Номер 361, страница 104 - гдз по алгебре 9 класс учебник Макарычев, Миндюк

Авторы: Макарычев Ю. Н., Миндюк Н. Г., Нешков К. И., Суворова С. Б.
Тип: Учебник
Издательство: Просвещение
Год издания: 2014 - 2024
Цвет обложки:
ISBN: 978-5-09-0779-15
Допущено Министерством просвещения Российской Федерации
Популярные ГДЗ в 9 классе
К параграфу 5. Дополнительные упражнения к главе 2. Глава 2. Уравнения и неравенства с одной переменной - номер 361, страница 104.
№361 (с. 104)
Условие. №361 (с. 104)
скриншот условия

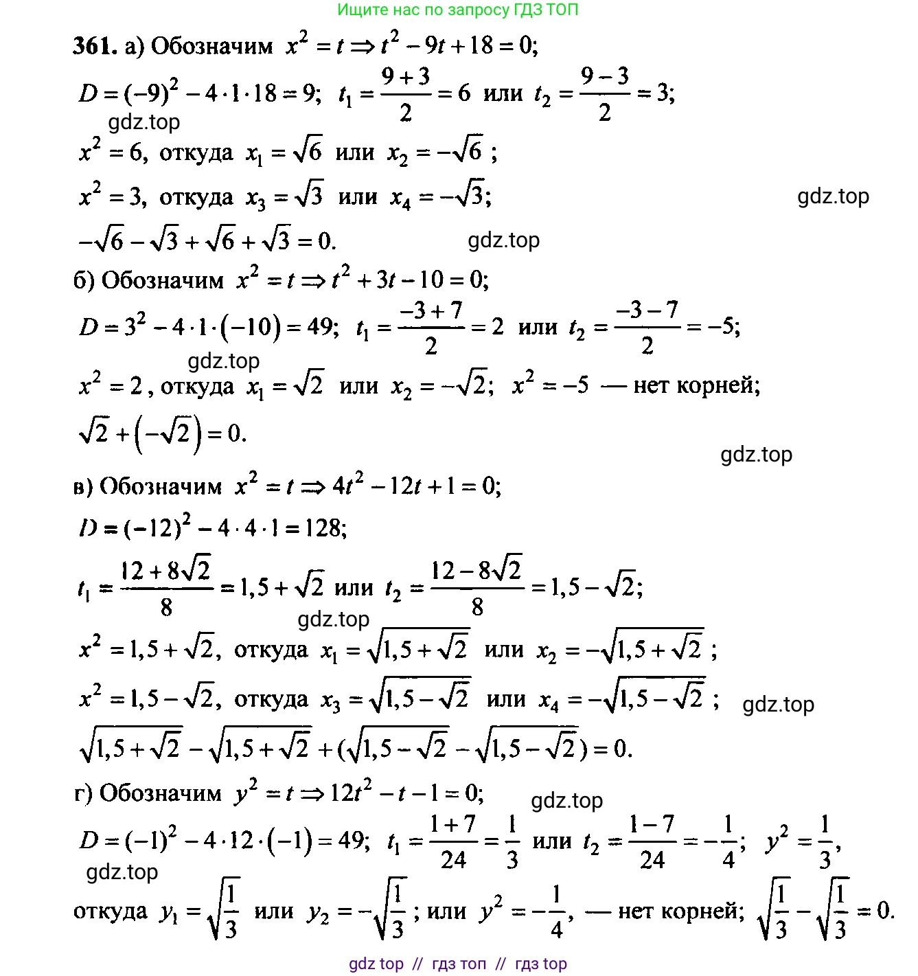
361. Найдите сумму корней биквадратного уравнения:
а) $x^4 - 9x^2 + 18 = 0$;
б) $x^4 + 3x^2 - 10 = 0$;
в) $4x^4 - 12x^2 + 1 = 0$;
г) $12y^4 - y^2 - 1 = 0$.
Решение 1. №361 (с. 104)




Решение 2. №361 (с. 104)


Решение 3. №361 (с. 104)

Решение 4. №361 (с. 104)

Решение 5. №361 (с. 104)

Решение 7. №361 (с. 104)

