный трехчлен $x^2 + xy - 2y^2$, рассматривая его как квадратное уравнение относительно $x$. Корни этого уравнения $x=y$ и $x=-2y$. Следовательно, разложение имеет вид:
$x^2 + xy - 2y^2 = (x - y)(x + 2y)$
Подставим это в первое уравнение:
$ (x - y)(x + 2y) - (x - y) = 0 $
Вынесем общий множитель $(x - y)$ за скобки:
$ (x - y)(x + 2y - 1) = 0 $
Произведение равно нулю, когда хотя бы один из множителей равен нулю. Это приводит к двум случаям:
1. $x - y = 0 \implies x = y$
2. $x + 2y - 1 = 0 \implies x = 1 - 2y$
Рассмотрим каждый случай, подставляя выражение для $x$ во второе уравнение системы $x^2 + y^2 = 8$.
Случай 1: $x = y$
Подставляем $x = y$ в уравнение $x^2 + y^2 = 8$:
$ y^2 + y^2 = 8 $
$ 2y^2 = 8 $
$ y^2 = 4 \implies y = \pm 2 $
Если $y_1 = 2$, то $x_1 = 2$. Получаем решение $(2, 2)$.
Если $y_2 = -2$, то $x_2 = -2$. Получаем решение $(-2, -2)$.
Случай 2: $x = 1 - 2y$
Подставляем $x = 1 - 2y$ в уравнение $x^2 + y^2 = 8$:
$ (1 - 2y)^2 + y^2 = 8 $
$ 1 - 4y + 4y^2 + y^2 = 8 $
$ 5y^2 - 4y - 7 = 0 $
Решаем полученное квадратное уравнение с помощью дискриминанта:
$ D = b^2 - 4ac = (-4)^2 - 4 \cdot 5 \cdot (-7) = 16 + 140 = 156 $
$ \sqrt{D} = \sqrt{156} = \sqrt{4 \cdot 39} = 2\sqrt{39} $
Находим корни для $y$:
$ y = \frac{-b \pm \sqrt{D}}{2a} = \frac{4 \pm 2\sqrt{39}}{10} = \frac{2 \pm \sqrt{39}}{5} $
Отсюда $y_3 = \frac{2 + \sqrt{39}}{5}$ и $y_4 = \frac{2 - \sqrt{39}}{5}$.
Находим соответствующие значения $x$:
Для $y_3 = \frac{2 + \sqrt{39}}{5}$, $x_3 = 1 - 2y_3 = 1 - 2\left(\frac{2 + \sqrt{39}}{5}\right) = \frac{5 - 4 - 2\sqrt{39}}{5} = \frac{1 - 2\sqrt{39}}{5}$.
Для $y_4 = \frac{2 - \sqrt{39}}{5}$, $x_4 = 1 - 2y_4 = 1 - 2\left(\frac{2 - \sqrt{39}}{5}\right) = \frac{5 - 4 + 2\sqrt{39}}{5} = \frac{1 + 2\sqrt{39}}{5}$.
Таким образом, получаем еще две пары решений: $(\frac{1 - 2\sqrt{39}}{5}, \frac{2 + \sqrt{39}}{5})$ и $(\frac{1 + 2\sqrt{39}}{5}, \frac{2 - \sqrt{39}}{5})$.
Ответ: $(2, 2)$; $(-2, -2)$; $(\frac{1 - 2\sqrt{39}}{5}, \frac{2 + \sqrt{39}}{5})$; $(\frac{1 + 2\sqrt{39}}{5}, \frac{2 - \sqrt{39}}{5})$.
б)
Дана система уравнений:
$ \begin{cases} x^2 - 6xy + 5y^2 - x + 5y = 0 \\ x^2 - 20y^2 = 5 \end{cases} $
Рассмотрим первое уравнение. Сгруппируем его члены, чтобы разложить на множители:
$ (x^2 - 6xy + 5y^2) - (x - 5y) = 0 $
Квадратичный трехчлен $x^2 - 6xy + 5y^2$ можно разложить на множители. Его корни относительно $x$ равны $x=y$ и $x=5y$. Таким образом:
$x^2 - 6xy + 5y^2 = (x - y)(x - 5y)$
Подставим это в первое уравнение:
$ (x - y)(x - 5y) - (x - 5y) = 0 $
Вынесем общий множитель $(x - 5y)$ за скобки:
$ (x - 5y)(x - y - 1) = 0 $
Это уравнение распадается на два случая:
1. $x - 5y = 0 \implies x = 5y$
2. $x - y - 1 = 0 \implies x = y + 1$
Рассмотрим каждый случай, подставляя выражение для $x$ во второе уравнение системы $x^2 - 20y^2 = 5$.
Случай 1: $x = 5y$
Подставляем $x = 5y$ в уравнение $x^2 - 20y^2 = 5$:
$ (5y)^2 - 20y^2 = 5 $
$ 25y^2 - 20y^2 = 5 $
$ 5y^2 = 5 $
$ y^2 = 1 \implies y = \pm 1 $
Если $y_1 = 1$, то $x_1 = 5 \cdot 1 = 5$. Получаем решение $(5, 1)$.
Если $y_2 = -1$, то $x_2 = 5 \cdot (-1) = -5$. Получаем решение $(-5, -1)$.
Случай 2: $x = y + 1$
Подставляем $x = y + 1$ в уравнение $x^2 - 20y^2 = 5$:
$ (y + 1)^2 - 20y^2 = 5 $
$ y^2 + 2y + 1 - 20y^2 = 5 $
$ -19y^2 + 2y - 4 = 0 $
Умножим на -1, чтобы получить стандартный вид квадратного уравнения:
$ 19y^2 - 2y + 4 = 0 $
Найдем дискриминант этого уравнения:
$ D = b^2 - 4ac = (-2)^2 - 4 \cdot 19 \cdot 4 = 4 - 304 = -300 $
Поскольку дискриминант $D < 0$, это уравнение не имеет действительных корней. Значит, в этом случае система решений не имеет.
Ответ: $(5, 1)$; $(-5, -1)$.
Другие задания:
Помогло решение? Оставьте отзыв в комментариях ниже.
Присоединяйтесь к Телеграм-группе @top_gdz
ПрисоединитьсяМы подготовили для вас ответ c подробным объяснением домашего задания по алгебре за 9 класс, для упражнения номер 473 расположенного на странице 143 к учебнику 2023 года издания для учащихся школ и гимназий.
Теперь на нашем сайте ГДЗ.ТОП вы всегда легко и бесплатно найдёте условие с правильным ответом на вопрос «Как решить ДЗ» и «Как сделать» задание по алгебре к упражнению №473 (с. 143), авторов: Макарычев (Юрий Николаевич), Миндюк (Нора Григорьевна), Нешков (Константин Иванович), Суворова (Светлана Борисовна), ФГОС (новый, красный) базовый уровень обучения учебного пособия издательства Просвещение.