Номер 670, страница 176 - гдз по алгебре 9 класс учебник Макарычев, Миндюк

Авторы: Макарычев Ю. Н., Миндюк Н. Г., Нешков К. И., Суворова С. Б.
Тип: Учебник
Издательство: Просвещение
Год издания: 2014 - 2024
Цвет обложки:
ISBN: 978-5-09-0779-15
Допущено Министерством просвещения Российской Федерации
Популярные ГДЗ в 9 классе
К параграфу 9. Дополнительные упражнения к главе 4. Глава 4. Арифметическая и геометрическая прогрессии - номер 670, страница 176.
№670 (с. 176)
Условие. №670 (с. 176)
скриншот условия

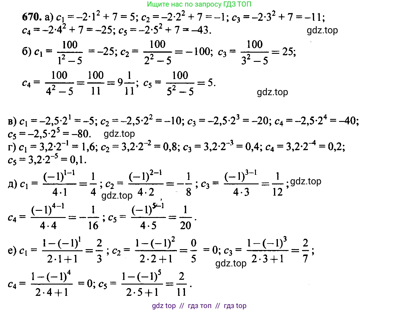
670. Вычислите первые пять членов последовательности ($c_n$), заданной формулой:
а) $c_n = -2n^2 + 7$;
б) $c_n = \frac{100}{n^2 - 5}$;
в) $c_n = -2.5 \cdot 2^n$;
г) $c_n = 3.2 \cdot 2^{-n}$;
д) $c_n = \frac{(-1)^{n-1}}{4n}$;
е) $c_n = \frac{1 - (-1)^n}{2n + 1}$.
Решение 1. №670 (с. 176)






Решение 2. №670 (с. 176)


Решение 3. №670 (с. 176)

Решение 4. №670 (с. 176)

Решение 5. №670 (с. 176)

Решение 7. №670 (с. 176)


