Номер 358, страница 104 - гдз по алгебре 9 класс учебник Макарычев, Миндюк

Авторы: Макарычев Ю. Н., Миндюк Н. Г., Нешков К. И., Суворова С. Б.
Тип: Учебник
Издательство: Просвещение
Год издания: 2014 - 2024
Цвет обложки:
ISBN: 978-5-09-0779-15
Допущено Министерством просвещения Российской Федерации
Популярные ГДЗ в 9 классе
К параграфу 5. Дополнительные упражнения к главе 2. Глава 2. Уравнения и неравенства с одной переменной - номер 358, страница 104.
№358 (с. 104)
Условие. №358 (с. 104)
скриншот условия

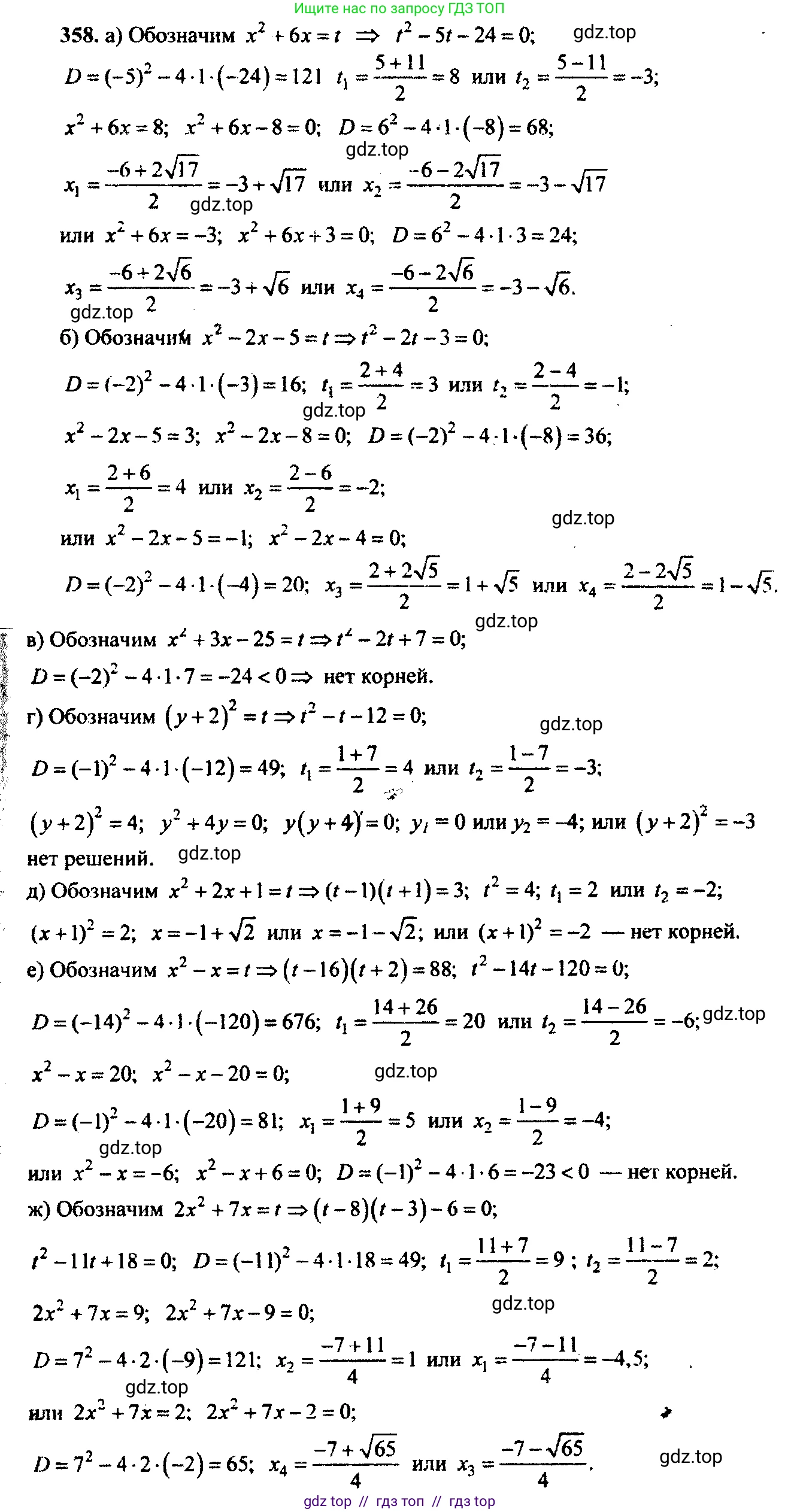
358. Решите уравнение, используя введение новой переменной:
а) $(x^2 + 6x)^2 - 5(x^2 + 6x) = 24;$
б) $(x^2 - 2x - 5)^2 - 2(x^2 - 2x - 5) = 3;$
в) $(x^2 + 3x - 25)^2 - 2(x^2 + 3x - 25) = -7;$
г) $(y + 2)^4 - (y + 2)^2 = 12;$
д) $(x^2 + 2x)(x^2 + 2x + 2) = 3;$
е) $(x^2 - x - 16)(x^2 - x + 2) = 88;$
ж) $(2x^2 + 7x - 8)(2x^2 + 7x - 3) - 6 = 0.$
Решение 1. №358 (с. 104)







