Номер 5.20, страница 31, часть 2 - гдз по алгебре 9 класс учебник Мордкович, Семенов
 
                                                Авторы: Мордкович А. Г., Семенов П. В.
Тип: Учебник
Издательство: Мнемозина
Год издания: 2019 - 2025
Часть: 2
Цвет обложки:
ISBN: 978-5-04642-4
Допущено Министерством просвещения Российской Федерации
Популярные ГДЗ в 9 классе
Часть 2. Глава 2. Системы уравнений. Параграф 5. Основные понятия - номер 5.20, страница 31.
№5.20 (с. 31)
Условие. №5.20 (с. 31)
скриншот условия
 
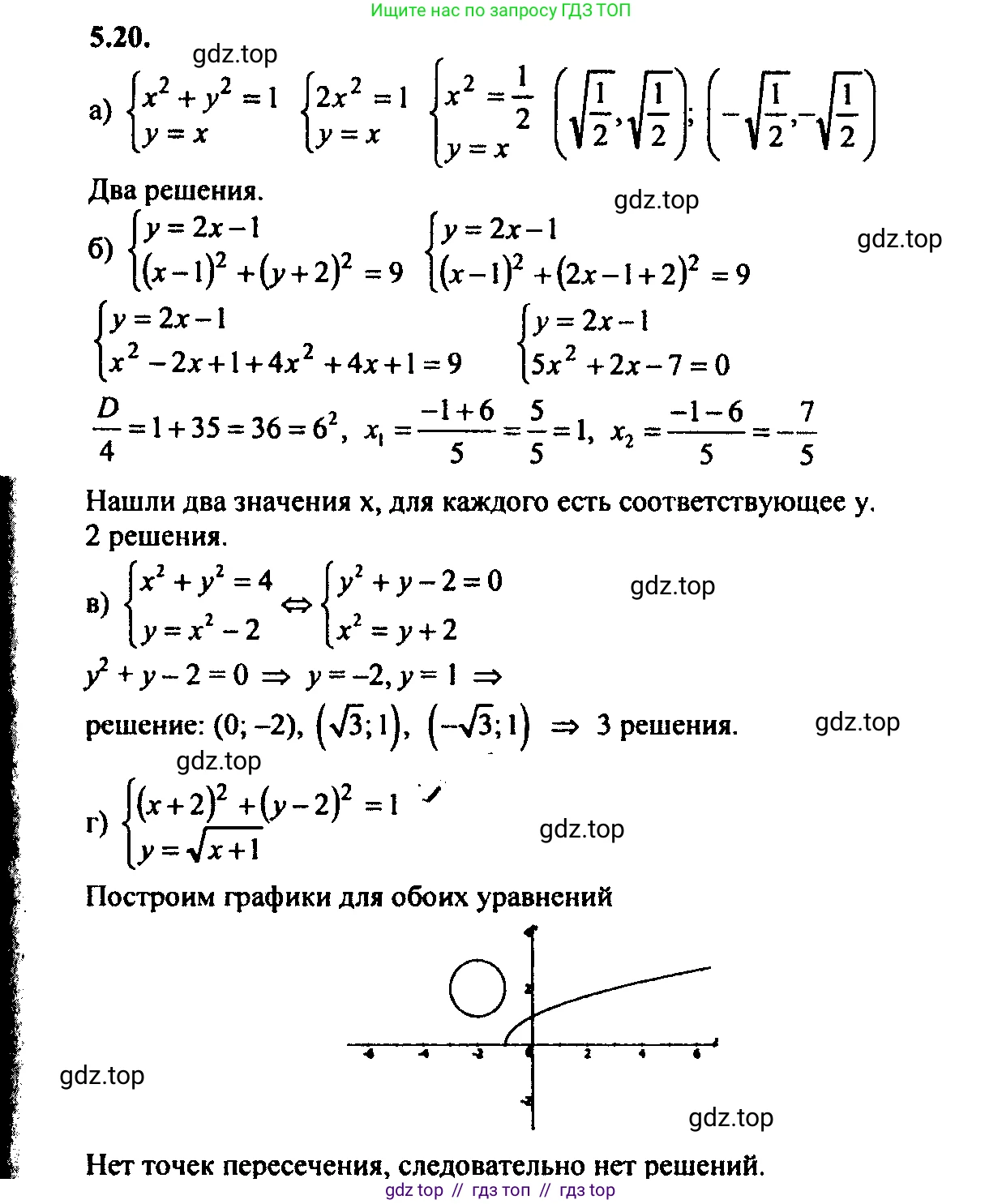
                                5.20 Какая из следующих пар чисел является решением системы уравнений
$\begin{cases} x^2 + y^2 = 1, \\ y - 2x = 1: \end{cases}$
а) (0; 1);
б) (-1; -1);
в) (1; 0);
г) (1; 1)?
Решение 1. №5.20 (с. 31)
 