Решение 8. №361 (с. 104)
Для решения биквадратных уравнений вида $ax^4 + bx^2 + c = 0$ используется метод замены переменной. Пусть $t = x^2$, где $t \ge 0$. Тогда уравнение сводится к квадратному $at^2 + bt + c = 0$.
Важным свойством таких уравнений является то, что если $x_0$ является корнем, то и $-x_0$ также является корнем, так как $(-x_0)^4 = x_0^4$ и $(-x_0)^2 = x_0^2$. Поэтому, если у уравнения есть действительные корни и они не равны нулю (нулевой корень возможен только если свободный член $c=0$), то они всегда образуют пары противоположных по знаку чисел $(x_k, -x_k)$. Сумма каждой такой пары равна нулю, а значит и общая сумма всех действительных корней будет равна нулю. Во всех представленных задачах $c \ne 0$, поэтому корень $x=0$ отсутствует.
Проверим это, решив каждое уравнение подробно.
а) $x^4 - 9x^2 + 18 = 0$
Данное уравнение является биквадратным. Для его решения введем новую переменную.
Пусть $t = x^2$. Поскольку $x^2 \ge 0$ для любого действительного числа $x$, то на $t$ накладывается ограничение: $t \ge 0$.
Заменив $x^2$ на $t$ и $x^4$ на $t^2$, получим квадратное уравнение относительно $t$:
$t^2 - 9t + 18 = 0$
Найдем корни этого квадратного уравнения. По теореме Виета, сумма корней $t_1 + t_2 = 9$, а их произведение $t_1 \cdot t_2 = 18$. Отсюда легко находятся корни: $t_1 = 3$ и $t_2 = 6$.
Оба полученных значения для $t$ положительны, следовательно, удовлетворяют условию $t \ge 0$.
Теперь выполним обратную замену, чтобы найти корни исходного уравнения.
1. При $t = 3$, имеем $x^2 = 3$, откуда получаем два корня: $x_1 = \sqrt{3}$ и $x_2 = -\sqrt{3}$.
2. При $t = 6$, имеем $x^2 = 6$, откуда получаем еще два корня: $x_3 = \sqrt{6}$ и $x_4 = -\sqrt{6}$.
Таким образом, биквадратное уравнение имеет четыре действительных корня: $\sqrt{3}, -\sqrt{3}, \sqrt{6}, -\sqrt{6}$.
Сумма этих корней равна:
$\sqrt{3} + (-\sqrt{3}) + \sqrt{6} + (-\sqrt{6}) = 0 + 0 = 0$.
Ответ: 0.
б) $x^4 + 3x^2 - 10 = 0$
Это биквадратное уравнение. Сделаем замену $t = x^2$, где $t \ge 0$.
Получим квадратное уравнение: $t^2 + 3t - 10 = 0$.
Решим его с помощью дискриминанта:
$D = b^2 - 4ac = 3^2 - 4 \cdot 1 \cdot (-10) = 9 + 40 = 49 = 7^2$.
$t = \frac{-b \pm \sqrt{D}}{2a} = \frac{-3 \pm 7}{2}$.
Корни для $t$:
$t_1 = \frac{-3 + 7}{2} = \frac{4}{2} = 2$.
$t_2 = \frac{-3 - 7}{2} = \frac{-10}{2} = -5$.
Проверим условие $t \ge 0$.
$t_1 = 2$ удовлетворяет условию.
$t_2 = -5$ не удовлетворяет условию, поэтому этот корень не дает действительных решений для $x$ (уравнение $x^2=-5$ не имеет действительных корней).
Выполним обратную замену для $t_1=2$:
$x^2 = 2$, откуда $x_{1,2} = \pm\sqrt{2}$.
Исходное уравнение имеет два действительных корня: $\sqrt{2}$ и $-\sqrt{2}$.
Сумма корней равна:
$\sqrt{2} + (-\sqrt{2}) = 0$.
Ответ: 0.
в) $4x^4 - 12x^2 + 1 = 0$
