Номер 17.29, страница 112, часть 2 - гдз по алгебре 9 класс учебник Мордкович, Семенов


Авторы: Мордкович А. Г., Семенов П. В.
Тип: Учебник
Издательство: Мнемозина
Год издания: 2019 - 2025
Часть: 2
Цвет обложки:
ISBN: 978-5-04642-4
Допущено Министерством просвещения Российской Федерации
Популярные ГДЗ в 9 классе
§ 17. Геометрическая прогрессия. Глава 4. Прогрессии. ч. 2 - номер 17.29, страница 112.
№17.29 (с. 112)
Условие. №17.29 (с. 112)
скриншот условия

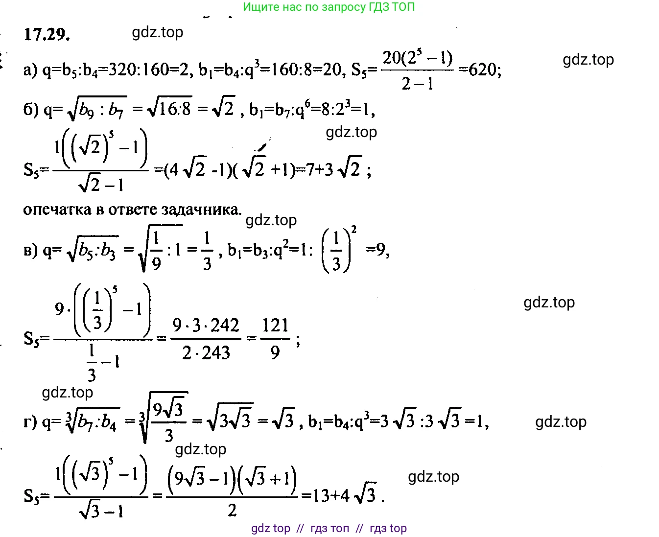
17.29 Найдите $S_5$ для геометрической прогрессии $(b_n)$, если:
а) $b_4 = 160, b_5 = 320$;
б) $b_7 = 8, b_9 = 16 (q < 0)$;
в) $b_3 = 1, b_5 = \frac{1}{9} (q > 0)$;
г) $b_4 = 3\sqrt{3}, b_7 = 27$.
Решение 1. №17.29 (с. 112)




Решение 3. №17.29 (с. 112)

