Номер 10.28, страница 69, часть 2 - гдз по алгебре 9 класс учебник Мордкович, Семенов


Авторы: Мордкович А. Г., Семенов П. В.
Тип: Учебник
Издательство: Мнемозина
Год издания: 2019 - 2025
Часть: 2
Цвет обложки:
ISBN: 978-5-04642-4
Допущено Министерством просвещения Российской Федерации
Популярные ГДЗ в 9 классе
§ 10. Свойства функций. Глава 3. Числовые функции. ч. 2 - номер 10.28, страница 69.
№10.28 (с. 69)
Условие. №10.28 (с. 69)
скриншот условия

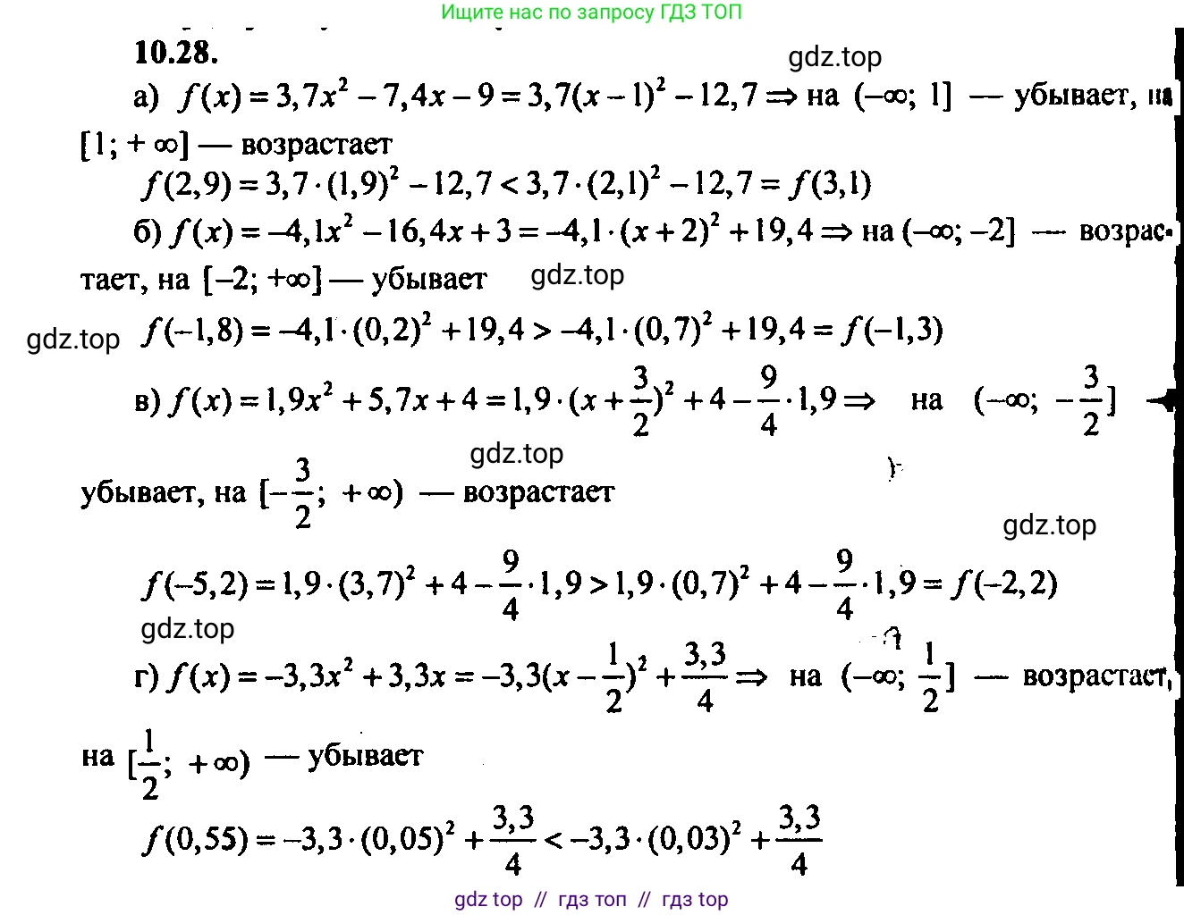
10.28 Найдя промежутки монотонности функции $y = f(x)$, сравните $f(a)$ и $f(b)$, если:
а) $f(x) = 3,7x^2 - 7,4x - 9, a = 2,9, b = 3,1$;
б) $f(x) = -4,1x^2 - 16,4x + 3, a = -1,8, b = -1,3$;
в) $f(x) = 1,9x^2 + 5,7x + 4, a = -5,2, b = -2,2$;
г) $f(x) = -3,3x^2 + 3,3x, a = 0,55, b = 0,53$.
Решение 1. №10.28 (с. 69)




Решение 3. №10.28 (с. 69)

