Номер 1037, страница 316 - гдз по алгебре 10-11 класс учебник Алимов, Колягин

Алгебра, 10-11 класс Учебник, авторы: Алимов Шавкат Арифджанович, Колягин Юрий Михайлович, Ткачева Мария Владимировна, Федорова Надежда Евгеньевна, Шабунин Михаил Иванович, издательство Просвещение, Москва, 2014

Авторы: Алимов Ш. А., Колягин Ю. М., Ткачева М. В., Федорова Н. Е., Шабунин М. И.

Тип: Учебник

Издательство: Просвещение

Год издания: 2014 - 2025

Уровень обучения: базовый и углублённый

Цвет обложки: синий, фиолетовый

ISBN: 978-5-09-112136-0

Допущено Министерством просвещения Российской Федерации

Математика: алгебра и начала математического анализа, геометрия

Популярные ГДЗ в 10 классе

Глава 10. Интеграл. Упражнения к главе 10 - номер 1037, страница 316.

№1037 (с. 316)
Условие. №1037 (с. 316)
скриншот условия
Алгебра, 10-11 класс Учебник, авторы: Алимов Шавкат Арифджанович, Колягин Юрий Михайлович, Ткачева Мария Владимировна, Федорова Надежда Евгеньевна, Шабунин Михаил Иванович, издательство Просвещение, Москва, 2014, страница 316, номер 1037, Условие

