Номер 677, страница 187 - гдз по алгебре 9 класс учебник Макарычев, Миндюк
 
                                                Авторы: Макарычев Ю. Н., Миндюк Н. Г., Нешков К. И., Суворова С. Б.
Тип: Учебник
Издательство: Просвещение
Год издания: 2023 - 2025
Уровень обучения: базовый
Цвет обложки: белый, зелёный, фиолетовый
ISBN: 978-5-09-112135-3
Допущено Министерством просвещения Российской Федерации
Популярные ГДЗ в 9 классе
Глава 5. Арифметическая и геометрическая прогрессии. Параграф 10. Геометрическая прогрессия. Дополнительные упражнения к главе 5 - номер 677, страница 187.
№677 (с. 187)
Условие. №677 (с. 187)
скриншот условия
 
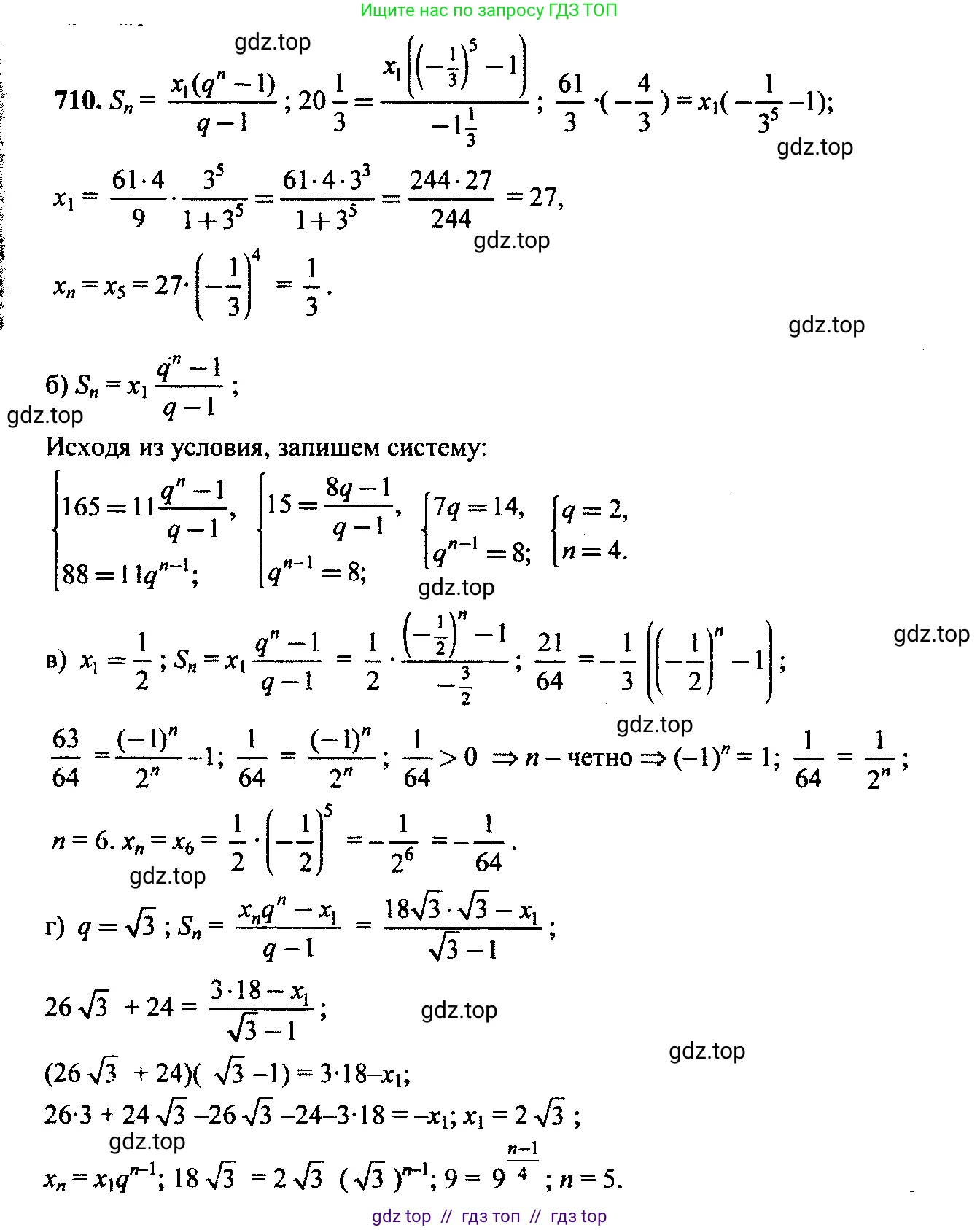
                                677. В геометрической прогрессии (xₙ):
 