Решение 4. №17.29 (с. 112)
Для нахождения суммы первых пяти членов геометрической прогрессии $S_5$ воспользуемся формулой $S_n = \frac{b_1(q^n - 1)}{q - 1}$, где $b_1$ — первый член прогрессии, а $q$ — её знаменатель. Для каждого случая сначала найдем $b_1$ и $q$.
а) Дано: $b_4 = 160, b_5 = 320$.
1. Найдем знаменатель прогрессии $q$, который равен отношению последующего члена к предыдущему:
$q = \frac{b_5}{b_4} = \frac{320}{160} = 2$.
2. Найдем первый член прогрессии $b_1$, используя формулу n-го члена $b_n = b_1 \cdot q^{n-1}$:
$b_4 = b_1 \cdot q^{4-1} = b_1 \cdot q^3$
$160 = b_1 \cdot 2^3$
$160 = b_1 \cdot 8$
$b_1 = \frac{160}{8} = 20$.
3. Вычислим сумму первых пяти членов $S_5$:
$S_5 = \frac{b_1(q^5 - 1)}{q - 1} = \frac{20(2^5 - 1)}{2 - 1} = \frac{20(32 - 1)}{1} = 20 \cdot 31 = 620$.
Ответ: 620.
б) Дано: $b_7 = 8, b_9 = 16 (q < 0)$.
1. Найдем знаменатель прогрессии $q$. Связь между членами прогрессии: $b_9 = b_7 \cdot q^{9-7} = b_7 \cdot q^2$.
$16 = 8 \cdot q^2$
$q^2 = \frac{16}{8} = 2$
$q = \pm\sqrt{2}$.
По условию $q < 0$, следовательно, выбираем $q = -\sqrt{2}$.
2. Найдем первый член прогрессии $b_1$:
$b_7 = b_1 \cdot q^{7-1} = b_1 \cdot q^6$
$8 = b_1 \cdot (-\sqrt{2})^6$
Поскольку $(-\sqrt{2})^6 = ((\sqrt{2})^2)^3 = 2^3 = 8$, получаем:
$8 = b_1 \cdot 8$
$b_1 = 1$.
3. Вычислим сумму $S_5$:
$S_5 = \frac{b_1(q^5 - 1)}{q - 1} = \frac{1((-\sqrt{2})^5 - 1)}{-\sqrt{2} - 1}$.
Вычислим $(-\sqrt{2})^5 = -(\sqrt{2})^4 \cdot \sqrt{2} = -4\sqrt{2}$.
$S_5 = \frac{-4\sqrt{2} - 1}{-\sqrt{2} - 1} = \frac{-(4\sqrt{2} + 1)}{-(\sqrt{2} + 1)} = \frac{4\sqrt{2} + 1}{\sqrt{2} + 1}$.
Избавимся от иррациональности в знаменателе, умножив числитель и знаменатель на сопряженное выражение $(\sqrt{2} - 1)$:
$S_5 = \frac{(4\sqrt{2} + 1)(\sqrt{2} - 1)}{(\sqrt{2} + 1)(\sqrt{2} - 1)} = \frac{4\sqrt{2} \cdot \sqrt{2} - 4\sqrt{2} \cdot 1 + 1 \cdot \sqrt{2} - 1 \cdot 1}{(\sqrt{2})^2 - 1^2} = \frac{8 - 3\sqrt{2} - 1}{2 - 1} = 7 - 3\sqrt{2}$.
Ответ: $7 - 3\sqrt{2}$.
в) Дано: $b_3 = 1, b_5 = \frac{1}{9} (q > 0)$.
1. Найдем знаменатель прогрессии $q$. Связь между членами: $b_5 = b_3 \cdot q^{5-3} = b_3 \cdot q^2$.
$\frac{1}{9} = 1 \cdot q^2$
$q^2 = \frac{1}{9}$
$q = \pm\sqrt{\frac{1}{9}} = \pm\frac{1}{3}$.
По условию $q > 0$, следовательно, $q = \frac{1}{3}$.
2. Найдем первый член прогрессии $b_1$:
$b_3 = b_1 \cdot q^{3-1} = b_1 \cdot q^2$
$1 = b_1 \cdot (\frac{1}{3})^2 = b_1 \cdot \frac{1}{9}$
$b_1 = 9$.
3. Вычислим сумму $S_5$:
$S_5 = \frac{b_1(q^5 - 1)}{q - 1} = \frac{9((\frac{1}{3})^5 - 1)}{\frac{1}{3} - 1} = \frac{9(\frac{1}{243} - 1)}{-\frac{2}{3}} = \frac{9(\frac{1-243}{243})}{-\frac{2}{3}} = \frac{9(-\frac{242}{243})}{-\frac{2}{3}}$.
Минусы в числителе и знаменателе сокращаются:
$S_5 = \frac{9 \cdot 242 \cdot 3}{243 \cdot 2} = \frac{27 \cdot 242}{243 \cdot 2} = \frac{1 \cdot 242}{9 \cdot 2} = \frac{121}{9}$.
Ответ: $\frac{121}{9}$.
г) Дано: $b_4 = 3\sqrt{3}, b_7 = 27$.
1. Найдем знаменатель прогрессии $q$. Связь между членами: $b_7 = b_4 \cdot q^{7-4} = b_4 \cdot q^3$.
$27 = 3\sqrt{3} \cdot q^3$
$q^3 = \frac{27}{3\sqrt{3}} = \frac{9}{\sqrt{3}} = \frac{9\sqrt{3}}{(\sqrt{3})^2} = 3\sqrt{3}$.
Представим $3\sqrt{3}$ в виде степени: $3\sqrt{3} = (\sqrt{3})^2 \cdot \sqrt{3} = (\sqrt{3})^3$.
$q^3 = (\sqrt{3})^3$, следовательно, $q = \sqrt{3}$.
2. Найдем первый член прогрессии $b_1$:
$b_4 = b_1 \cdot q^3$
$3\sqrt{3} = b_1 \cdot (\sqrt{3})^3$
$3\sqrt{3} = b_1 \cdot 3\sqrt{3}$
$b_1 = 1$.
3. Вычислим сумму $S_5$:
$S_5 = \frac{b_1(q^5 - 1)}{q - 1} = \frac{1((\sqrt{3})^5 - 1)}{\sqrt{3} - 1}$.
Вычислим $(\sqrt{3})^5 = (\sqrt{3})^4 \cdot \sqrt{3} = 9\sqrt{3}$.
$S_5 = \frac{9\sqrt{3} - 1}{\sqrt{3} - 1}$.
Избавимся от иррациональности в знаменателе, умножив на сопряженное выражение $(\sqrt{3} + 1)$:
$S_5 = \frac{(9\sqrt{3} - 1)(\sqrt{3} + 1)}{(\sqrt{3} - 1)(\sqrt{3} + 1)} = \frac{9(\sqrt{3})^2 + 9\sqrt{3} - \sqrt{3} - 1}{(\sqrt{3})^2 - 1^2} = \frac{27 + 8\sqrt{3} - 1}{3 - 1} = \frac{26 + 8\sqrt{3}}{2} = 13 + 4\sqrt{3}$.
Ответ: $13 + 4\sqrt{3}$.
Другие задания:
Помогло решение? Оставьте отзыв в комментариях ниже.
Мы подготовили для вас ответ c подробным объяснением домашего задания по алгебре за 9 класс, для упражнения номер 17.29 расположенного на странице 112 для 2-й части к учебнику 2019 года издания для учащихся школ и гимназий.
Теперь на нашем сайте ГДЗ.ТОП вы всегда легко и бесплатно найдёте условие с правильным ответом на вопрос «Как решить ДЗ» и «Как сделать» задание по алгебре к упражнению №17.29 (с. 112), авторов: Мордкович (Александр Григорьевич), Семенов (Павел Владимирович), 2-й части учебного пособия издательства Мнемозина.