Решение 2. №358 (с. 104)




Решение 3. №358 (с. 104)

Решение 4. №358 (с. 104)

Решение 5. №358 (с. 104)

Решение 7. №358 (с. 104)



Решение 8. №358 (с. 104)
а)
Дано уравнение $(x^2 + 6x)^2 - 5(x^2 + 6x) = 24$.
Введем новую переменную $t = x^2 + 6x$. Исходное уравнение примет вид квадратного уравнения относительно $t$:
$t^2 - 5t = 24$
$t^2 - 5t - 24 = 0$
Найдем корни этого уравнения. Дискриминант $D = b^2 - 4ac = (-5)^2 - 4 \cdot 1 \cdot (-24) = 25 + 96 = 121 = 11^2$.
Корни уравнения для $t$:
$t_1 = \frac{-(-5) + 11}{2 \cdot 1} = \frac{16}{2} = 8$
$t_2 = \frac{-(-5) - 11}{2 \cdot 1} = \frac{-6}{2} = -3$
Теперь выполним обратную замену для каждого найденного значения $t$.
1) При $t = 8$ получаем уравнение: $x^2 + 6x = 8$, или $x^2 + 6x - 8 = 0$.
Дискриминант $D_1 = 6^2 - 4 \cdot 1 \cdot (-8) = 36 + 32 = 68$. Корни: $x_{1,2} = \frac{-6 \pm \sqrt{68}}{2} = \frac{-6 \pm 2\sqrt{17}}{2} = -3 \pm \sqrt{17}$.
2) При $t = -3$ получаем уравнение: $x^2 + 6x = -3$, или $x^2 + 6x + 3 = 0$.
Дискриминант $D_2 = 6^2 - 4 \cdot 1 \cdot 3 = 36 - 12 = 24$. Корни: $x_{3,4} = \frac{-6 \pm \sqrt{24}}{2} = \frac{-6 \pm 2\sqrt{6}}{2} = -3 \pm \sqrt{6}$.
Ответ: $-3 \pm \sqrt{17}; -3 \pm \sqrt{6}$.
б)
Дано уравнение $(x^2 - 2x - 5)^2 - 2(x^2 - 2x - 5) = 3$.
Пусть $t = x^2 - 2x - 5$. Уравнение преобразуется к виду:
$t^2 - 2t = 3$
$t^2 - 2t - 3 = 0$
По теореме Виета, корни этого уравнения $t_1 = 3$ и $t_2 = -1$.
Выполним обратную замену.
1) При $t = 3$: $x^2 - 2x - 5 = 3$, или $x^2 - 2x - 8 = 0$.
По теореме Виета, корни этого уравнения $x_1 = 4$ и $x_2 = -2$.
2) При $t = -1$: $x^2 - 2x - 5 = -1$, или $x^2 - 2x - 4 = 0$.
Дискриминант $D = (-2)^2 - 4 \cdot 1 \cdot (-4) = 4 + 16 = 20$. Корни: $x_{3,4} = \frac{2 \pm \sqrt{20}}{2} = \frac{2 \pm 2\sqrt{5}}{2} = 1 \pm \sqrt{5}$.
Ответ: $4; -2; 1 \pm \sqrt{5}$.
в)
Дано уравнение $(x^2 + 3x - 25)^2 - 2(x^2 + 3x - 25) = -7$.
Введем замену $t = x^2 + 3x - 25$. Тогда уравнение можно записать как:
$t^2 - 2t = -7$
$t^2 - 2t + 7 = 0$
Найдем дискриминант этого квадратного уравнения:
$D = (-2)^2 - 4 \cdot 1 \cdot 7 = 4 - 28 = -24$.
Так как дискриминант отрицательный ($D < 0$), уравнение для $t$ не имеет действительных корней. Следовательно, и исходное уравнение не имеет действительных корней.
Ответ: действительных корней нет.
г)
Дано уравнение $(y + 2)^4 - (y + 2)^2 = 12$.
Пусть $t = (y + 2)^2$. Так как квадрат любого действительного числа неотрицателен, то $t \ge 0$.
Уравнение примет вид:
$t^2 - t = 12$
$t^2 - t - 12 = 0$
По теореме Виета, корни этого уравнения $t_1 = 4$ и $t_2 = -3$.
Проверим условие $t \ge 0$. Корень $t_2 = -3$ не удовлетворяет этому условию, поэтому он является посторонним. Рассматриваем только $t = 4$.
Выполним обратную замену: $(y + 2)^2 = 4$.
Отсюда следует, что $y + 2 = 2$ или $y + 2 = -2$.
1) $y + 2 = 2 \implies y_1 = 0$.
