Номер 1041, страница 316 - гдз по алгебре 10-11 класс учебник Алимов, Колягин

Алгебра, 10-11 класс Учебник, авторы: Алимов Шавкат Арифджанович, Колягин Юрий Михайлович, Ткачева Мария Владимировна, Федорова Надежда Евгеньевна, Шабунин Михаил Иванович, издательство Просвещение, Москва, 2014

Авторы: Алимов Ш. А., Колягин Ю. М., Ткачева М. В., Федорова Н. Е., Шабунин М. И.

Тип: Учебник

Издательство: Просвещение

Год издания: 2014 - 2026

Уровень обучения: базовый и углублённый

Цвет обложки: синий, фиолетовый

ISBN: 978-5-09-112136-0

Допущено Министерством просвещения Российской Федерации

Математика: алгебра и начала математического анализа, геометрия

Популярные ГДЗ в 10 классе

Глава 10. Интеграл. Упражнения к главе 10 - номер 1041, страница 316.

№1041 (с. 316)
Условие. №1041 (с. 316)
скриншот условия
Алгебра, 10-11 класс Учебник, авторы: Алимов Шавкат Арифджанович, Колягин Юрий Михайлович, Ткачева Мария Владимировна, Федорова Надежда Евгеньевна, Шабунин Михаил Иванович, издательство Просвещение, Москва, 2014, страница 316, номер 1041, Условие

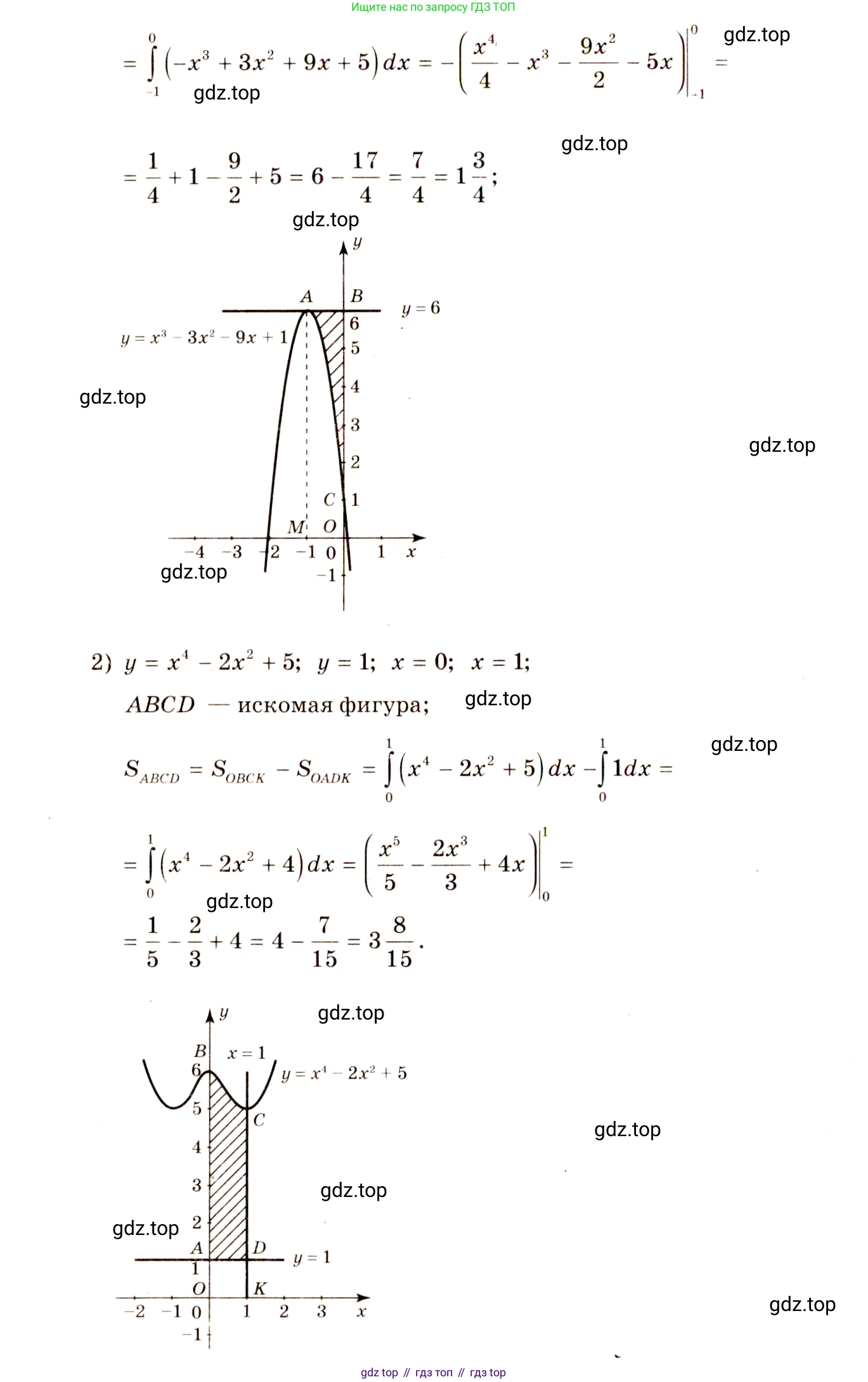
1041 Найти площадь фигуры, ограниченной линиями:

1) $y = x^3 - 3x^2 - 9x + 1, x = 0, y = 6$ (при $x < 0$);

2) $y = x^4 - 2x^2 + 5, y = 1, x = 0, x = 1.$

Решение 1. №1041 (с. 316)
Алгебра, 10-11 класс Учебник, авторы: Алимов Шавкат Арифджанович, Колягин Юрий Михайлович, Ткачева Мария Владимировна, Федорова Надежда Евгеньевна, Шабунин Михаил Иванович, издательство Просвещение, Москва, 2014, страница 316, номер 1041, Решение 1
Алгебра, 10-11 класс Учебник, авторы: Алимов Шавкат Арифджанович, Колягин Юрий Михайлович, Ткачева Мария Владимировна, Федорова Надежда Евгеньевна, Шабунин Михаил Иванович, издательство Просвещение, Москва, 2014, страница 316, номер 1041, Решение 1 (продолжение 2)
Решение 2. №1041 (с. 316)
Алгебра, 10-11 класс Учебник, авторы: Алимов Шавкат Арифджанович, Колягин Юрий Михайлович, Ткачева Мария Владимировна, Федорова Надежда Евгеньевна, Шабунин Михаил Иванович, издательство Просвещение, Москва, 2014, страница 316, номер 1041, Решение 2
Алгебра, 10-11 класс Учебник, авторы: Алимов Шавкат Арифджанович, Колягин Юрий Михайлович, Ткачева Мария Владимировна, Федорова Надежда Евгеньевна, Шабунин Михаил Иванович, издательство Просвещение, Москва, 2014, страница 316, номер 1041, Решение 2 (продолжение 2)
Решение 3. №1041 (с. 316)
Алгебра, 10-11 класс Учебник, авторы: Алимов Шавкат Арифджанович, Колягин Юрий Михайлович, Ткачева Мария Владимировна, Федорова Надежда Евгеньевна, Шабунин Михаил Иванович, издательство Просвещение, Москва, 2014, страница 316, номер 1041, Решение 3
Решение 4. №1041 (с. 316)
Алгебра, 10-11 класс Учебник, авторы: Алимов Шавкат Арифджанович, Колягин Юрий Михайлович, Ткачева Мария Владимировна, Федорова Надежда Евгеньевна, Шабунин Михаил Иванович, издательство Просвещение, Москва, 2014, страница 316, номер 1041, Решение 4
Алгебра, 10-11 класс Учебник, авторы: Алимов Шавкат Арифджанович, Колягин Юрий Михайлович, Ткачева Мария Владимировна, Федорова Надежда Евгеньевна, Шабунин Михаил Иванович, издательство Просвещение, Москва, 2014, страница 316, номер 1041, Решение 4 (продолжение 2)
Решение 5. №1041 (с. 316)
Алгебра, 10-11 класс Учебник, авторы: Алимов Шавкат Арифджанович, Колягин Юрий Михайлович, Ткачева Мария Владимировна, Федорова Надежда Евгеньевна, Шабунин Михаил Иванович, издательство Просвещение, Москва, 2014, страница 316, номер 1041, Решение 5 Алгебра, 10-11 класс Учебник, авторы: Алимов Шавкат Арифджанович, Колягин Юрий Михайлович, Ткачева Мария Владимировна, Федорова Надежда Евгеньевна, Шабунин Михаил Иванович, издательство Просвещение, Москва, 2014, страница 316, номер 1041, Решение 5 (продолжение 2)
Решение 7. №1041 (с. 316)
Алгебра, 10-11 класс Учебник, авторы: Алимов Шавкат Арифджанович, Колягин Юрий Михайлович, Ткачева Мария Владимировна, Федорова Надежда Евгеньевна, Шабунин Михаил Иванович, издательство Просвещение, Москва, 2014, страница 316, номер 1041, Решение 7 Алгебра, 10-11 класс Учебник, авторы: Алимов Шавкат Арифджанович, Колягин Юрий Михайлович, Ткачева Мария Владимировна, Федорова Надежда Евгеньевна, Шабунин Михаил Иванович, издательство Просвещение, Москва, 2014, страница 316, номер 1041, Решение 7 (продолжение 2)
Решение 8. №1041 (с. 316)