Решение 4. №10.28 (с. 69)
Для решения задачи необходимо для каждой квадратичной функции $y = f(x) = kx^2 + mx + n$ найти координату вершины параболы $x_0 = -\frac{m}{2k}$. Знак коэффициента $k$ определяет направление ветвей параболы и, соответственно, характер монотонности функции.
- Если $k > 0$, ветви параболы направлены вверх. Функция убывает на промежутке $(-\infty, x_0]$ и возрастает на промежутке $[x_0, \infty)$.
- Если $k < 0$, ветви параболы направлены вниз. Функция возрастает на промежутке $(-\infty, x_0]$ и убывает на промежутке $[x_0, \infty)$.
После определения промежутков монотонности можно сравнить значения функции $f(a)$ и $f(b)$, определив, на каком из этих промежутков находятся точки $a$ и $b$.
а) $f(x) = 3,7x^2 - 7,4x - 9$, $a = 2,9$, $b = 3,1$
Это квадратичная функция, коэффициент при $x^2$ равен $k = 3,7$. Так как $k > 0$, ветви параболы направлены вверх.
Найдем абсциссу вершины параболы:
$x_0 = -\frac{-7,4}{2 \cdot 3,7} = \frac{7,4}{7,4} = 1$.
Следовательно, функция $f(x)$ убывает на промежутке $(-\infty, 1]$ и возрастает на промежутке $[1, \infty)$.
Сравним $f(a)$ и $f(b)$. Имеем $a = 2,9$ и $b = 3,1$. Оба эти значения лежат на промежутке $[1, \infty)$, так как $1 < 2,9 < 3,1$. На этом промежутке функция возрастает. Поскольку $a < b$, то и $f(a) < f(b)$.
Ответ: функция убывает на $(-\infty, 1]$, возрастает на $[1, \infty)$; $f(2,9) < f(3,1)$.
б) $f(x) = -4,1x^2 - 16,4x + 3$, $a = -1,8$, $b = -1,3$
Это квадратичная функция, коэффициент при $x^2$ равен $k = -4,1$. Так как $k < 0$, ветви параболы направлены вниз.
Найдем абсциссу вершины параболы:
$x_0 = -\frac{-16,4}{2 \cdot (-4,1)} = -\frac{-16,4}{-8,2} = -2$.
Следовательно, функция $f(x)$ возрастает на промежутке $(-\infty, -2]$ и убывает на промежутке $[-2, \infty)$.
Сравним $f(a)$ и $f(b)$. Имеем $a = -1,8$ и $b = -1,3$. Оба эти значения лежат на промежутке $[-2, \infty)$, так как $-2 < -1,8 < -1,3$. На этом промежутке функция убывает. Поскольку $a < b$, то $f(a) > f(b)$.
Ответ: функция возрастает на $(-\infty, -2]$, убывает на $[-2, \infty)$; $f(-1,8) > f(-1,3)$.
в) $f(x) = 1,9x^2 + 5,7x + 4$, $a = -5,2$, $b = -2,2$
Это квадратичная функция, коэффициент при $x^2$ равен $k = 1,9$. Так как $k > 0$, ветви параболы направлены вверх.
Найдем абсциссу вершины параболы:
$x_0 = -\frac{5,7}{2 \cdot 1,9} = -\frac{5,7}{3,8} = -1,5$.
Следовательно, функция $f(x)$ убывает на промежутке $(-\infty, -1,5]$ и возрастает на промежутке $[-1,5, \infty)$.
Сравним $f(a)$ и $f(b)$. Имеем $a = -5,2$ и $b = -2,2$. Оба эти значения лежат на промежутке $(-\infty, -1,5]$, так как $-5,2 < -2,2 < -1,5$. На этом промежутке функция убывает. Поскольку $a < b$, то $f(a) > f(b)$.
Ответ: функция убывает на $(-\infty, -1,5]$, возрастает на $[-1,5, \infty)$; $f(-5,2) > f(-2,2)$.
г) $f(x) = -3,3x^2 + 3,3x$, $a = 0,55$, $b = 0,53$
Это квадратичная функция, коэффициент при $x^2$ равен $k = -3,3$. Так как $k < 0$, ветви параболы направлены вниз.
Найдем абсциссу вершины параболы:
$x_0 = -\frac{3,3}{2 \cdot (-3,3)} = -\frac{1}{-2} = 0,5$.
Следовательно, функция $f(x)$ возрастает на промежутке $(-\infty, 0,5]$ и убывает на промежутке $[0,5, \infty)$.
Сравним $f(a)$ и $f(b)$. Имеем $a = 0,55$ и $b = 0,53$. Оба эти значения лежат на промежутке $[0,5, \infty)$, так как $0,5 < 0,53 < 0,55$. На этом промежутке функция убывает. В данном случае $b < a$. Поскольку функция убывает, то большему значению аргумента соответствует меньшее значение функции, следовательно $f(b) > f(a)$.
Ответ: функция возрастает на $(-\infty, 0,5]$, убывает на $[0,5, \infty)$; $f(0,55) < f(0,53)$.
Другие задания:
Помогло решение? Оставьте отзыв в комментариях ниже.
Мы подготовили для вас ответ c подробным объяснением домашего задания по алгебре за 9 класс, для упражнения номер 10.28 расположенного на странице 69 для 2-й части к учебнику 2019 года издания для учащихся школ и гимназий.
Теперь на нашем сайте ГДЗ.ТОП вы всегда легко и бесплатно найдёте условие с правильным ответом на вопрос «Как решить ДЗ» и «Как сделать» задание по алгебре к упражнению №10.28 (с. 69), авторов: Мордкович (Александр Григорьевич), Семенов (Павел Владимирович), 2-й части учебного пособия издательства Мнемозина.