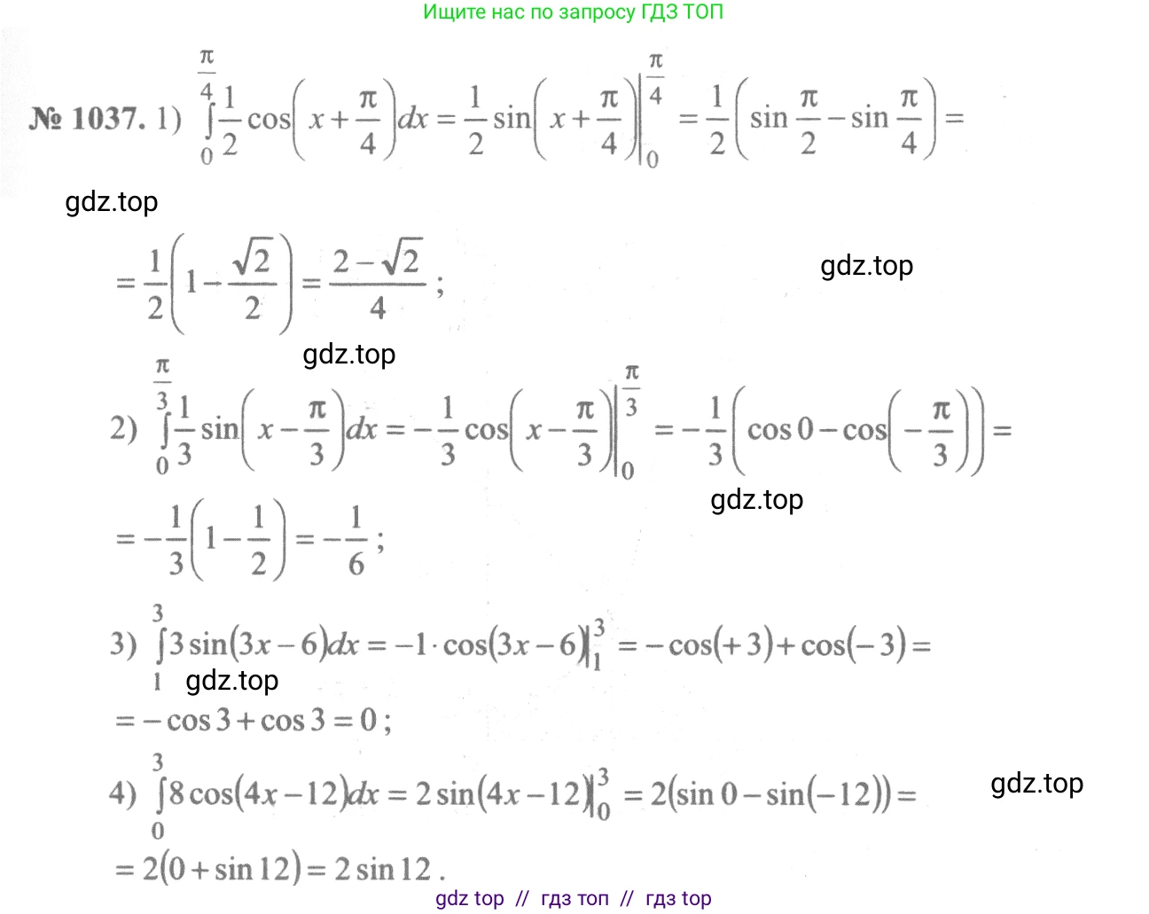
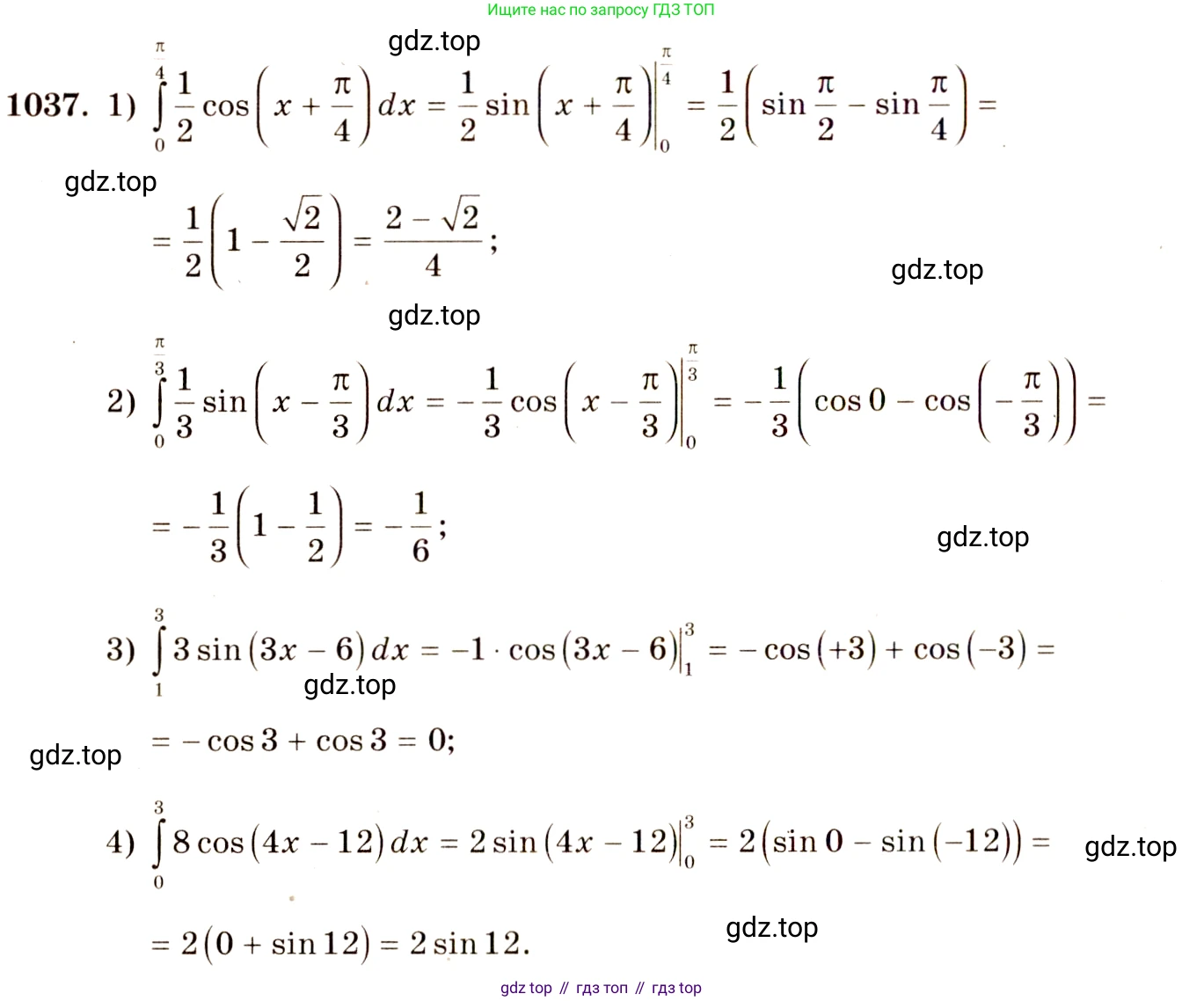
1037 1) $\int_{0}^{\frac{\pi}{4}} \frac{1}{2} \cos \left(x+\frac{\pi}{4}\right) d x$;