1) Для нахождения площади фигуры, ограниченной линиями $y = x^3 - 3x^2 - 9x + 1$, $x=0$, $y=6$ (при $x < 0$), необходимо сначала определить пределы интегрирования. Правая граница задана условием $x=0$. Левую границу найдем из точки пересечения кривой $y = x^3 - 3x^2 - 9x + 1$ и прямой $y=6$ в области $x < 0$.

Приравняем уравнения:

$x^3 - 3x^2 - 9x + 1 = 6$

$x^3 - 3x^2 - 9x - 5 = 0$

Подбором находим целочисленный корень $x=-1$:
$(-1)^3 - 3(-1)^2 - 9(-1) - 5 = -1 - 3 + 9 - 5 = 0$.
Разделив многочлен на $(x+1)$, получим: $(x+1)(x^2 - 4x - 5) = 0$
$(x+1)(x-5)(x+1) = 0$
$(x+1)^2(x-5) = 0$
Корни уравнения: $x_1 = -1$ (кратность 2) и $x_2 = 5$.

Согласно условию $x < 0$, нас интересует корень $x=-1$. Это означает, что левая граница интегрирования — $x=-1$. В этой точке кривая касается прямой $y=6$.

Чтобы определить, какая функция является верхней, а какая — нижней на интервале $[-1, 0]$, исследуем знак разности $6 - (x^3 - 3x^2 - 9x + 1) = -x^3 + 3x^2 + 9x + 5$. Мы знаем, что эта разность равна нулю при $x=-1$. На интервале $(-1, 0)$ она положительна, так как, например, при $x=-0.5$ значение исходной функции $y(-0.5) = -0.125 - 0.75 + 4.5 + 1 = 4.625 < 6$. Таким образом, верхняя граница фигуры — прямая $y=6$, а нижняя — кривая $y = x^3 - 3x^2 - 9x + 1$.

