Номер 575, страница 151 - гдз по алгебре 9 класс учебник Макарычев, Миндюк

Авторы: Макарычев Ю. Н., Миндюк Н. Г., Нешков К. И., Суворова С. Б.
Тип: Учебник
Издательство: Просвещение
Год издания: 2014 - 2024
Цвет обложки:
ISBN: 978-5-09-0779-15
Допущено Министерством просвещения Российской Федерации
Популярные ГДЗ в 9 классе
25. Определение арифметической прогрессии. Формула n-го члена арифметической прогрессии. § 9. Арифметическая прогрессия. Глава 4. Арифметическая и геометрическая прогрессии - номер 575, страница 151.
№575 (с. 151)
Условие. №575 (с. 151)
скриншот условия

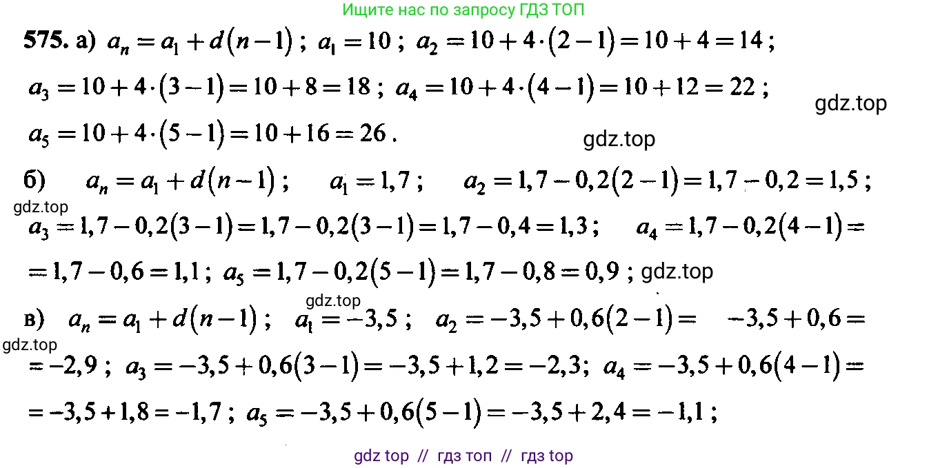
575. Выпишите первые пять членов арифметической прогрессии $(a_n)$, если:
а) $a_1 = 10, d = 4;$
б) $a_1 = 30, d = -10;$
в) $a_1 = 1,7, d = -0,2;$
г) $a_1 = -3,5, d = 0,6.$
Решение 1. №575 (с. 151)




Решение 2. №575 (с. 151)

Решение 3. №575 (с. 151)

Решение 4. №575 (с. 151)

Решение 5. №575 (с. 151)

Решение 7. №575 (с. 151)

Решение 8. №575 (с. 151)
Арифметическая прогрессия ($a_n$) — это числовая последовательность, в которой каждый следующий член, начиная со второго, получается прибавлением к предыдущему члену одного и того же числа $d$. Это число $d$ называется разностью арифметической прогрессии.
Для нахождения любого члена прогрессии используется формула: $a_n = a_1 + (n-1)d$, где $a_1$ — первый член, а $d$ — разность.
Чтобы найти следующий член, зная предыдущий, можно использовать рекуррентную формулу: $a_{n+1} = a_n + d$. Мы будем использовать эту формулу для последовательного нахождения первых пяти членов для каждого случая.
а) Дано: $a_1 = 10$, $d = 4$.
Первый член уже известен: $a_1 = 10$.
Второй член: $a_2 = a_1 + d = 10 + 4 = 14$.
Третий член: $a_3 = a_2 + d = 14 + 4 = 18$.
Четвертый член: $a_4 = a_3 + d = 18 + 4 = 22$.
Пятый член: $a_5 = a_4 + d = 22 + 4 = 26$.
Первые пять членов прогрессии: 10, 14, 18, 22, 26.
Ответ: 10, 14, 18, 22, 26.
б) Дано: $a_1 = 30$, $d = -10$.
Первый член: $a_1 = 30$.
Второй член: $a_2 = a_1 + d = 30 + (-10) = 20$.
Третий член: $a_3 = a_2 + d = 20 + (-10) = 10$.
Четвертый член: $a_4 = a_3 + d = 10 + (-10) = 0$.
Пятый член: $a_5 = a_4 + d = 0 + (-10) = -10$.
Первые пять членов прогрессии: 30, 20, 10, 0, -10.
Ответ: 30, 20, 10, 0, -10.
в) Дано: $a_1 = 1,7$, $d = -0,2$.
Первый член: $a_1 = 1,7$.
Второй член: $a_2 = a_1 + d = 1,7 + (-0,2) = 1,5$.
Третий член: $a_3 = a_2 + d = 1,5 + (-0,2) = 1,3$.
Четвертый член: $a_4 = a_3 + d = 1,3 + (-0,2) = 1,1$.
Пятый член: $a_5 = a_4 + d = 1,1 + (-0,2) = 0,9$.
Первые пять членов прогрессии: 1,7; 1,5; 1,3; 1,1; 0,9.
Ответ: 1,7; 1,5; 1,3; 1,1; 0,9.
г) Дано: $a_1 = -3,5$, $d = 0,6$.
Первый член: $a_1 = -3,5$.
Второй член: $a_2 = a_1 + d = -3,5 + 0,6 = -2,9$.
Третий член: $a_3 = a_2 + d = -2,9 + 0,6 = -2,3$.
Четвертый член: $a_4 = a_3 + d = -2,3 + 0,6 = -1,7$.
Пятый член: $a_5 = a_4 + d = -1,7 + 0,6 = -1,1$.
Первые пять членов прогрессии: -3,5; -2,9; -2,3; -1,7; -1,1.
Ответ: -3,5; -2,9; -2,3; -1,7; -1,1.
Другие задания:
Помогло решение? Оставьте отзыв в комментариях ниже.
Мы подготовили для вас ответ c подробным объяснением домашего задания по алгебре за 9 класс, для упражнения номер 575 расположенного на странице 151 к учебнику 2014 - 2024 года издания для учащихся школ и гимназий.
Теперь на нашем сайте ГДЗ.ТОП вы всегда легко и бесплатно найдёте условие с правильным ответом на вопрос «Как решить ДЗ» и «Как сделать» задание по алгебре к упражнению №575 (с. 151), авторов: Макарычев (Юрий Николаевич), Миндюк (Нора Григорьевна), Нешков (Константин Иванович), Суворова (Светлана Борисовна), ФГОС (старый) учебного пособия издательства Просвещение.