             
             
             
                            Решение 3. №5.20 (с. 31)
 
                            Решение 4. №5.20 (с. 31)
Для того чтобы определить, какая из предложенных пар чисел является решением системы уравнений, необходимо подставить значения $x$ и $y$ из каждой пары в оба уравнения. Решением является та пара, при подстановке которой оба уравнения превращаются в верные числовые равенства.
Исходная система уравнений:
$$ \begin{cases} x^2 + y^2 = 1 \\ y - 2x = 1 \end{cases} $$
а) (0; 1)
Проверим пару (0; 1), где $x=0$, $y=1$.
Подставляем в первое уравнение: $x^2 + y^2 = 0^2 + 1^2 = 0 + 1 = 1$. Получаем $1 = 1$. Равенство верное.
Подставляем во второе уравнение: $y - 2x = 1 - 2 \cdot 0 = 1 - 0 = 1$. Получаем $1 = 1$. Равенство верное.
Оба равенства верны, следовательно, эта пара является решением системы.
Ответ: пара (0; 1) является решением.
б) (-1; -1)
Проверим пару (-1; -1), где $x=-1$, $y=-1$.
Подставляем в первое уравнение: $x^2 + y^2 = (-1)^2 + (-1)^2 = 1 + 1 = 2$. Получаем $2 = 1$. Равенство неверное.
Поскольку первое уравнение не выполняется, данная пара не является решением системы.
Ответ: пара (-1; -1) не является решением.
в) (1; 0)
Проверим пару (1; 0), где $x=1$, $y=0$.
Подставляем в первое уравнение: $x^2 + y^2 = 1^2 + 0^2 = 1 + 0 = 1$. Получаем $1 = 1$. Равенство верное.
Подставляем во второе уравнение: $y - 2x = 0 - 2 \cdot 1 = -2$. Получаем $-2 = 1$. Равенство неверное.
Поскольку второе уравнение не выполняется, данная пара не является решением системы.
Ответ: пара (1; 0) не является решением.
г) (1; 1)
Проверим пару (1; 1), где $x=1$, $y=1$.
Подставляем в первое уравнение: $x^2 + y^2 = 1^2 + 1^2 = 1 + 1 = 2$. Получаем $2 = 1$. Равенство неверное.
Поскольку первое уравнение не выполняется, данная пара не является решением системы.
Ответ: пара (1; 1) не является решением.
Таким образом, единственной парой чисел из предложенных, которая является решением системы уравнений, является пара под буквой а).
Другие задания:
Помогло решение? Оставьте отзыв в комментариях ниже.
Присоединяйтесь к Телеграм-группе @top_gdz
ПрисоединитьсяМы подготовили для вас ответ c подробным объяснением домашего задания по алгебре за 9 класс, для упражнения номер 5.20 расположенного на странице 31 для 2-й части к учебнику 2019 года издания для учащихся школ и гимназий.
Теперь на нашем сайте ГДЗ.ТОП вы всегда легко и бесплатно найдёте условие с правильным ответом на вопрос «Как решить ДЗ» и «Как сделать» задание по алгебре к упражнению №5.20 (с. 31), авторов: Мордкович (Александр Григорьевич), Семенов (Павел Владимирович), 2-й части учебного пособия издательства Мнемозина.
 
                     
                     
                     
                     
                     
                     
                     
                     
                     
                     
                     
                     
                     
                     
                    