Номер 228, страница 71 - гдз по алгебре 9 класс учебник Макарычев, Миндюк

Авторы: Макарычев Ю. Н., Миндюк Н. Г., Нешков К. И., Суворова С. Б.
Тип: Учебник
Издательство: Просвещение
Год издания: 2014 - 2024
Цвет обложки:
ISBN: 978-5-09-0779-15
Допущено Министерством просвещения Российской Федерации
Популярные ГДЗ в 9 классе
К параграфу 2. Дополнительные упражнения к главе 1. Глава 1. Квадратичная функция - номер 228, страница 71.
№228 (с. 71)
Условие. №228 (с. 71)
скриншот условия

228. Выполните действие:
a) $ \frac{x+4}{x-1} - \frac{37x-12}{4x^2-3x-1} $;
б) $ \frac{x-1}{x+2} - \frac{1-x}{x^2+3x+2} $;
в) $ \frac{7x-x^2}{x+4} \cdot \frac{x^2-x-20}{7-x} $;
г) $ \frac{x^2+11x+30}{3x-15} : \frac{x+5}{x-5} $;
д) $ \frac{2x^2-7}{x^2-3x-4} - \frac{x+1}{x-4} $;
e) $ \frac{2+x-x^2}{2-5x+3x^2} + \frac{10x}{3x-2} $.
Решение 1. №228 (с. 71)






Решение 2. №228 (с. 71)





Решение 3. №228 (с. 71)

Решение 4. №228 (с. 71)

Решение 5. №228 (с. 71)

Решение 7. №228 (с. 71)