2) $\int_{0}^{\frac{\pi}{3}} \frac{1}{3} \sin \left(x-\frac{\pi}{3}\right) d x$;

3) $\int_{1}^{3} 3 \sin (3 x-6) d x$;

4) $\int_{0}^{3} 8 \cos (4 x-12) d x$.

Решение 1. №1037 (с. 316)
Алгебра, 10-11 класс Учебник, авторы: Алимов Шавкат Арифджанович, Колягин Юрий Михайлович, Ткачева Мария Владимировна, Федорова Надежда Евгеньевна, Шабунин Михаил Иванович, издательство Просвещение, Москва, 2014, страница 316, номер 1037, Решение 1
Алгебра, 10-11 класс Учебник, авторы: Алимов Шавкат Арифджанович, Колягин Юрий Михайлович, Ткачева Мария Владимировна, Федорова Надежда Евгеньевна, Шабунин Михаил Иванович, издательство Просвещение, Москва, 2014, страница 316, номер 1037, Решение 1 (продолжение 2)
Алгебра, 10-11 класс Учебник, авторы: Алимов Шавкат Арифджанович, Колягин Юрий Михайлович, Ткачева Мария Владимировна, Федорова Надежда Евгеньевна, Шабунин Михаил Иванович, издательство Просвещение, Москва, 2014, страница 316, номер 1037, Решение 1 (продолжение 3)
Алгебра, 10-11 класс Учебник, авторы: Алимов Шавкат Арифджанович, Колягин Юрий Михайлович, Ткачева Мария Владимировна, Федорова Надежда Евгеньевна, Шабунин Михаил Иванович, издательство Просвещение, Москва, 2014, страница 316, номер 1037, Решение 1 (продолжение 4)
Решение 2. №1037 (с. 316)
Алгебра, 10-11 класс Учебник, авторы: Алимов Шавкат Арифджанович, Колягин Юрий Михайлович, Ткачева Мария Владимировна, Федорова Надежда Евгеньевна, Шабунин Михаил Иванович, издательство Просвещение, Москва, 2014, страница 316, номер 1037, Решение 2
Алгебра, 10-11 класс Учебник, авторы: Алимов Шавкат Арифджанович, Колягин Юрий Михайлович, Ткачева Мария Владимировна, Федорова Надежда Евгеньевна, Шабунин Михаил Иванович, издательство Просвещение, Москва, 2014, страница 316, номер 1037, Решение 2 (продолжение 2)
Решение 4. №1037 (с. 316)
Алгебра, 10-11 класс Учебник, авторы: Алимов Шавкат Арифджанович, Колягин Юрий Михайлович, Ткачева Мария Владимировна, Федорова Надежда Евгеньевна, Шабунин Михаил Иванович, издательство Просвещение, Москва, 2014, страница 316, номер 1037, Решение 4
Решение 5. №1037 (с. 316)
Алгебра, 10-11 класс Учебник, авторы: Алимов Шавкат Арифджанович, Колягин Юрий Михайлович, Ткачева Мария Владимировна, Федорова Надежда Евгеньевна, Шабунин Михаил Иванович, издательство Просвещение, Москва, 2014, страница 316, номер 1037, Решение 5
Алгебра, 10-11 класс Учебник, авторы: Алимов Шавкат Арифджанович, Колягин Юрий Михайлович, Ткачева Мария Владимировна, Федорова Надежда Евгеньевна, Шабунин Михаил Иванович, издательство Просвещение, Москва, 2014, страница 316, номер 1037, Решение 5 (продолжение 2)
Решение 7. №1037 (с. 316)
Алгебра, 10-11 класс Учебник, авторы: Алимов Шавкат Арифджанович, Колягин Юрий Михайлович, Ткачева Мария Владимировна, Федорова Надежда Евгеньевна, Шабунин Михаил Иванович, издательство Просвещение, Москва, 2014, страница 316, номер 1037, Решение 7
Решение 8. №1037 (с. 316)

