Номер 594, страница 172 - гдз по алгебре 9 класс учебник Макарычев, Миндюк

Авторы: Макарычев Ю. Н., Миндюк Н. Г., Нешков К. И., Суворова С. Б.
Тип: Учебник
Издательство: Просвещение
Год издания: 2023 - 2025
Уровень обучения: базовый
Цвет обложки: белый, зелёный, фиолетовый
ISBN: 978-5-09-112135-3
Допущено Министерством просвещения Российской Федерации
Популярные ГДЗ в 9 классе
29. Определение геометрической прогрессии. Формула n-го члена геометрической прогрессии. Параграф 10. Геометрическая прогрессия. Глава 5. Арифметическая и геометрическая прогрессии - номер 594, страница 172.
№594 (с. 172)
Условие. №594 (с. 172)
скриншот условия

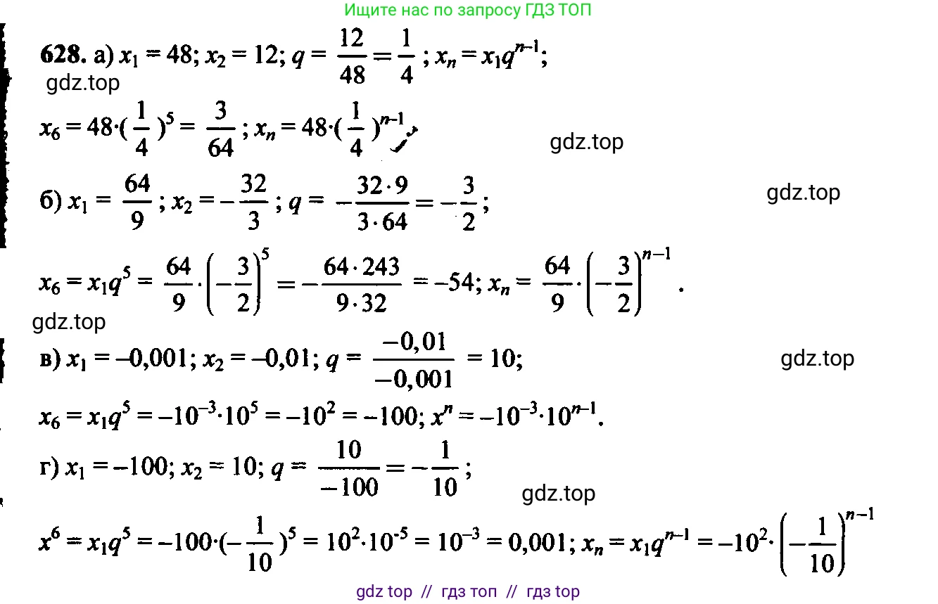
594. Найдите шестой и n-й члены геометрической прогрессии:

Решение 1. №594 (с. 172)


Решение 2. №594 (с. 172)




Решение 3. №594 (с. 172)


Решение 4. №594 (с. 172)

Решение 5. №594 (с. 172)

Решение 7. №594 (с. 172)

