Номер 493, страница 145 - гдз по алгебре 9 класс учебник Макарычев, Миндюк

Авторы: Макарычев Ю. Н., Миндюк Н. Г., Нешков К. И., Суворова С. Б.
Тип: Учебник
Издательство: Просвещение
Год издания: 2023 - 2025
Уровень обучения: базовый
Цвет обложки: белый, зелёный, фиолетовый
ISBN: 978-5-09-112135-3
Допущено Министерством просвещения Российской Федерации
Популярные ГДЗ в 9 классе
Дополнительные упражнения к главе 4. Параграф 8. Неравенства с двумя переменными и их системы. Глава 4. Уравнения и неравенства с двумя переменными - номер 493, страница 145.
№493 (с. 145)
Условие. №493 (с. 145)
скриншот условия

493. Найдите все решения системы уравнений:

Решение 1. №493 (с. 145)




Решение 2. №493 (с. 145)




Решение 3. №493 (с. 145)


Решение 4. №493 (с. 145)

Решение 5. №493 (с. 145)

Решение 7. №493 (с. 145)


Решение 8. №493 (с. 145)
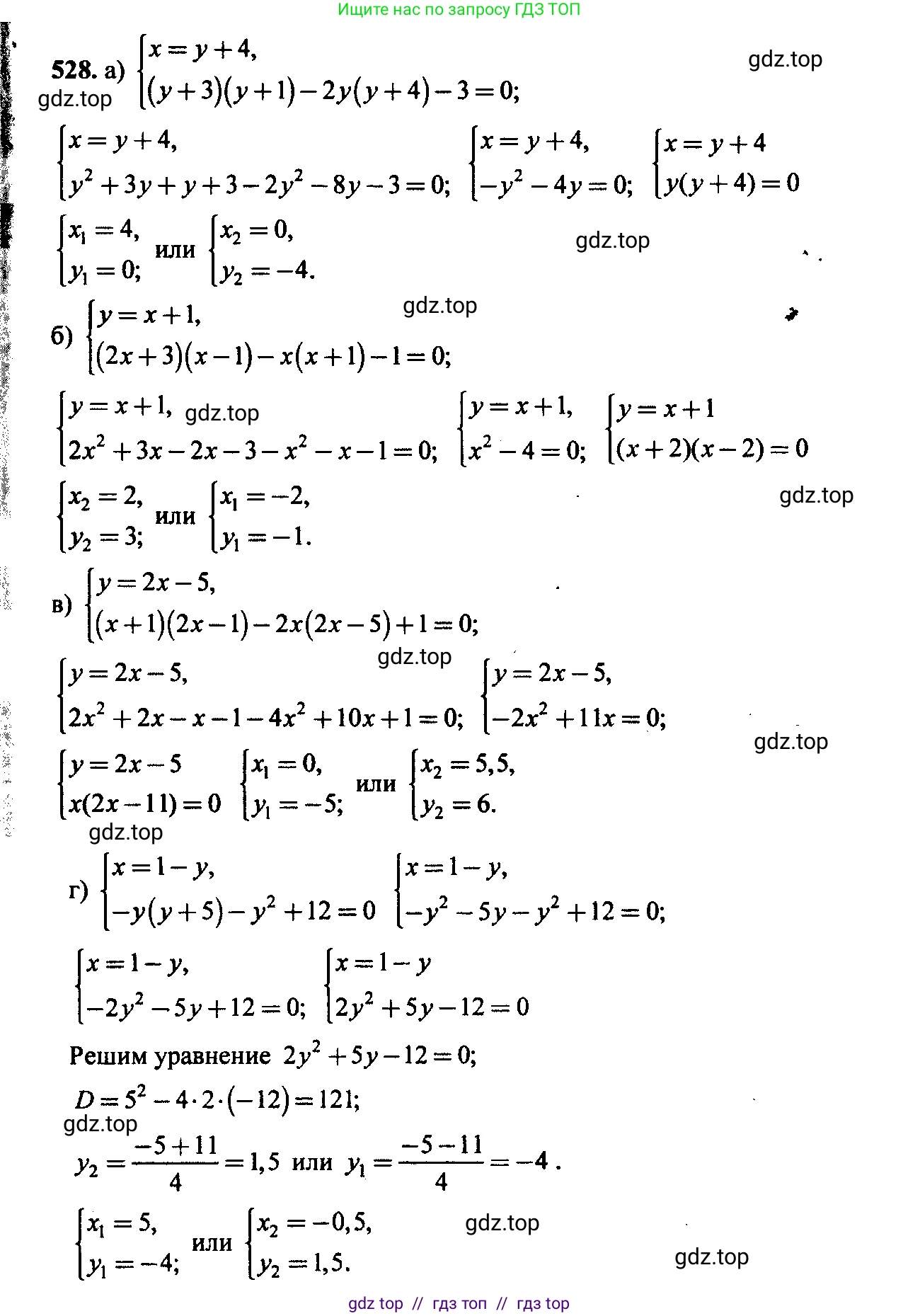
Дана система уравнений: $ \begin{cases} x - y = 4 \\ (x - 1)(y + 1) = 2xy + 3 \end{cases} $
Из первого уравнения выразим $x$ через $y$:
$x = y + 4$
Подставим это выражение для $x$ во второе уравнение системы:
$((y + 4) - 1)(y + 1) = 2(y + 4)y + 3$
Упростим и решим полученное уравнение:
$(y + 3)(y + 1) = 2y(y + 4) + 3$
$y^2 + y + 3y + 3 = 2y^2 + 8y + 3$
$y^2 + 4y + 3 = 2y^2 + 8y + 3$
Перенесем все члены в правую часть и приведем подобные:
$2y^2 - y^2 + 8y - 4y + 3 - 3 = 0$
$y^2 + 4y = 0$
Вынесем $y$ за скобки:
$y(y + 4) = 0$
Это уравнение имеет два корня:
$y_1 = 0$
$y_2 = -4$
Теперь найдем соответствующие значения $x$, используя формулу $x = y + 4$:
Если $y_1 = 0$, то $x_1 = 0 + 4 = 4$.
Если $y_2 = -4$, то $x_2 = -4 + 4 = 0$.
Таким образом, система имеет два решения.
Ответ: $(4, 0), (0, -4)$.
Дана система уравнений: $ \begin{cases} y - x = 1 \\ (2y + 1)(x - 1) = xy + 1 \end{cases} $
Из первого уравнения выразим $y$ через $x$:
$y = x + 1$
Подставим это выражение во второе уравнение:
$(2(x + 1) + 1)(x - 1) = x(x + 1) + 1$
Упростим и решим полученное уравнение:
$(2x + 2 + 1)(x - 1) = x^2 + x + 1$
$(2x + 3)(x - 1) = x^2 + x + 1$
$2x^2 - 2x + 3x - 3 = x^2 + x + 1$
$2x^2 + x - 3 = x^2 + x + 1$
Перенесем все члены в левую часть:
$2x^2 - x^2 + x - x - 3 - 1 = 0$
$x^2 - 4 = 0$
Это уравнение можно разложить на множители как разность квадратов:
$(x - 2)(x + 2) = 0$
Корни уравнения:
$x_1 = 2$
$x_2 = -2$
Найдем соответствующие значения $y$ из $y = x + 1$:
Если $x_1 = 2$, то $y_1 = 2 + 1 = 3$.
Если $x_2 = -2$, то $y_2 = -2 + 1 = -1$.
