Номер 354, страница 103 - гдз по алгебре 9 класс учебник Макарычев, Миндюк

Авторы: Макарычев Ю. Н., Миндюк Н. Г., Нешков К. И., Суворова С. Б.
Тип: Учебник
Издательство: Просвещение
Год издания: 2014 - 2024
Цвет обложки:
ISBN: 978-5-09-0779-15
Допущено Министерством просвещения Российской Федерации
Популярные ГДЗ в 9 классе
К параграфу 5. Дополнительные упражнения к главе 2. Глава 2. Уравнения и неравенства с одной переменной - номер 354, страница 103.
№354 (с. 103)
Условие. №354 (с. 103)
скриншот условия

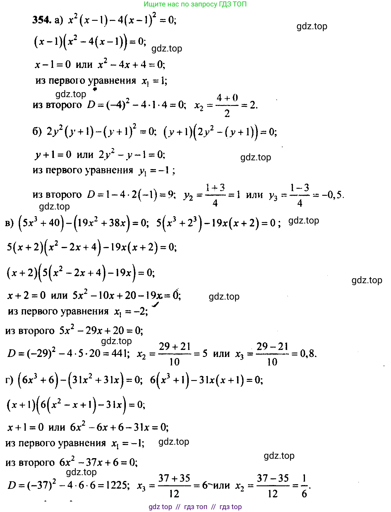
354. Решите уравнение:
a) $x^3 - x^2 - 4(x - 1)^2 = 0;$
б) $2y^3 + 2y^2 - (y + 1)^2 = 0;$
В) $5x^3 - 19x^2 - 38x + 40 = 0;$
Г) $6x^3 - 31x^2 - 31x + 6 = 0.$
Решение 1. №354 (с. 103)




Решение 2. №354 (с. 103)


Решение 3. №354 (с. 103)

Решение 4. №354 (с. 103)

Решение 5. №354 (с. 103)

Решение 7. №354 (с. 103)