Решение 8. №594 (с. 172)
Для решения задачи воспользуемся формулой n-го члена геометрической прогрессии: $b_n = b_1 \cdot q^{n-1}$, где $b_1$ — первый член прогрессии, а $q$ — её знаменатель.
а)
Дана геометрическая прогрессия $48; 12; \dots$
Первый член прогрессии $b_1 = 48$.
Найдем знаменатель прогрессии $q$, разделив второй член на первый:
$q = \frac{b_2}{b_1} = \frac{12}{48} = \frac{1}{4}$
Теперь найдем шестой член прогрессии ($n=6$):
$b_6 = b_1 \cdot q^{6-1} = 48 \cdot \left(\frac{1}{4}\right)^5 = 48 \cdot \frac{1}{1024} = \frac{48}{1024} = \frac{3 \cdot 16}{64 \cdot 16} = \frac{3}{64}$
Запишем формулу для n-го члена этой прогрессии:
$b_n = b_1 \cdot q^{n-1} = 48 \cdot \left(\frac{1}{4}\right)^{n-1}$
Ответ: $b_6 = \frac{3}{64}$, $b_n = 48 \cdot \left(\frac{1}{4}\right)^{n-1}$.
б)
Дана геометрическая прогрессия $\frac{64}{9}; -\frac{32}{3}; \dots$
Первый член прогрессии $b_1 = \frac{64}{9}$.
Найдем знаменатель прогрессии $q$:
$q = \frac{b_2}{b_1} = \frac{-32/3}{64/9} = -\frac{32}{3} \cdot \frac{9}{64} = -\frac{32 \cdot 9}{3 \cdot 64} = -\frac{1 \cdot 3}{1 \cdot 2} = -\frac{3}{2}$
Теперь найдем шестой член прогрессии ($n=6$):
$b_6 = b_1 \cdot q^5 = \frac{64}{9} \cdot \left(-\frac{3}{2}\right)^5 = \frac{64}{9} \cdot \left(-\frac{243}{32}\right) = -\frac{64 \cdot 243}{9 \cdot 32} = -(2 \cdot 27) = -54$
Запишем формулу для n-го члена этой прогрессии:
$b_n = b_1 \cdot q^{n-1} = \frac{64}{9} \cdot \left(-\frac{3}{2}\right)^{n-1}$
Ответ: $b_6 = -54$, $b_n = \frac{64}{9} \cdot \left(-\frac{3}{2}\right)^{n-1}$.
в)
Дана геометрическая прогрессия $-0,001; -0,01; \dots$
Первый член прогрессии $b_1 = -0,001$.
Найдем знаменатель прогрессии $q$:
$q = \frac{b_2}{b_1} = \frac{-0,01}{-0,001} = 10$
Теперь найдем шестой член прогрессии ($n=6$):
$b_6 = b_1 \cdot q^5 = -0,001 \cdot 10^5 = -0,001 \cdot 100000 = -100$
Запишем формулу для n-го члена этой прогрессии:
$b_n = b_1 \cdot q^{n-1} = -0,001 \cdot 10^{n-1} = -10^{-3} \cdot 10^{n-1} = -10^{n-3-1} = -10^{n-4}$
Ответ: $b_6 = -100$, $b_n = -10^{n-4}$.
г)
Дана геометрическая прогрессия $-100; 10; \dots$
Первый член прогрессии $b_1 = -100$.
Найдем знаменатель прогрессии $q$:
$q = \frac{b_2}{b_1} = \frac{10}{-100} = -0,1$
Теперь найдем шестой член прогрессии ($n=6$):
$b_6 = b_1 \cdot q^5 = -100 \cdot (-0,1)^5 = -100 \cdot (-0,00001) = 0,001$
Запишем формулу для n-го члена этой прогрессии:
$b_n = b_1 \cdot q^{n-1} = -100 \cdot (-0,1)^{n-1}$
Ответ: $b_6 = 0,001$, $b_n = -100 \cdot (-0,1)^{n-1}$.
Другие задания:
Помогло решение? Оставьте отзыв в комментариях ниже.
Присоединяйтесь к Телеграм-группе @top_gdz
ПрисоединитьсяМы подготовили для вас ответ c подробным объяснением домашего задания по алгебре за 9 класс, для упражнения номер 594 расположенного на странице 172 к учебнику 2023 года издания для учащихся школ и гимназий.
Теперь на нашем сайте ГДЗ.ТОП вы всегда легко и бесплатно найдёте условие с правильным ответом на вопрос «Как решить ДЗ» и «Как сделать» задание по алгебре к упражнению №594 (с. 172), авторов: Макарычев (Юрий Николаевич), Миндюк (Нора Григорьевна), Нешков (Константин Иванович), Суворова (Светлана Борисовна), ФГОС (новый, красный) базовый уровень обучения учебного пособия издательства Просвещение.