Номер 1036, страница 316 - гдз по алгебре 10-11 класс учебник Алимов, Колягин

Алгебра, 10-11 класс Учебник, авторы: Алимов Шавкат Арифджанович, Колягин Юрий Михайлович, Ткачева Мария Владимировна, Федорова Надежда Евгеньевна, Шабунин Михаил Иванович, издательство Просвещение, Москва, 2014

Авторы: Алимов Ш. А., Колягин Ю. М., Ткачева М. В., Федорова Н. Е., Шабунин М. И.

Тип: Учебник

Издательство: Просвещение

Год издания: 2014 - 2025

Уровень обучения: базовый и углублённый

Цвет обложки: синий, фиолетовый

ISBN: 978-5-09-112136-0

Допущено Министерством просвещения Российской Федерации

Математика: алгебра и начала математического анализа, геометрия

Популярные ГДЗ в 10 классе

Глава 10. Интеграл. Упражнения к главе 10 - номер 1036, страница 316.

№1036 (с. 316)
Условие. №1036 (с. 316)
скриншот условия
Алгебра, 10-11 класс Учебник, авторы: Алимов Шавкат Арифджанович, Колягин Юрий Михайлович, Ткачева Мария Владимировна, Федорова Надежда Евгеньевна, Шабунин Михаил Иванович, издательство Просвещение, Москва, 2014, страница 316, номер 1036, Условие

Вычислить интеграл (1036—1037).