Ответ: $(2, 3), (-2, -1)$.
Дана система уравнений: $ \begin{cases} 2x - y = 5 \\ (x + 1)(y + 4) = 2xy - 1 \end{cases} $
Из первого уравнения выразим $y$:
$y = 2x - 5$
Подставим это во второе уравнение:
$(x + 1)((2x - 5) + 4) = 2x(2x - 5) - 1$
Упростим и решим:
$(x + 1)(2x - 1) = 4x^2 - 10x - 1$
$2x^2 - x + 2x - 1 = 4x^2 - 10x - 1$
$2x^2 + x - 1 = 4x^2 - 10x - 1$
Перенесем все члены в правую часть:
$4x^2 - 2x^2 - 10x - x - 1 + 1 = 0$
$2x^2 - 11x = 0$
Вынесем $x$ за скобки:
$x(2x - 11) = 0$
Корни уравнения:
$x_1 = 0$
$2x_2 - 11 = 0 \implies x_2 = \frac{11}{2}$
Найдем соответствующие значения $y$ из $y = 2x - 5$:
Если $x_1 = 0$, то $y_1 = 2(0) - 5 = -5$.
Если $x_2 = \frac{11}{2}$, то $y_2 = 2 \cdot \frac{11}{2} - 5 = 11 - 5 = 6$.
Ответ: $(0, -5), (\frac{11}{2}, 6)$.
Дана система уравнений: $ \begin{cases} x + y = 1 \\ (x - 1)(y + 5) = y^2 - 12 \end{cases} $
Из первого уравнения выразим $x$:
$x = 1 - y$
Подставим это во второе уравнение:
$((1 - y) - 1)(y + 5) = y^2 - 12$
Упростим и решим:
$(-y)(y + 5) = y^2 - 12$
$-y^2 - 5y = y^2 - 12$
Перенесем все члены в одну сторону:
$y^2 + y^2 + 5y - 12 = 0$
$2y^2 + 5y - 12 = 0$
Решим это квадратное уравнение относительно $y$ с помощью дискриминанта $D = b^2 - 4ac$:
$D = 5^2 - 4 \cdot 2 \cdot (-12) = 25 + 96 = 121 = 11^2$
Корни уравнения:
$y_1 = \frac{-5 + \sqrt{121}}{2 \cdot 2} = \frac{-5 + 11}{4} = \frac{6}{4} = \frac{3}{2}$
$y_2 = \frac{-5 - \sqrt{121}}{2 \cdot 2} = \frac{-5 - 11}{4} = \frac{-16}{4} = -4$
Найдем соответствующие значения $x$ из $x = 1 - y$:
Если $y_1 = \frac{3}{2}$, то $x_1 = 1 - \frac{3}{2} = -\frac{1}{2}$.
Если $y_2 = -4$, то $x_2 = 1 - (-4) = 1 + 4 = 5$.
Ответ: $(-\frac{1}{2}, \frac{3}{2}), (5, -4)$.
Другие задания:
Помогло решение? Оставьте отзыв в комментариях ниже.
Присоединяйтесь к Телеграм-группе @top_gdz
ПрисоединитьсяМы подготовили для вас ответ c подробным объяснением домашего задания по алгебре за 9 класс, для упражнения номер 493 расположенного на странице 145 к учебнику 2023 года издания для учащихся школ и гимназий.
Теперь на нашем сайте ГДЗ.ТОП вы всегда легко и бесплатно найдёте условие с правильным ответом на вопрос «Как решить ДЗ» и «Как сделать» задание по алгебре к упражнению №493 (с. 145), авторов: Макарычев (Юрий Николаевич), Миндюк (Нора Григорьевна), Нешков (Константин Иванович), Суворова (Светлана Борисовна), ФГОС (новый, красный) базовый уровень обучения учебного пособия издательства Просвещение.