Решение 8. №670 (с. 176)
а) Для последовательности, заданной формулой $c_n = -2n^2 + 7$, найдем первые пять членов, подставляя значения $n$ от 1 до 5.
При $n=1$: $c_1 = -2 \cdot 1^2 + 7 = -2 \cdot 1 + 7 = -2 + 7 = 5$.
При $n=2$: $c_2 = -2 \cdot 2^2 + 7 = -2 \cdot 4 + 7 = -8 + 7 = -1$.
При $n=3$: $c_3 = -2 \cdot 3^2 + 7 = -2 \cdot 9 + 7 = -18 + 7 = -11$.
При $n=4$: $c_4 = -2 \cdot 4^2 + 7 = -2 \cdot 16 + 7 = -32 + 7 = -25$.
При $n=5$: $c_5 = -2 \cdot 5^2 + 7 = -2 \cdot 25 + 7 = -50 + 7 = -43$.
Ответ: 5; -1; -11; -25; -43.
б) Для последовательности, заданной формулой $c_n = \frac{100}{n^2 - 5}$, найдем первые пять членов.
При $n=1$: $c_1 = \frac{100}{1^2 - 5} = \frac{100}{1 - 5} = \frac{100}{-4} = -25$.
При $n=2$: $c_2 = \frac{100}{2^2 - 5} = \frac{100}{4 - 5} = \frac{100}{-1} = -100$.
При $n=3$: $c_3 = \frac{100}{3^2 - 5} = \frac{100}{9 - 5} = \frac{100}{4} = 25$.
При $n=4$: $c_4 = \frac{100}{4^2 - 5} = \frac{100}{16 - 5} = \frac{100}{11}$.
При $n=5$: $c_5 = \frac{100}{5^2 - 5} = \frac{100}{25 - 5} = \frac{100}{20} = 5$.
Ответ: -25; -100; 25; $\frac{100}{11}$; 5.
в) Для последовательности, заданной формулой $c_n = -2,5 \cdot 2^n$, найдем первые пять членов.
При $n=1$: $c_1 = -2,5 \cdot 2^1 = -2,5 \cdot 2 = -5$.
При $n=2$: $c_2 = -2,5 \cdot 2^2 = -2,5 \cdot 4 = -10$.
При $n=3$: $c_3 = -2,5 \cdot 2^3 = -2,5 \cdot 8 = -20$.
При $n=4$: $c_4 = -2,5 \cdot 2^4 = -2,5 \cdot 16 = -40$.
При $n=5$: $c_5 = -2,5 \cdot 2^5 = -2,5 \cdot 32 = -80$.
Ответ: -5; -10; -20; -40; -80.
г) Для последовательности, заданной формулой $c_n = 3,2 \cdot 2^{-n}$, найдем первые пять членов.
При $n=1$: $c_1 = 3,2 \cdot 2^{-1} = 3,2 \cdot \frac{1}{2} = 1,6$.
При $n=2$: $c_2 = 3,2 \cdot 2^{-2} = 3,2 \cdot \frac{1}{4} = 0,8$.
При $n=3$: $c_3 = 3,2 \cdot 2^{-3} = 3,2 \cdot \frac{1}{8} = 0,4$.
При $n=4$: $c_4 = 3,2 \cdot 2^{-4} = 3,2 \cdot \frac{1}{16} = 0,2$.
При $n=5$: $c_5 = 3,2 \cdot 2^{-5} = 3,2 \cdot \frac{1}{32} = 0,1$.
Ответ: 1,6; 0,8; 0,4; 0,2; 0,1.
д) Для последовательности, заданной формулой $c_n = \frac{(-1)^{n-1}}{4n}$, найдем первые пять членов.
При $n=1$: $c_1 = \frac{(-1)^{1-1}}{4 \cdot 1} = \frac{(-1)^0}{4} = \frac{1}{4}$.
При $n=2$: $c_2 = \frac{(-1)^{2-1}}{4 \cdot 2} = \frac{(-1)^1}{8} = -\frac{1}{8}$.
При $n=3$: $c_3 = \frac{(-1)^{3-1}}{4 \cdot 3} = \frac{(-1)^2}{12} = \frac{1}{12}$.
При $n=4$: $c_4 = \frac{(-1)^{4-1}}{4 \cdot 4} = \frac{(-1)^3}{16} = -\frac{1}{16}$.
При $n=5$: $c_5 = \frac{(-1)^{5-1}}{4 \cdot 5} = \frac{(-1)^4}{20} = \frac{1}{20}$.
Ответ: $\frac{1}{4}$; $-\frac{1}{8}$; $\frac{1}{12}$; $-\frac{1}{16}$; $\frac{1}{20}$.
е) Для последовательности, заданной формулой $c_n = \frac{1 - (-1)^n}{2n + 1}$, найдем первые пять членов.
При $n=1$: $c_1 = \frac{1 - (-1)^1}{2 \cdot 1 + 1} = \frac{1 - (-1)}{3} = \frac{2}{3}$.
При $n=2$: $c_2 = \frac{1 - (-1)^2}{2 \cdot 2 + 1} = \frac{1 - 1}{5} = \frac{0}{5} = 0$.
При $n=3$: $c_3 = \frac{1 - (-1)^3}{2 \cdot 3 + 1} = \frac{1 - (-1)}{7} = \frac{2}{7}$.
При $n=4$: $c_4 = \frac{1 - (-1)^4}{2 \cdot 4 + 1} = \frac{1 - 1}{9} = \frac{0}{9} = 0$.
При $n=5$: $c_5 = \frac{1 - (-1)^5}{2 \cdot 5 + 1} = \frac{1 - (-1)}{11} = \frac{2}{11}$.
Ответ: $\frac{2}{3}$; 0; $\frac{2}{7}$; 0; $\frac{2}{11}$.
Другие задания:
Помогло решение? Оставьте отзыв в комментариях ниже.
Мы подготовили для вас ответ c подробным объяснением домашего задания по алгебре за 9 класс, для упражнения номер 670 расположенного на странице 176 к учебнику 2014 - 2024 года издания для учащихся школ и гимназий.
Теперь на нашем сайте ГДЗ.ТОП вы всегда легко и бесплатно найдёте условие с правильным ответом на вопрос «Как решить ДЗ» и «Как сделать» задание по алгебре к упражнению №670 (с. 176), авторов: Макарычев (Юрий Николаевич), Миндюк (Нора Григорьевна), Нешков (Константин Иванович), Суворова (Светлана Борисовна), ФГОС (старый) учебного пособия издательства Просвещение.