Площадь фигуры $S$ вычисляется как определенный интеграл разности верхней и нижней функций:

$S = \int_{-1}^{0} (6 - (x^3 - 3x^2 - 9x + 1)) dx = \int_{-1}^{0} (-x^3 + 3x^2 + 9x + 5) dx$

Вычислим интеграл:

$S = \left[ -\frac{x^4}{4} + \frac{3x^3}{3} + \frac{9x^2}{2} + 5x \right]_{-1}^{0} = \left[ -\frac{x^4}{4} + x^3 + \frac{9x^2}{2} + 5x \right]_{-1}^{0}$

$S = (0) - \left( -\frac{(-1)^4}{4} + (-1)^3 + \frac{9(-1)^2}{2} + 5(-1) \right)$

$S = - \left( -\frac{1}{4} - 1 + \frac{9}{2} - 5 \right) = - \left( -\frac{1}{4} - 6 + \frac{18}{4} \right) = - \left( \frac{17}{4} - \frac{24}{4} \right) = - \left( -\frac{7}{4} \right) = \frac{7}{4}$

Ответ: $\frac{7}{4}$

2) Фигура ограничена линиями $y = x^4 - 2x^2 + 5$, $y=1$, $x=0$ и $x=1$. Пределы интегрирования по оси $x$ заданы явно: от $x=0$ до $x=1$. Необходимо определить, какая из функций $y = x^4 - 2x^2 + 5$ или $y=1$ является верхней границей, а какая — нижней на отрезке $[0, 1]$.

Рассмотрим разность функций $g(x) = (x^4 - 2x^2 + 5) - 1 = x^4 - 2x^2 + 4$. Чтобы найти знак этой разности, можно попытаться найти её корни, приравняв к нулю: $x^4 - 2x^2 + 4 = 0$. Сделаем замену $t = x^2$ (где $t \ge 0$): $t^2 - 2t + 4 = 0$. Дискриминант этого квадратного уравнения $D = (-2)^2 - 4 \cdot 1 \cdot 4 = 4 - 16 = -12$. Поскольку $D < 0$, уравнение не имеет действительных корней для $t$. Следовательно, уравнение для $x$ также не имеет действительных корней. Это означает, что график функции $y = x^4 - 2x^2 + 5$ не пересекает прямую $y=1$.

Чтобы определить взаимное расположение графиков, выберем любую точку из интервала $[0, 1]$, например, $x=0$. При $x=0$: $y_{кривая} = 0^4 - 2 \cdot 0^2 + 5 = 5$, а $y_{прямая} = 1$. Поскольку $5 > 1$, на всем отрезке $[0, 1]$ кривая $y = x^4 - 2x^2 + 5$ лежит выше прямой $y=1$.

Таким образом, площадь фигуры $S$ вычисляется как интеграл разности верхней и нижней функций в заданных пределах:

$S = \int_{0}^{1} ((x^4 - 2x^2 + 5) - 1) dx = \int_{0}^{1} (x^4 - 2x^2 + 4) dx$

Вычислим интеграл:

$S = \left[ \frac{x^5}{5} - \frac{2x^3}{3} + 4x \right]_{0}^{1}$

$S = \left( \frac{1^5}{5} - \frac{2 \cdot 1^3}{3} + 4 \cdot 1 \right) - (0)$

$S = \frac{1}{5} - \frac{2}{3} + 4 = \frac{3}{15} - \frac{10}{15} + \frac{60}{15} = \frac{3 - 10 + 60}{15} = \frac{53}{15}$

Ответ: $\frac{53}{15}$

Помогло решение? Оставьте отзыв в комментариях ниже.

Присоединяйтесь к Телеграм-группе @top_gdz

Присоединиться

Мы подготовили для вас ответ c подробным объяснением домашего задания по алгебре за 10-11 класс, для упражнения номер 1041 расположенного на странице 316 к учебнику 2014 года издания для учащихся школ и гимназий.

Теперь на нашем сайте ГДЗ.ТОП вы всегда легко и бесплатно найдёте условие с правильным ответом на вопрос «Как решить ДЗ» и «Как сделать» задание по алгебре к упражнению №1041 (с. 316), авторов: Алимов (Шавкат Арифджанович), Колягин (Юрий Михайлович), Ткачева (Мария Владимировна), Федорова (Надежда Евгеньевна), Шабунин (Михаил Иванович), ФГОС (старый) базовый и углублённый уровень обучения учебного пособия издательства Просвещение.