1) Вычислим определенный интеграл $\int_{0}^{\frac{\pi}{4}} \frac{1}{2} \cos(x + \frac{\pi}{4}) dx$.

Для вычисления определенного интеграла воспользуемся формулой Ньютона-Лейбница: $\int_{a}^{b} f(x) dx = F(b) - F(a)$, где $F(x)$ — первообразная для функции $f(x)$.

Сначала найдем первообразную для подынтегральной функции $f(x) = \frac{1}{2} \cos(x + \frac{\pi}{4})$.

Первообразная для $\cos(kx+b)$ находится по формуле $\frac{1}{k}\sin(kx+b)$. В нашем случае $k=1$ и $b=\frac{\pi}{4}$.

Таким образом, первообразная $F(x)$ равна:

$F(x) = \int \frac{1}{2} \cos(x + \frac{\pi}{4}) dx = \frac{1}{2} \sin(x + \frac{\pi}{4})$.

Теперь подставим пределы интегрирования:

$\int_{0}^{\frac{\pi}{4}} \frac{1}{2} \cos(x + \frac{\pi}{4}) dx = \left[ \frac{1}{2} \sin(x + \frac{\pi}{4}) \right]_{0}^{\frac{\pi}{4}} = \frac{1}{2} \sin(\frac{\pi}{4} + \frac{\pi}{4}) - \frac{1}{2} \sin(0 + \frac{\pi}{4})$

Вычислим полученное выражение:

$\frac{1}{2} \sin(\frac{\pi}{2}) - \frac{1}{2} \sin(\frac{\pi}{4}) = \frac{1}{2} \cdot 1 - \frac{1}{2} \cdot \frac{\sqrt{2}}{2} = \frac{1}{2} - \frac{\sqrt{2}}{4} = \frac{2 - \sqrt{2}}{4}$.

Ответ: $\frac{2 - \sqrt{2}}{4}$.

2) Вычислим определенный интеграл $\int_{0}^{\frac{\pi}{3}} \frac{1}{3} \sin(x - \frac{\pi}{3}) dx$.

Найдем первообразную для $f(x) = \frac{1}{3} \sin(x - \frac{\pi}{3})$.

Первообразная для $\sin(kx+b)$ находится по формуле $-\frac{1}{k}\cos(kx+b)$. В данном случае $k=1$ и $b=-\frac{\pi}{3}$.

Первообразная $F(x)$ равна:

$F(x) = \int \frac{1}{3} \sin(x - \frac{\pi}{3}) dx = \frac{1}{3} \left( -\cos(x - \frac{\pi}{3}) \right) = -\frac{1}{3} \cos(x - \frac{\pi}{3})$.