Это биквадратное уравнение. Сделаем замену $t = x^2$, где $t \ge 0$.
Получим квадратное уравнение: $4t^2 - 12t + 1 = 0$.
Решим его с помощью дискриминанта:
$D = (-12)^2 - 4 \cdot 4 \cdot 1 = 144 - 16 = 128$.
$t = \frac{-(-12) \pm \sqrt{128}}{2 \cdot 4} = \frac{12 \pm \sqrt{64 \cdot 2}}{8} = \frac{12 \pm 8\sqrt{2}}{8} = \frac{3 \pm 2\sqrt{2}}{2}$.
Корни для $t$:
$t_1 = \frac{3 + 2\sqrt{2}}{2}$ и $t_2 = \frac{3 - 2\sqrt{2}}{2}$.
Проверим условие $t \ge 0$.
$t_1 = \frac{3 + 2\sqrt{2}}{2}$ очевидно положителен.
Для $t_2 = \frac{3 - 2\sqrt{2}}{2}$ сравним 3 и $2\sqrt{2}$. Так как $3^2=9$ и $(2\sqrt{2})^2=8$, то $9>8$, значит $3 > 2\sqrt{2}$, и $t_2$ также положителен. Оба корня удовлетворяют условию.
Выполним обратную замену:
1. $x^2 = \frac{3 + 2\sqrt{2}}{2}$, откуда $x_{1,2} = \pm\sqrt{\frac{3 + 2\sqrt{2}}{2}}$.
2. $x^2 = \frac{3 - 2\sqrt{2}}{2}$, откуда $x_{3,4} = \pm\sqrt{\frac{3 - 2\sqrt{2}}{2}}$.
Уравнение имеет четыре действительных корня, которые являются попарно противоположными числами.
Сумма корней равна:
$\left(\sqrt{\frac{3 + 2\sqrt{2}}{2}}\right) + \left(-\sqrt{\frac{3 + 2\sqrt{2}}{2}}\right) + \left(\sqrt{\frac{3 - 2\sqrt{2}}{2}}\right) + \left(-\sqrt{\frac{3 - 2\sqrt{2}}{2}}\right) = 0 + 0 = 0$.
Ответ: 0.
г) $12y^4 - y^2 - 1 = 0$
Это биквадратное уравнение относительно переменной $y$. Сделаем замену $t = y^2$, где $t \ge 0$.
Получим квадратное уравнение: $12t^2 - t - 1 = 0$.
Решим его с помощью дискриминанта:
$D = (-1)^2 - 4 \cdot 12 \cdot (-1) = 1 + 48 = 49 = 7^2$.
$t = \frac{-(-1) \pm \sqrt{49}}{2 \cdot 12} = \frac{1 \pm 7}{24}$.
Корни для $t$:
$t_1 = \frac{1 + 7}{24} = \frac{8}{24} = \frac{1}{3}$.
$t_2 = \frac{1 - 7}{24} = \frac{-6}{24} = -\frac{1}{4}$.
Проверим условие $t \ge 0$.
$t_1 = \frac{1}{3}$ удовлетворяет условию.
$t_2 = -\frac{1}{4}$ не удовлетворяет условию, поэтому этот корень отбрасываем.
Выполним обратную замену для $t_1=\frac{1}{3}$:
$y^2 = \frac{1}{3}$, откуда $y_{1,2} = \pm\sqrt{\frac{1}{3}} = \pm\frac{1}{\sqrt{3}}$.
Исходное уравнение имеет два действительных корня: $\frac{1}{\sqrt{3}}$ и $-\frac{1}{\sqrt{3}}$.
Сумма корней равна:
$\frac{1}{\sqrt{3}} + \left(-\frac{1}{\sqrt{3}}\right) = 0$.
Ответ: 0.
Другие задания:
Помогло решение? Оставьте отзыв в комментариях ниже.
Мы подготовили для вас ответ c подробным объяснением домашего задания по алгебре за 9 класс, для упражнения номер 361 расположенного на странице 104 к учебнику 2014 - 2024 года издания для учащихся школ и гимназий.
Теперь на нашем сайте ГДЗ.ТОП вы всегда легко и бесплатно найдёте условие с правильным ответом на вопрос «Как решить ДЗ» и «Как сделать» задание по алгебре к упражнению №361 (с. 104), авторов: Макарычев (Юрий Николаевич), Миндюк (Нора Григорьевна), Нешков (Константин Иванович), Суворова (Светлана Борисовна), ФГОС (старый) учебного пособия издательства Просвещение.