Номер 104, страница 37 - гдз по алгебре 9 класс учебник Макарычев, Миндюк

Авторы: Макарычев Ю. Н., Миндюк Н. Г., Нешков К. И., Суворова С. Б.
Тип: Учебник
Издательство: Просвещение
Год издания: 2014 - 2024
Цвет обложки:
ISBN: 978-5-09-0779-15
Допущено Министерством просвещения Российской Федерации
Популярные ГДЗ в 9 классе
5. Функция у=ах^2, её график и свойства. § 3. Квадратичная функция и её график. Глава 1. Квадратичная функция - номер 104, страница 37.
№104 (с. 37)
Условие. №104 (с. 37)
скриншот условия

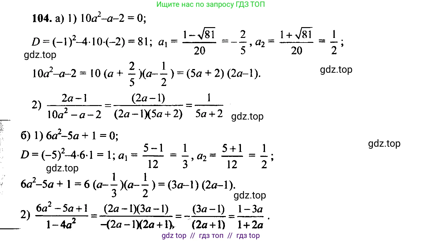
104. Сократите дробь:
а) $ \frac{2a - 1}{10a^2 - a - 2} $;
б) $ \frac{6a^2 - 5a + 1}{1 - 4a^2} $.
Решение 1. №104 (с. 37)


Решение 2. №104 (с. 37)

Решение 3. №104 (с. 37)

Решение 4. №104 (с. 37)

Решение 5. №104 (с. 37)

Решение 7. №104 (с. 37)

Решение 8. №104 (с. 37)
а) $\frac{2a - 1}{10a^2 - a - 2}$
Для того чтобы сократить данную дробь, необходимо разложить ее знаменатель на множители. Знаменатель $10a^2 - a - 2$ является квадратным трехчленом.
Найдем корни соответствующего квадратного уравнения $10a^2 - a - 2 = 0$ через дискриминант.
Формула дискриминанта: $D = b^2 - 4ac$.
$D = (-1)^2 - 4 \cdot 10 \cdot (-2) = 1 + 80 = 81$
Корни уравнения находятся по формуле $a = \frac{-b \pm \sqrt{D}}{2a}$:
$a_1 = \frac{-(-1) + \sqrt{81}}{2 \cdot 10} = \frac{1 + 9}{20} = \frac{10}{20} = \frac{1}{2}$
$a_2 = \frac{-(-1) - \sqrt{81}}{2 \cdot 10} = \frac{1 - 9}{20} = \frac{-8}{20} = -\frac{2}{5}$
Теперь разложим квадратный трехчлен на множители, используя формулу $ax^2 + bx + c = a(x - x_1)(x - x_2)$:
$10a^2 - a - 2 = 10(a - \frac{1}{2})(a - (-\frac{2}{5})) = 10(a - \frac{1}{2})(a + \frac{2}{5})$
Для удобства внесем множитель 10 в скобки, представив его как $2 \cdot 5$:
$10(a - \frac{1}{2})(a + \frac{2}{5}) = (2(a - \frac{1}{2})) \cdot (5(a + \frac{2}{5})) = (2a - 1)(5a + 2)$
Подставим полученное выражение в знаменатель исходной дроби и сократим общий множитель $(2a - 1)$:
$\frac{2a - 1}{10a^2 - a - 2} = \frac{2a - 1}{(2a - 1)(5a + 2)} = \frac{1}{5a + 2}$
Ответ: $\frac{1}{5a + 2}$
б) $\frac{6a^2 - 5a + 1}{1 - 4a^2}$
Чтобы сократить эту дробь, разложим на множители ее числитель и знаменатель.
1. Разложим на множители числитель $6a^2 - 5a + 1$. Для этого найдем корни уравнения $6a^2 - 5a + 1 = 0$:
$D = (-5)^2 - 4 \cdot 6 \cdot 1 = 25 - 24 = 1$
Корни уравнения:
$a_1 = \frac{5 + \sqrt{1}}{2 \cdot 6} = \frac{6}{12} = \frac{1}{2}$
$a_2 = \frac{5 - \sqrt{1}}{2 \cdot 6} = \frac{4}{12} = \frac{1}{3}$
Разложим числитель на множители:
$6a^2 - 5a + 1 = 6(a - \frac{1}{2})(a - \frac{1}{3}) = (2 \cdot (a - \frac{1}{2}))(3 \cdot (a - \frac{1}{3})) = (2a - 1)(3a - 1)$
2. Разложим на множители знаменатель $1 - 4a^2$. Это разность квадратов, которую можно разложить по формуле $x^2 - y^2 = (x - y)(x + y)$:
$1 - 4a^2 = 1^2 - (2a)^2 = (1 - 2a)(1 + 2a)$
3. Подставим разложенные числитель и знаменатель обратно в дробь:
$\frac{6a^2 - 5a + 1}{1 - 4a^2} = \frac{(2a - 1)(3a - 1)}{(1 - 2a)(1 + 2a)}$
Множители $(2a - 1)$ и $(1 - 2a)$ являются противоположными, так как $2a - 1 = -(1 - 2a)$. Выполним замену и сократим дробь:
$\frac{-(1 - 2a)(3a - 1)}{(1 - 2a)(1 + 2a)} = \frac{-(3a - 1)}{1 + 2a} = \frac{1 - 3a}{1 + 2a}$
Ответ: $\frac{1 - 3a}{1 + 2a}$
Другие задания:
Помогло решение? Оставьте отзыв в комментариях ниже.
Мы подготовили для вас ответ c подробным объяснением домашего задания по алгебре за 9 класс, для упражнения номер 104 расположенного на странице 37 к учебнику 2014 - 2024 года издания для учащихся школ и гимназий.
Теперь на нашем сайте ГДЗ.ТОП вы всегда легко и бесплатно найдёте условие с правильным ответом на вопрос «Как решить ДЗ» и «Как сделать» задание по алгебре к упражнению №104 (с. 37), авторов: Макарычев (Юрий Николаевич), Миндюк (Нора Григорьевна), Нешков (Константин Иванович), Суворова (Светлана Борисовна), ФГОС (старый) учебного пособия издательства Просвещение.