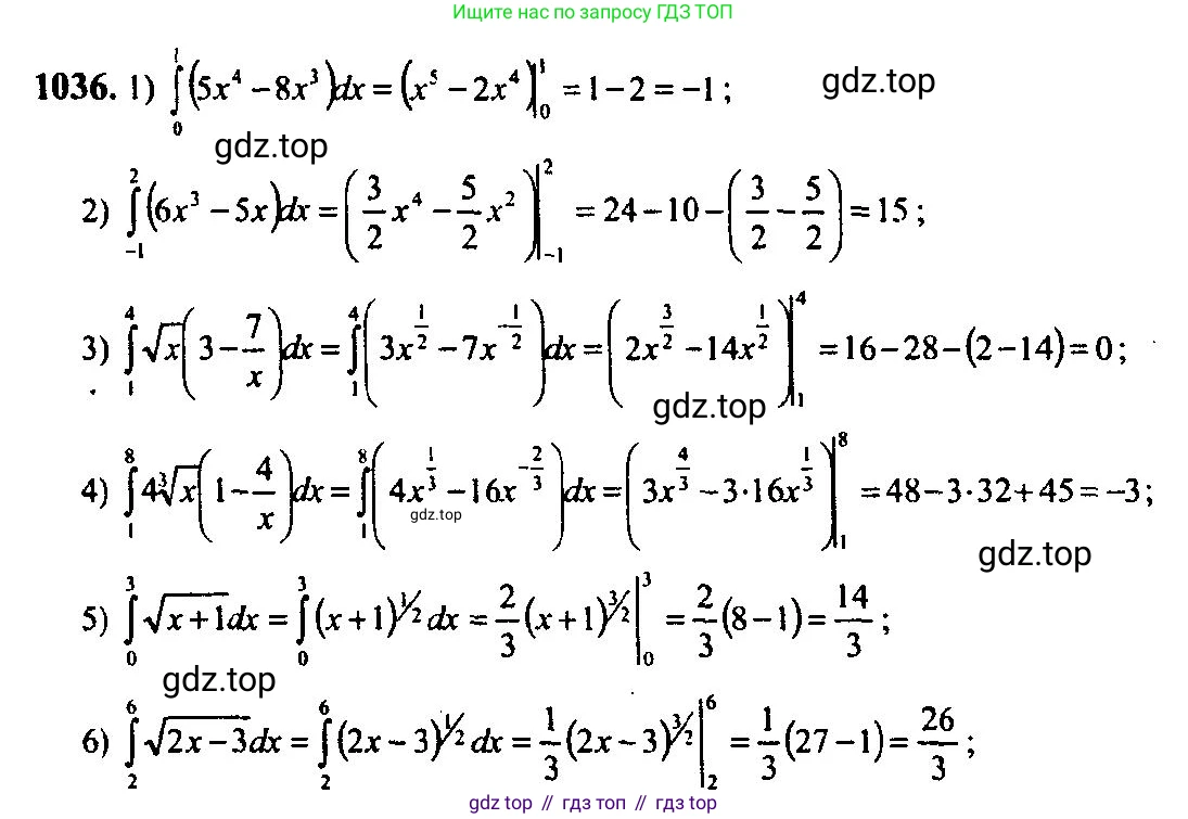
1036 1) $\int_{0}^{1} (5x^4 - 8x^3)dx$

2) $\int_{-1}^{2} (6x^3 - 5x)dx$

3) $\int_{1}^{4} \sqrt{x} \left(3 - \frac{7}{x}\right)dx$

4) $\int_{1}^{8} 4\sqrt[3]{x} \left(1 - \frac{4}{x}\right)dx$

5) $\int_{0}^{3} \sqrt{x+1}dx$

6) $\int_{2}^{6} \sqrt{2x-3}dx$

Решение 1. №1036 (с. 316)
Алгебра, 10-11 класс Учебник, авторы: Алимов Шавкат Арифджанович, Колягин Юрий Михайлович, Ткачева Мария Владимировна, Федорова Надежда Евгеньевна, Шабунин Михаил Иванович, издательство Просвещение, Москва, 2014, страница 316, номер 1036, Решение 1
Алгебра, 10-11 класс Учебник, авторы: Алимов Шавкат Арифджанович, Колягин Юрий Михайлович, Ткачева Мария Владимировна, Федорова Надежда Евгеньевна, Шабунин Михаил Иванович, издательство Просвещение, Москва, 2014, страница 316, номер 1036, Решение 1 (продолжение 2)
Алгебра, 10-11 класс Учебник, авторы: Алимов Шавкат Арифджанович, Колягин Юрий Михайлович, Ткачева Мария Владимировна, Федорова Надежда Евгеньевна, Шабунин Михаил Иванович, издательство Просвещение, Москва, 2014, страница 316, номер 1036, Решение 1 (продолжение 3)
Алгебра, 10-11 класс Учебник, авторы: Алимов Шавкат Арифджанович, Колягин Юрий Михайлович, Ткачева Мария Владимировна, Федорова Надежда Евгеньевна, Шабунин Михаил Иванович, издательство Просвещение, Москва, 2014, страница 316, номер 1036, Решение 1 (продолжение 4)
Алгебра, 10-11 класс Учебник, авторы: Алимов Шавкат Арифджанович, Колягин Юрий Михайлович, Ткачева Мария Владимировна, Федорова Надежда Евгеньевна, Шабунин Михаил Иванович, издательство Просвещение, Москва, 2014, страница 316, номер 1036, Решение 1 (продолжение 5) Алгебра, 10-11 класс Учебник, авторы: Алимов Шавкат Арифджанович, Колягин Юрий Михайлович, Ткачева Мария Владимировна, Федорова Надежда Евгеньевна, Шабунин Михаил Иванович, издательство Просвещение, Москва, 2014, страница 316, номер 1036, Решение 1 (продолжение 6)
Решение 2. №1036 (с. 316)
Алгебра, 10-11 класс Учебник, авторы: Алимов Шавкат Арифджанович, Колягин Юрий Михайлович, Ткачева Мария Владимировна, Федорова Надежда Евгеньевна, Шабунин Михаил Иванович, издательство Просвещение, Москва, 2014, страница 316, номер 1036, Решение 2
Алгебра, 10-11 класс Учебник, авторы: Алимов Шавкат Арифджанович, Колягин Юрий Михайлович, Ткачева Мария Владимировна, Федорова Надежда Евгеньевна, Шабунин Михаил Иванович, издательство Просвещение, Москва, 2014, страница 316, номер 1036, Решение 2 (продолжение 2)
Решение 4. №1036 (с. 316)
Алгебра, 10-11 класс Учебник, авторы: Алимов Шавкат Арифджанович, Колягин Юрий Михайлович, Ткачева Мария Владимировна, Федорова Надежда Евгеньевна, Шабунин Михаил Иванович, издательство Просвещение, Москва, 2014, страница 316, номер 1036, Решение 4
Алгебра, 10-11 класс Учебник, авторы: Алимов Шавкат Арифджанович, Колягин Юрий Михайлович, Ткачева Мария Владимировна, Федорова Надежда Евгеньевна, Шабунин Михаил Иванович, издательство Просвещение, Москва, 2014, страница 316, номер 1036, Решение 4 (продолжение 2)
Решение 5. №1036 (с. 316)
Алгебра, 10-11 класс Учебник, авторы: Алимов Шавкат Арифджанович, Колягин Юрий Михайлович, Ткачева Мария Владимировна, Федорова Надежда Евгеньевна, Шабунин Михаил Иванович, издательство Просвещение, Москва, 2014, страница 316, номер 1036, Решение 5
Решение 7. №1036 (с. 316)
Алгебра, 10-11 класс Учебник, авторы: Алимов Шавкат Арифджанович, Колягин Юрий Михайлович, Ткачева Мария Владимировна, Федорова Надежда Евгеньевна, Шабунин Михаил Иванович, издательство Просвещение, Москва, 2014, страница 316, номер 1036, Решение 7
Решение 8. №1036 (с. 316)