Решение 8. №354 (с. 103)
а) $x^3 - x^2 - 4(x-1)^2 = 0$
Сгруппируем первые два слагаемых и вынесем общий множитель $x^2$ за скобки:
$x^2(x-1) - 4(x-1)^2 = 0$
Теперь вынесем общий множитель $(x-1)$ за скобки:
$(x-1)[x^2 - 4(x-1)] = 0$
Раскроем скобки внутри второй скобки:
$(x-1)(x^2 - 4x + 4) = 0$
Выражение во второй скобке является полным квадратом разности $(x-2)^2$:
$(x-1)(x-2)^2 = 0$
Произведение равно нулю, когда один из множителей равен нулю:
$x-1 = 0$ или $(x-2)^2 = 0$
Отсюда находим корни:
$x_1 = 1$
$x_2 = 2$
Ответ: $1; 2$.
б) $2y^3 + 2y^2 - (y+1)^2 = 0$
Сгруппируем первые два слагаемых и вынесем общий множитель $2y^2$ за скобки:
$2y^2(y+1) - (y+1)^2 = 0$
Вынесем общий множитель $(y+1)$ за скобки:
$(y+1)[2y^2 - (y+1)] = 0$
Раскроем скобки внутри второй скобки:
$(y+1)(2y^2 - y - 1) = 0$
Произведение равно нулю, когда один из множителей равен нулю. Приравниваем каждый множитель к нулю:
1) $y+1 = 0 \implies y_1 = -1$
2) $2y^2 - y - 1 = 0$
Решим квадратное уравнение с помощью дискриминанта:
$D = b^2 - 4ac = (-1)^2 - 4 \cdot 2 \cdot (-1) = 1 + 8 = 9$
$y_{2,3} = \frac{-b \pm \sqrt{D}}{2a} = \frac{1 \pm \sqrt{9}}{2 \cdot 2} = \frac{1 \pm 3}{4}$
$y_2 = \frac{1+3}{4} = \frac{4}{4} = 1$
$y_3 = \frac{1-3}{4} = \frac{-2}{4} = -\frac{1}{2}$
Ответ: $-1; -0.5; 1$.
в) $5x^3 - 19x^2 - 38x + 40 = 0$
Это кубическое уравнение. Попробуем найти целочисленные корни среди делителей свободного члена 40: $\pm1, \pm2, \pm4, \pm5, \dots$.
Подставим $x = -2$ в уравнение:
$5(-2)^3 - 19(-2)^2 - 38(-2) + 40 = 5(-8) - 19(4) + 76 + 40 = -40 - 76 + 76 + 40 = 0$
Так как равенство верное, $x_1 = -2$ является корнем уравнения. Следовательно, многочлен делится на $(x+2)$ без остатка. Выполним деление многочлена $5x^3 - 19x^2 - 38x + 40$ на двучлен $(x+2)$ (например, столбиком или по схеме Горнера):
$(5x^3 - 19x^2 - 38x + 40) : (x+2) = 5x^2 - 29x + 20$
Тогда уравнение можно переписать в виде:
$(x+2)(5x^2 - 29x + 20) = 0$
Один корень мы уже нашли ($x_1 = -2$), теперь найдем корни квадратного уравнения $5x^2 - 29x + 20 = 0$:
$D = b^2 - 4ac = (-29)^2 - 4 \cdot 5 \cdot 20 = 841 - 400 = 441 = 21^2$
$x_{2,3} = \frac{-b \pm \sqrt{D}}{2a} = \frac{29 \pm 21}{2 \cdot 5}$
$x_2 = \frac{29+21}{10} = \frac{50}{10} = 5$
$x_3 = \frac{29-21}{10} = \frac{8}{10} = \frac{4}{5}$
Ответ: $-2; \frac{4}{5}; 5$.
г) $6x^3 - 31x^2 - 31x + 6 = 0$
Это возвратное уравнение третьей степени. Такие уравнения всегда имеют корень $x=-1$. Проверим:
$6(-1)^3 - 31(-1)^2 - 31(-1) + 6 = -6 - 31 + 31 + 6 = 0$
Равенство верное, значит $x_1 = -1$ — корень уравнения. Разделим многочлен $6x^3 - 31x^2 - 31x + 6$ на $(x+1)$:
$(6x^3 - 31x^2 - 31x + 6) : (x+1) = 6x^2 - 37x + 6$
Получаем уравнение:
$(x+1)(6x^2 - 37x + 6) = 0$
Теперь решим квадратное уравнение $6x^2 - 37x + 6 = 0$:
$D = b^2 - 4ac = (-37)^2 - 4 \cdot 6 \cdot 6 = 1369 - 144 = 1225 = 35^2$
$x_{2,3} = \frac{-b \pm \sqrt{D}}{2a} = \frac{37 \pm 35}{2 \cdot 6}$
$x_2 = \frac{37+35}{12} = \frac{72}{12} = 6$
$x_3 = \frac{37-35}{12} = \frac{2}{12} = \frac{1}{6}$
Ответ: $-1; \frac{1}{6}; 6$.
Другие задания:
Помогло решение? Оставьте отзыв в комментариях ниже.
Мы подготовили для вас ответ c подробным объяснением домашего задания по алгебре за 9 класс, для упражнения номер 354 расположенного на странице 103 к учебнику 2014 - 2024 года издания для учащихся школ и гимназий.
Теперь на нашем сайте ГДЗ.ТОП вы всегда легко и бесплатно найдёте условие с правильным ответом на вопрос «Как решить ДЗ» и «Как сделать» задание по алгебре к упражнению №354 (с. 103), авторов: Макарычев (Юрий Николаевич), Миндюк (Нора Григорьевна), Нешков (Константин Иванович), Суворова (Светлана Борисовна), ФГОС (старый) учебного пособия издательства Просвещение.