 Решение 1. №677 (с. 187)
 
             
             
             
             
             
                            Решение 2. №677 (с. 187)
 
             
             
             
                            Решение 3. №677 (с. 187)
 
             
                            Решение 4. №677 (с. 187)
 
                            Решение 5. №677 (с. 187)
 
                            Решение 7. №677 (с. 187)
 
                            Решение 8. №677 (с. 187)
а)
Дано: знаменатель геометрической прогрессии $q = -\frac{1}{3}$, число членов $n = 5$, сумма первых $n$ членов $S_n = 20\frac{1}{3}$.
Сначала переведем смешанное число в неправильную дробь: $S_5 = 20\frac{1}{3} = \frac{20 \cdot 3 + 1}{3} = \frac{61}{3}$.
Воспользуемся формулой суммы первых $n$ членов геометрической прогрессии: $S_n = \frac{x_1(q^n - 1)}{q - 1}$.
Подставим известные значения, чтобы найти первый член прогрессии $x_1$:
$\frac{61}{3} = \frac{x_1((-\frac{1}{3})^5 - 1)}{-\frac{1}{3} - 1}$
Вычислим знаменатель дроби в правой части: $-\frac{1}{3} - 1 = -\frac{1}{3} - \frac{3}{3} = -\frac{4}{3}$.
Вычислим выражение в скобках в числителе: $(-\frac{1}{3})^5 - 1 = -\frac{1}{243} - 1 = -\frac{1}{243} - \frac{243}{243} = -\frac{244}{243}$.
Подставим эти значения обратно в уравнение:
$\frac{61}{3} = \frac{x_1(-\frac{244}{243})}{-\frac{4}{3}}$
$\frac{61}{3} = x_1 \cdot \frac{244}{243} \cdot \frac{3}{4}$
Сократим дробь: $\frac{244 \cdot 3}{243 \cdot 4} = \frac{61 \cdot 4 \cdot 3}{81 \cdot 3 \cdot 4} = \frac{61}{81}$.
$\frac{61}{3} = x_1 \cdot \frac{61}{81}$
Отсюда находим $x_1$:
$x_1 = \frac{61}{3} \cdot \frac{81}{61} = \frac{81}{3} = 27$.
Теперь найдем $n$-й член прогрессии, то есть $x_5$, используя формулу $x_n = x_1 \cdot q^{n-1}$:
$x_5 = x_1 \cdot q^{5-1} = 27 \cdot (-\frac{1}{3})^4 = 27 \cdot \frac{1}{81} = \frac{27}{81} = \frac{1}{3}$.
Ответ: $x_1 = 27$, $x_n = \frac{1}{3}$.
б)
Дано: $x_1 = 11$, $x_n = 88$, $S_n = 165$.
Воспользуемся формулой для суммы $S_n = \frac{x_n q - x_1}{q - 1}$, чтобы найти знаменатель прогрессии $q$.
$165 = \frac{88q - 11}{q - 1}$
$165(q - 1) = 88q - 11$
$165q - 165 = 88q - 11$
$165q - 88q = 165 - 11$
$77q = 154$
$q = \frac{154}{77} = 2$.
Теперь найдем число членов прогрессии $n$, используя формулу $n$-го члена $x_n = x_1 \cdot q^{n-1}$.
$88 = 11 \cdot 2^{n-1}$
$\frac{88}{11} = 2^{n-1}$
$8 = 2^{n-1}$
Так как $8 = 2^3$, то $2^3 = 2^{n-1}$.
Отсюда $n-1 = 3$, следовательно, $n = 4$.
Ответ: $q = 2$, $n = 4$.
в)
Дано: $x_1 = \frac{1}{2}$, $q = -\frac{1}{2}$, $S_n = \frac{21}{64}$.
Воспользуемся формулой суммы $S_n = \frac{x_1(q^n - 1)}{q - 1}$ для нахождения $n$.
$\frac{21}{64} = \frac{\frac{1}{2}((-\frac{1}{2})^n - 1)}{-\frac{1}{2} - 1}$
Знаменатель правой части: $-\frac{1}{2} - 1 = -\frac{3}{2}$.