2) $y + 2 = -2 \implies y_2 = -4$.
Ответ: $0; -4$.
д)
Дано уравнение $(x^2 + 2x)(x^2 + 2x + 2) = 3$.
Введем новую переменную $t = x^2 + 2x$. Тогда $x^2 + 2x + 2 = t + 2$.
Уравнение принимает вид:
$t(t + 2) = 3$
$t^2 + 2t - 3 = 0$
По теореме Виета, корни этого уравнения $t_1 = 1$ и $t_2 = -3$.
Выполним обратную замену.
1) При $t = 1$: $x^2 + 2x = 1$, или $x^2 + 2x - 1 = 0$.
Дискриминант $D = 2^2 - 4 \cdot 1 \cdot (-1) = 8$. Корни: $x_{1,2} = \frac{-2 \pm \sqrt{8}}{2} = \frac{-2 \pm 2\sqrt{2}}{2} = -1 \pm \sqrt{2}$.
2) При $t = -3$: $x^2 + 2x = -3$, или $x^2 + 2x + 3 = 0$.
Дискриминант $D = 2^2 - 4 \cdot 1 \cdot 3 = 4 - 12 = -8$. Так как $D < 0$, это уравнение не имеет действительных корней.
Ответ: $-1 \pm \sqrt{2}$.
е)
Дано уравнение $(x^2 - x - 16)(x^2 - x + 2) = 88$.
Пусть $t = x^2 - x$. Тогда уравнение можно переписать в виде:
$(t - 16)(t + 2) = 88$
Раскроем скобки: $t^2 + 2t - 16t - 32 = 88$.
$t^2 - 14t - 120 = 0$
Дискриминант $D = (-14)^2 - 4 \cdot 1 \cdot (-120) = 196 + 480 = 676 = 26^2$.
Корни для $t$: $t_1 = \frac{14 + 26}{2} = 20$, $t_2 = \frac{14 - 26}{2} = -6$.
Выполним обратную замену.
1) При $t = 20$: $x^2 - x = 20$, или $x^2 - x - 20 = 0$.
По теореме Виета, корни этого уравнения $x_1 = 5$ и $x_2 = -4$.
2) При $t = -6$: $x^2 - x = -6$, или $x^2 - x + 6 = 0$.
Дискриминант $D = (-1)^2 - 4 \cdot 1 \cdot 6 = 1 - 24 = -23$. Так как $D < 0$, это уравнение не имеет действительных корней.
Ответ: $5; -4$.
ж)
Дано уравнение $(2x^2 + 7x - 8)(2x^2 + 7x - 3) - 6 = 0$.
Введем замену $t = 2x^2 + 7x$. Уравнение примет вид:
$(t - 8)(t - 3) - 6 = 0$
Раскроем скобки: $t^2 - 3t - 8t + 24 - 6 = 0$.
$t^2 - 11t + 18 = 0$
По теореме Виета, корни этого уравнения $t_1 = 9$ и $t_2 = 2$.
Выполним обратную замену.
1) При $t = 9$: $2x^2 + 7x = 9$, или $2x^2 + 7x - 9 = 0$.
Дискриминант $D = 7^2 - 4 \cdot 2 \cdot (-9) = 49 + 72 = 121 = 11^2$.
Корни: $x_1 = \frac{-7 + 11}{4} = 1$, $x_2 = \frac{-7 - 11}{4} = -\frac{18}{4} = -4.5$.
2) При $t = 2$: $2x^2 + 7x = 2$, или $2x^2 + 7x - 2 = 0$.
Дискриминант $D = 7^2 - 4 \cdot 2 \cdot (-2) = 49 + 16 = 65$.
Корни: $x_{3,4} = \frac{-7 \pm \sqrt{65}}{4}$.
Ответ: $1; -4.5; \frac{-7 \pm \sqrt{65}}{4}$.
Другие задания:
Помогло решение? Оставьте отзыв в комментариях ниже.
Мы подготовили для вас ответ c подробным объяснением домашего задания по алгебре за 9 класс, для упражнения номер 358 расположенного на странице 104 к учебнику 2014 - 2024 года издания для учащихся школ и гимназий.
Теперь на нашем сайте ГДЗ.ТОП вы всегда легко и бесплатно найдёте условие с правильным ответом на вопрос «Как решить ДЗ» и «Как сделать» задание по алгебре к упражнению №358 (с. 104), авторов: Макарычев (Юрий Николаевич), Миндюк (Нора Григорьевна), Нешков (Константин Иванович), Суворова (Светлана Борисовна), ФГОС (старый) учебного пособия издательства Просвещение.