Решение 8. №228 (с. 71)
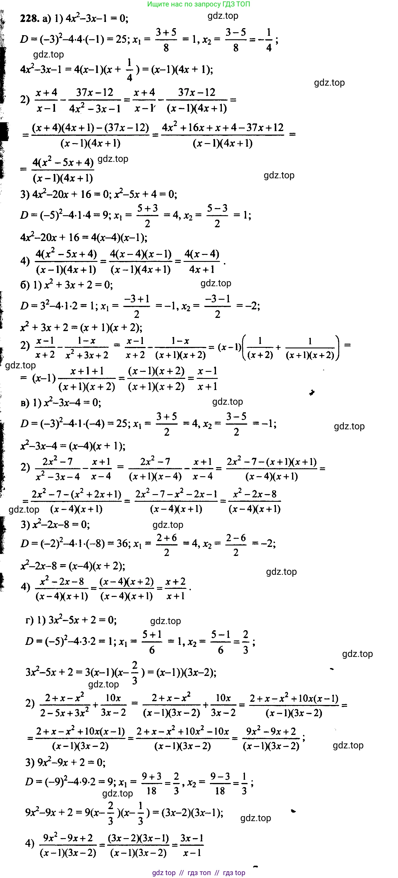
а) Чтобы выполнить вычитание дробей $\frac{x+4}{x-1} - \frac{37x-12}{4x^2-3x-1}$, сначала разложим знаменатель второй дроби на множители. Для этого найдем корни квадратного уравнения $4x^2-3x-1=0$. Дискриминант $D = (-3)^2 - 4 \cdot 4 \cdot (-1) = 9 + 16 = 25$. Корни уравнения: $x_1 = \frac{3+\sqrt{25}}{2 \cdot 4} = \frac{3+5}{8}=1$ и $x_2 = \frac{3-5}{8}=-\frac{1}{4}$. Тогда знаменатель раскладывается на множители: $4x^2-3x-1 = 4(x-1)(x+\frac{1}{4}) = (x-1)(4x+1)$.Выражение принимает вид: $\frac{x+4}{x-1} - \frac{37x-12}{(x-1)(4x+1)}$.Приведем дроби к общему знаменателю $(x-1)(4x+1)$:$\frac{(x+4)(4x+1)}{(x-1)(4x+1)} - \frac{37x-12}{(x-1)(4x+1)} = \frac{(x+4)(4x+1) - (37x-12)}{(x-1)(4x+1)}$.Раскроем скобки и упростим числитель:$\frac{4x^2+x+16x+4 - 37x+12}{(x-1)(4x+1)} = \frac{4x^2-20x+16}{(x-1)(4x+1)}$.Разложим числитель на множители, вынеся общий множитель 4: $4(x^2-5x+4) = 4(x-1)(x-4)$.Получаем дробь: $\frac{4(x-1)(x-4)}{(x-1)(4x+1)}$.Сократим общий множитель $(x-1)$: $\frac{4(x-4)}{4x+1}$.
Ответ: $\frac{4(x-4)}{4x+1}$.
б) Рассмотрим выражение $\frac{x-1}{x+2} - \frac{1-x}{x^2+3x+2}$. Разложим на множители знаменатель второй дроби: $x^2+3x+2=(x+1)(x+2)$. Заметим, что числитель второй дроби $1-x=-(x-1)$. Тогда выражение можно переписать:$\frac{x-1}{x+2} - \frac{-(x-1)}{(x+1)(x+2)} = \frac{x-1}{x+2} + \frac{x-1}{(x+1)(x+2)}$.Общий знаменатель равен $(x+1)(x+2)$. Приведем дроби к нему:$\frac{(x-1)(x+1)}{(x+1)(x+2)} + \frac{x-1}{(x+1)(x+2)} = \frac{(x-1)(x+1) + (x-1)}{(x+1)(x+2)}$.Вынесем в числителе общий множитель $(x-1)$ за скобки:$\frac{(x-1)((x+1)+1)}{(x+1)(x+2)} = \frac{(x-1)(x+2)}{(x+1)(x+2)}$.Сократим на $(x+2)$: $\frac{x-1}{x+1}$.
Ответ: $\frac{x-1}{x+1}$.
в) Чтобы выполнить умножение $\frac{7x-x^2}{x+4} \cdot \frac{x^2-x-20}{7-x}$, разложим числители и знаменатели на множители.$7x-x^2 = x(7-x)$.$x^2-x-20 = (x-5)(x+4)$ (по теореме Виета, корни 5 и -4).Подставим разложенные выражения в исходное:$\frac{x(7-x)}{x+4} \cdot \frac{(x-5)(x+4)}{7-x}$.Запишем под общей чертой и сократим общие множители $(x+4)$ и $(7-x)$:$\frac{x(7-x)(x-5)(x+4)}{(x+4)(7-x)} = x(x-5)$.
Ответ: $x(x-5)$.
г) Чтобы выполнить деление $\frac{x^2+11x+30}{3x-15} : \frac{x+5}{x-5}$, заменим его умножением на обратную дробь:$\frac{x^2+11x+30}{3x-15} \cdot \frac{x-5}{x+5}$.Разложим на множители числитель и знаменатель первой дроби:$x^2+11x+30 = (x+5)(x+6)$ (по теореме Виета, корни -5 и -6).$3x-15 = 3(x-5)$.Подставим в выражение:$\frac{(x+5)(x+6)}{3(x-5)} \cdot \frac{x-5}{x+5}$.Запишем под общей чертой и сократим общие множители $(x+5)$ и $(x-5)$:$\frac{(x+5)(x+6)(x-5)}{3(x-5)(x+5)} = \frac{x+6}{3}$.