1) Для вычисления интеграла $\int_0^1 (5x^4 - 8x^3)dx$ воспользуемся формулой Ньютона-Лейбница.
Сначала найдем первообразную для подынтегральной функции $f(x) = 5x^4 - 8x^3$.
$F(x) = \int (5x^4 - 8x^3)dx = 5\int x^4 dx - 8\int x^3 dx = 5\frac{x^5}{5} - 8\frac{x^4}{4} = x^5 - 2x^4$.
Теперь подставим пределы интегрирования:
$\int_0^1 (5x^4 - 8x^3)dx = [x^5 - 2x^4]_0^1 = (1^5 - 2 \cdot 1^4) - (0^5 - 2 \cdot 0^4) = (1-2) - 0 = -1$.
Ответ: $-1$.

2) Для вычисления интеграла $\int_{-1}^2 (6x^3 - 5x)dx$ также применим формулу Ньютона-Лейбница.
Найдем первообразную для $f(x) = 6x^3 - 5x$.
$F(x) = \int (6x^3 - 5x)dx = 6\int x^3 dx - 5\int x dx = 6\frac{x^4}{4} - 5\frac{x^2}{2} = \frac{3}{2}x^4 - \frac{5}{2}x^2$.
Подставим пределы интегрирования:
$\int_{-1}^2 (6x^3 - 5x)dx = [\frac{3}{2}x^4 - \frac{5}{2}x^2]_{-1}^2 = (\frac{3}{2}(2)^4 - \frac{5}{2}(2)^2) - (\frac{3}{2}(-1)^4 - \frac{5}{2}(-1)^2) = (\frac{3}{2} \cdot 16 - \frac{5}{2} \cdot 4) - (\frac{3}{2} \cdot 1 - \frac{5}{2} \cdot 1) = (24 - 10) - (\frac{3-5}{2}) = 14 - (-\frac{2}{2}) = 14 - (-1) = 15$.
Ответ: $15$.

3) Для вычисления интеграла $\int_1^4 \sqrt{x} (3 - \frac{7}{x})dx$ сначала упростим подынтегральное выражение.
$\sqrt{x} (3 - \frac{7}{x}) = 3\sqrt{x} - \frac{7\sqrt{x}}{x} = 3x^{1/2} - 7x^{1/2}x^{-1} = 3x^{1/2} - 7x^{-1/2}$.
Теперь найдем первообразную:
$F(x) = \int (3x^{1/2} - 7x^{-1/2})dx = 3\frac{x^{1/2+1}}{1/2+1} - 7\frac{x^{-1/2+1}}{-1/2+1} = 3\frac{x^{3/2}}{3/2} - 7\frac{x^{1/2}}{1/2} = 2x^{3/2} - 14x^{1/2}$.
Вычислим определенный интеграл:
$\int_1^4 (3x^{1/2} - 7x^{-1/2})dx = [2x^{3/2} - 14x^{1/2}]_1^4 = (2 \cdot 4^{3/2} - 14 \cdot 4^{1/2}) - (2 \cdot 1^{3/2} - 14 \cdot 1^{1/2}) = (2 \cdot (\sqrt{4})^3 - 14\sqrt{4}) - (2 \cdot 1 - 14 \cdot 1) = (2 \cdot 8 - 14 \cdot 2) - (2 - 14) = (16 - 28) - (-12) = -12 + 12 = 0$.
Ответ: $0$.