Применим формулу Ньютона-Лейбница:

$\int_{0}^{\frac{\pi}{3}} \frac{1}{3} \sin(x - \frac{\pi}{3}) dx = \left[ -\frac{1}{3} \cos(x - \frac{\pi}{3}) \right]_{0}^{\frac{\pi}{3}} = \left(-\frac{1}{3} \cos(\frac{\pi}{3} - \frac{\pi}{3})\right) - \left(-\frac{1}{3} \cos(0 - \frac{\pi}{3})\right)$

Упростим и вычислим:

$-\frac{1}{3} \cos(0) + \frac{1}{3} \cos(-\frac{\pi}{3}) = -\frac{1}{3} \cdot 1 + \frac{1}{3} \cos(\frac{\pi}{3}) = -\frac{1}{3} + \frac{1}{3} \cdot \frac{1}{2} = -\frac{1}{3} + \frac{1}{6} = -\frac{2}{6} + \frac{1}{6} = -\frac{1}{6}$.

Ответ: $-\frac{1}{6}$.

3) Вычислим определенный интеграл $\int_{1}^{3} 3 \sin(3x - 6) dx$.

Найдем первообразную для $f(x) = 3 \sin(3x - 6)$.

Первообразная для $\sin(kx+b)$ равна $-\frac{1}{k}\cos(kx+b)$. Здесь $k=3$ и $b=-6$.

Первообразная $F(x)$ равна:

$F(x) = \int 3 \sin(3x - 6) dx = 3 \left( -\frac{1}{3}\cos(3x - 6) \right) = -\cos(3x - 6)$.

Применим формулу Ньютона-Лейбница:

$\int_{1}^{3} 3 \sin(3x - 6) dx = \left[ -\cos(3x - 6) \right]_{1}^{3} = (-\cos(3 \cdot 3 - 6)) - (-\cos(3 \cdot 1 - 6))$

Вычислим значения:

$-\cos(9 - 6) + \cos(3 - 6) = -\cos(3) + \cos(-3)$.

Так как косинус является четной функцией, $\cos(-3) = \cos(3)$.

$-\cos(3) + \cos(3) = 0$.

Ответ: $0$.

4) Вычислим определенный интеграл $\int_{0}^{3} 8 \cos(4x - 12) dx$.

Найдем первообразную для $f(x) = 8 \cos(4x - 12)$.

Первообразная для $\cos(kx+b)$ равна $\frac{1}{k}\sin(kx+b)$. Здесь $k=4$ и $b=-12$.

Первообразная $F(x)$ равна:

$F(x) = \int 8 \cos(4x - 12) dx = 8 \left( \frac{1}{4}\sin(4x - 12) \right) = 2\sin(4x - 12)$.

Применим формулу Ньютона-Лейбница:

$\int_{0}^{3} 8 \cos(4x - 12) dx = \left[ 2\sin(4x - 12) \right]_{0}^{3} = (2\sin(4 \cdot 3 - 12)) - (2\sin(4 \cdot 0 - 12))$

Вычислим значения:

$2\sin(12 - 12) - 2\sin(-12) = 2\sin(0) - 2\sin(-12)$.

Так как синус является нечетной функцией, $\sin(-12) = -\sin(12)$.

$2 \cdot 0 - 2(-\sin(12)) = 0 + 2\sin(12) = 2\sin(12)$.

Ответ: $2\sin(12)$.

Помогло решение? Оставьте отзыв в комментариях ниже.

Присоединяйтесь к Телеграм-группе @top_gdz

Присоединиться

Мы подготовили для вас ответ c подробным объяснением домашего задания по алгебре за 10-11 класс, для упражнения номер 1037 расположенного на странице 316 к учебнику 2014 года издания для учащихся школ и гимназий.

Теперь на нашем сайте ГДЗ.ТОП вы всегда легко и бесплатно найдёте условие с правильным ответом на вопрос «Как решить ДЗ» и «Как сделать» задание по алгебре к упражнению №1037 (с. 316), авторов: Алимов (Шавкат Арифджанович), Колягин (Юрий Михайлович), Ткачева (Мария Владимировна), Федорова (Надежда Евгеньевна), Шабунин (Михаил Иванович), ФГОС (старый) базовый и углублённый уровень обучения учебного пособия издательства Просвещение.