$\frac{21}{64} = \frac{\frac{1}{2}((-\frac{1}{2})^n - 1)}{-\frac{3}{2}} = \frac{1}{2} \cdot (-\frac{2}{3}) \cdot ((-\frac{1}{2})^n - 1) = -\frac{1}{3}((-\frac{1}{2})^n - 1)$.
Умножим обе части на -3:
$\frac{21}{64} \cdot (-3) = (-\frac{1}{2})^n - 1$
$-\frac{63}{64} = (-\frac{1}{2})^n - 1$
$1 - \frac{63}{64} = (-\frac{1}{2})^n$
$\frac{1}{64} = (-\frac{1}{2})^n$
Поскольку $\frac{1}{64} = (\frac{1}{2})^6 = (-\frac{1}{2})^6$ (так как степень четная), то $n = 6$.
Теперь найдем $n$-й член прогрессии $x_n = x_6$ по формуле $x_n = x_1 \cdot q^{n-1}$:
$x_6 = \frac{1}{2} \cdot (-\frac{1}{2})^{6-1} = \frac{1}{2} \cdot (-\frac{1}{2})^5 = \frac{1}{2} \cdot (-\frac{1}{32}) = -\frac{1}{64}$.
Ответ: $n=6$, $x_n = -\frac{1}{64}$.
г)
Дано: $q = \sqrt{3}$, $x_n = 18\sqrt{3}$, $S_n = 26\sqrt{3} + 24$.
Воспользуемся формулой $S_n = \frac{x_n q - x_1}{q - 1}$ для нахождения $x_1$.
$26\sqrt{3} + 24 = \frac{18\sqrt{3} \cdot \sqrt{3} - x_1}{\sqrt{3} - 1}$
$26\sqrt{3} + 24 = \frac{18 \cdot 3 - x_1}{\sqrt{3} - 1} = \frac{54 - x_1}{\sqrt{3} - 1}$
Умножим обе части на $(\sqrt{3} - 1)$:
$(26\sqrt{3} + 24)(\sqrt{3} - 1) = 54 - x_1$
$26\sqrt{3} \cdot \sqrt{3} - 26\sqrt{3} \cdot 1 + 24 \cdot \sqrt{3} - 24 \cdot 1 = 54 - x_1$
$26 \cdot 3 - 26\sqrt{3} + 24\sqrt{3} - 24 = 54 - x_1$
$78 - 2\sqrt{3} - 24 = 54 - x_1$
$54 - 2\sqrt{3} = 54 - x_1$
Отсюда следует, что $x_1 = 2\sqrt{3}$.
Теперь найдем $n$ по формуле $x_n = x_1 \cdot q^{n-1}$.
$18\sqrt{3} = 2\sqrt{3} \cdot (\sqrt{3})^{n-1}$
Разделим обе части на $2\sqrt{3}$:
$\frac{18\sqrt{3}}{2\sqrt{3}} = (\sqrt{3})^{n-1}$
$9 = (\sqrt{3})^{n-1}$
Так как $9 = 3^2 = ((\sqrt{3})^2)^2 = (\sqrt{3})^4$, то получаем:
$(\sqrt{3})^4 = (\sqrt{3})^{n-1}$
Следовательно, $4 = n-1$, откуда $n = 5$.
Ответ: $x_1 = 2\sqrt{3}$, $n = 5$.
Другие задания:
Помогло решение? Оставьте отзыв в комментариях ниже.
Присоединяйтесь к Телеграм-группе @top_gdz
ПрисоединитьсяМы подготовили для вас ответ c подробным объяснением домашего задания по алгебре за 9 класс, для упражнения номер 677 расположенного на странице 187 к учебнику 2023 года издания для учащихся школ и гимназий.
Теперь на нашем сайте ГДЗ.ТОП вы всегда легко и бесплатно найдёте условие с правильным ответом на вопрос «Как решить ДЗ» и «Как сделать» задание по алгебре к упражнению №677 (с. 187), авторов: Макарычев (Юрий Николаевич), Миндюк (Нора Григорьевна), Нешков (Константин Иванович), Суворова (Светлана Борисовна), ФГОС (новый, красный) базовый уровень обучения учебного пособия издательства Просвещение.
 
                     
                     
                     
                     
                     
                     
                     
                     
                     
                     
                     
                     
                     
                     
                    