4) Для вычисления интеграла $\int_1^8 4\sqrt[3]{x} (1 - \frac{4}{x})dx$ упростим подынтегральное выражение.
$4\sqrt[3]{x} (1 - \frac{4}{x}) = 4x^{1/3}(1 - 4x^{-1}) = 4x^{1/3} - 16x^{1/3-1} = 4x^{1/3} - 16x^{-2/3}$.
Найдем первообразную:
$F(x) = \int (4x^{1/3} - 16x^{-2/3})dx = 4\frac{x^{1/3+1}}{1/3+1} - 16\frac{x^{-2/3+1}}{-2/3+1} = 4\frac{x^{4/3}}{4/3} - 16\frac{x^{1/3}}{1/3} = 3x^{4/3} - 48x^{1/3}$.
Вычислим определенный интеграл:
$\int_1^8 (4x^{1/3} - 16x^{-2/3})dx = [3x^{4/3} - 48x^{1/3}]_1^8 = (3 \cdot 8^{4/3} - 48 \cdot 8^{1/3}) - (3 \cdot 1^{4/3} - 48 \cdot 1^{1/3}) = (3 \cdot (\sqrt[3]{8})^4 - 48\sqrt[3]{8}) - (3 - 48) = (3 \cdot 2^4 - 48 \cdot 2) - (-45) = (3 \cdot 16 - 96) + 45 = (48 - 96) + 45 = -48 + 45 = -3$.
Ответ: $-3$.

5) Для вычисления интеграла $\int_0^3 \sqrt{x+1}dx$ используем метод замены переменной.
Пусть $t = x+1$, тогда $dt = dx$.
Найдем новые пределы интегрирования: при $x=0$, $t=0+1=1$; при $x=3$, $t=3+1=4$.
Интеграл принимает вид: $\int_1^4 \sqrt{t} dt = \int_1^4 t^{1/2} dt$.
Вычислим интеграл:
$\int_1^4 t^{1/2} dt = [\frac{t^{3/2}}{3/2}]_1^4 = [\frac{2}{3}t^{3/2}]_1^4 = \frac{2}{3}(4^{3/2} - 1^{3/2}) = \frac{2}{3}((\sqrt{4})^3 - 1) = \frac{2}{3}(2^3 - 1) = \frac{2}{3}(8-1) = \frac{14}{3}$.
Ответ: $\frac{14}{3}$.

6) Для вычисления интеграла $\int_2^6 \sqrt{2x-3}dx$ используем метод замены переменной.
Пусть $t = 2x-3$, тогда $dt = 2dx$, откуда $dx = \frac{1}{2}dt$.
Найдем новые пределы интегрирования: при $x=2$, $t=2(2)-3=1$; при $x=6$, $t=2(6)-3=9$.
Интеграл принимает вид: $\int_1^9 \sqrt{t} \frac{1}{2}dt = \frac{1}{2}\int_1^9 t^{1/2} dt$.
Вычислим интеграл:
$\frac{1}{2}\int_1^9 t^{1/2} dt = \frac{1}{2}[\frac{t^{3/2}}{3/2}]_1^9 = \frac{1}{2}[\frac{2}{3}t^{3/2}]_1^9 = \frac{1}{3}[t^{3/2}]_1^9 = \frac{1}{3}(9^{3/2} - 1^{3/2}) = \frac{1}{3}((\sqrt{9})^3 - 1) = \frac{1}{3}(3^3 - 1) = \frac{1}{3}(27-1) = \frac{26}{3}$.
Ответ: $\frac{26}{3}$.

Помогло решение? Оставьте отзыв в комментариях ниже.

Присоединяйтесь к Телеграм-группе @top_gdz

Присоединиться

Мы подготовили для вас ответ c подробным объяснением домашего задания по алгебре за 10-11 класс, для упражнения номер 1036 расположенного на странице 316 к учебнику 2014 года издания для учащихся школ и гимназий.

Теперь на нашем сайте ГДЗ.ТОП вы всегда легко и бесплатно найдёте условие с правильным ответом на вопрос «Как решить ДЗ» и «Как сделать» задание по алгебре к упражнению №1036 (с. 316), авторов: Алимов (Шавкат Арифджанович), Колягин (Юрий Михайлович), Ткачева (Мария Владимировна), Федорова (Надежда Евгеньевна), Шабунин (Михаил Иванович), ФГОС (старый) базовый и углублённый уровень обучения учебного пособия издательства Просвещение.