Ответ: $\frac{x+6}{3}$.
д) Рассмотрим выражение $\frac{2x^2-7}{x^2-3x-4} - \frac{x+1}{x-4}$. Разложим на множители знаменатель первой дроби: $x^2-3x-4 = (x-4)(x+1)$ (по теореме Виета, корни 4 и -1).Выражение принимает вид: $\frac{2x^2-7}{(x-4)(x+1)} - \frac{x+1}{x-4}$.Общий знаменатель $(x-4)(x+1)$. Приводим дроби к нему:$\frac{2x^2-7}{(x-4)(x+1)} - \frac{(x+1)(x+1)}{(x-4)(x+1)} = \frac{2x^2-7 - (x+1)^2}{(x-4)(x+1)}$.Раскроем скобки и упростим числитель:$\frac{2x^2-7 - (x^2+2x+1)}{(x-4)(x+1)} = \frac{2x^2-7-x^2-2x-1}{(x-4)(x+1)} = \frac{x^2-2x-8}{(x-4)(x+1)}$.Разложим получившийся числитель на множители: $x^2-2x-8 = (x-4)(x+2)$ (по теореме Виета, корни 4 и -2).Получаем дробь: $\frac{(x-4)(x+2)}{(x-4)(x+1)}$.Сократим на $(x-4)$: $\frac{x+2}{x+1}$.
Ответ: $\frac{x+2}{x+1}$.
е) Рассмотрим выражение $\frac{2+x-x^2}{2-5x+3x^2} + \frac{10x}{3x-2}$. Разложим на множители числитель и знаменатель первой дроби.Числитель: $2+x-x^2 = -(x^2-x-2) = -(x-2)(x+1) = (2-x)(x+1)$.Знаменатель: $3x^2-5x+2$. Найдем корни уравнения $3x^2-5x+2=0$. $D = (-5)^2 - 4 \cdot 3 \cdot 2 = 25 - 24 = 1$. Корни $x_1 = \frac{5+1}{6}=1$, $x_2=\frac{5-1}{6}=\frac{2}{3}$. Значит, $3x^2-5x+2 = 3(x-1)(x-\frac{2}{3}) = (x-1)(3x-2)$.Выражение принимает вид: $\frac{(2-x)(x+1)}{(x-1)(3x-2)} + \frac{10x}{3x-2}$.Заметим, что $2-x = -(x-2)$. Перепишем: $\frac{-(x-2)(x+1)}{(x-1)(3x-2)} + \frac{10x}{3x-2}$.Общий знаменатель $(x-1)(3x-2)$. Приведем к нему вторую дробь:$\frac{-(x-2)(x+1)}{(x-1)(3x-2)} + \frac{10x(x-1)}{(x-1)(3x-2)} = \frac{-(x^2-x-2) + 10x^2-10x}{(x-1)(3x-2)}$.Упростим числитель: $\frac{-x^2+x+2 + 10x^2-10x}{(x-1)(3x-2)} = \frac{9x^2-9x+2}{(x-1)(3x-2)}$.Разложим на множители числитель $9x^2-9x+2$. Корни уравнения $9x^2-9x+2=0$: $D = (-9)^2 - 4 \cdot 9 \cdot 2 = 81-72=9$. Корни $x_1 = \frac{9+3}{18}=\frac{2}{3}$, $x_2=\frac{9-3}{18}=\frac{1}{3}$. Значит, $9x^2-9x+2=9(x-\frac{2}{3})(x-\frac{1}{3}) = (3x-2)(3x-1)$.Получаем дробь: $\frac{(3x-2)(3x-1)}{(x-1)(3x-2)}$.Сократим на $(3x-2)$: $\frac{3x-1}{x-1}$.
Ответ: $\frac{3x-1}{x-1}$.
Другие задания:
Помогло решение? Оставьте отзыв в комментариях ниже.
Мы подготовили для вас ответ c подробным объяснением домашего задания по алгебре за 9 класс, для упражнения номер 228 расположенного на странице 71 к учебнику 2014 - 2024 года издания для учащихся школ и гимназий.
Теперь на нашем сайте ГДЗ.ТОП вы всегда легко и бесплатно найдёте условие с правильным ответом на вопрос «Как решить ДЗ» и «Как сделать» задание по алгебре к упражнению №228 (с. 71), авторов: Макарычев (Юрий Николаевич), Миндюк (Нора Григорьевна), Нешков (Константин Иванович), Суворова (Светлана Борисовна), ФГОС (старый) учебного пособия издательства Просвещение.