Номер 1038, страница 316 - гдз по алгебре 10-11 класс учебник Алимов, Колягин

Алгебра, 10-11 класс Учебник, авторы: Алимов Шавкат Арифджанович, Колягин Юрий Михайлович, Ткачева Мария Владимировна, Федорова Надежда Евгеньевна, Шабунин Михаил Иванович, издательство Просвещение, Москва, 2014

Авторы: Алимов Ш. А., Колягин Ю. М., Ткачева М. В., Федорова Н. Е., Шабунин М. И.

Тип: Учебник

Издательство: Просвещение

Год издания: 2014 - 2025

Уровень обучения: базовый и углублённый

Цвет обложки: синий, фиолетовый

ISBN: 978-5-09-112136-0

Допущено Министерством просвещения Российской Федерации

Математика: алгебра и начала математического анализа, геометрия

Популярные ГДЗ в 10 классе

Глава 10. Интеграл. Упражнения к главе 10 - номер 1038, страница 316.

№1038 (с. 316)
Условие. №1038 (с. 316)
скриншот условия
Алгебра, 10-11 класс Учебник, авторы: Алимов Шавкат Арифджанович, Колягин Юрий Михайлович, Ткачева Мария Владимировна, Федорова Надежда Евгеньевна, Шабунин Михаил Иванович, издательство Просвещение, Москва, 2014, страница 316, номер 1038, Условие

Найти площадь фигуры, ограниченной линиями (1038—1039).

1038 1) $y = \frac{1}{x}$, $y = 4x$, $x = 1$, $y = 0$;

2) $y = \frac{1}{x^2}$, $y = x$, $x = 2$, $y = 0$;

3) $y = x^2 + 1$, $y = x + 1$;

4) $y = x^2 + 2$, $y = 2x + 2.$

Решение 1. №1038 (с. 316)
Алгебра, 10-11 класс Учебник, авторы: Алимов Шавкат Арифджанович, Колягин Юрий Михайлович, Ткачева Мария Владимировна, Федорова Надежда Евгеньевна, Шабунин Михаил Иванович, издательство Просвещение, Москва, 2014, страница 316, номер 1038, Решение 1
Алгебра, 10-11 класс Учебник, авторы: Алимов Шавкат Арифджанович, Колягин Юрий Михайлович, Ткачева Мария Владимировна, Федорова Надежда Евгеньевна, Шабунин Михаил Иванович, издательство Просвещение, Москва, 2014, страница 316, номер 1038, Решение 1 (продолжение 2)
Алгебра, 10-11 класс Учебник, авторы: Алимов Шавкат Арифджанович, Колягин Юрий Михайлович, Ткачева Мария Владимировна, Федорова Надежда Евгеньевна, Шабунин Михаил Иванович, издательство Просвещение, Москва, 2014, страница 316, номер 1038, Решение 1 (продолжение 3)
Алгебра, 10-11 класс Учебник, авторы: Алимов Шавкат Арифджанович, Колягин Юрий Михайлович, Ткачева Мария Владимировна, Федорова Надежда Евгеньевна, Шабунин Михаил Иванович, издательство Просвещение, Москва, 2014, страница 316, номер 1038, Решение 1 (продолжение 4)
Решение 2. №1038 (с. 316)
Алгебра, 10-11 класс Учебник, авторы: Алимов Шавкат Арифджанович, Колягин Юрий Михайлович, Ткачева Мария Владимировна, Федорова Надежда Евгеньевна, Шабунин Михаил Иванович, издательство Просвещение, Москва, 2014, страница 316, номер 1038, Решение 2
Алгебра, 10-11 класс Учебник, авторы: Алимов Шавкат Арифджанович, Колягин Юрий Михайлович, Ткачева Мария Владимировна, Федорова Надежда Евгеньевна, Шабунин Михаил Иванович, издательство Просвещение, Москва, 2014, страница 316, номер 1038, Решение 2 (продолжение 2)
Алгебра, 10-11 класс Учебник, авторы: Алимов Шавкат Арифджанович, Колягин Юрий Михайлович, Ткачева Мария Владимировна, Федорова Надежда Евгеньевна, Шабунин Михаил Иванович, издательство Просвещение, Москва, 2014, страница 316, номер 1038, Решение 2 (продолжение 3)
Решение 4. №1038 (с. 316)
Алгебра, 10-11 класс Учебник, авторы: Алимов Шавкат Арифджанович, Колягин Юрий Михайлович, Ткачева Мария Владимировна, Федорова Надежда Евгеньевна, Шабунин Михаил Иванович, издательство Просвещение, Москва, 2014, страница 316, номер 1038, Решение 4
Алгебра, 10-11 класс Учебник, авторы: Алимов Шавкат Арифджанович, Колягин Юрий Михайлович, Ткачева Мария Владимировна, Федорова Надежда Евгеньевна, Шабунин Михаил Иванович, издательство Просвещение, Москва, 2014, страница 316, номер 1038, Решение 4 (продолжение 2)
Алгебра, 10-11 класс Учебник, авторы: Алимов Шавкат Арифджанович, Колягин Юрий Михайлович, Ткачева Мария Владимировна, Федорова Надежда Евгеньевна, Шабунин Михаил Иванович, издательство Просвещение, Москва, 2014, страница 316, номер 1038, Решение 4 (продолжение 3)
Решение 5. №1038 (с. 316)
Алгебра, 10-11 класс Учебник, авторы: Алимов Шавкат Арифджанович, Колягин Юрий Михайлович, Ткачева Мария Владимировна, Федорова Надежда Евгеньевна, Шабунин Михаил Иванович, издательство Просвещение, Москва, 2014, страница 316, номер 1038, Решение 5
Алгебра, 10-11 класс Учебник, авторы: Алимов Шавкат Арифджанович, Колягин Юрий Михайлович, Ткачева Мария Владимировна, Федорова Надежда Евгеньевна, Шабунин Михаил Иванович, издательство Просвещение, Москва, 2014, страница 316, номер 1038, Решение 5 (продолжение 2)
Решение 7. №1038 (с. 316)
Алгебра, 10-11 класс Учебник, авторы: Алимов Шавкат Арифджанович, Колягин Юрий Михайлович, Ткачева Мария Владимировна, Федорова Надежда Евгеньевна, Шабунин Михаил Иванович, издательство Просвещение, Москва, 2014, страница 316, номер 1038, Решение 7 Алгебра, 10-11 класс Учебник, авторы: Алимов Шавкат Арифджанович, Колягин Юрий Михайлович, Ткачева Мария Владимировна, Федорова Надежда Евгеньевна, Шабунин Михаил Иванович, издательство Просвещение, Москва, 2014, страница 316, номер 1038, Решение 7 (продолжение 2) Алгебра, 10-11 класс Учебник, авторы: Алимов Шавкат Арифджанович, Колягин Юрий Михайлович, Ткачева Мария Владимировна, Федорова Надежда Евгеньевна, Шабунин Михаил Иванович, издательство Просвещение, Москва, 2014, страница 316, номер 1038, Решение 7 (продолжение 3) Алгебра, 10-11 класс Учебник, авторы: Алимов Шавкат Арифджанович, Колягин Юрий Михайлович, Ткачева Мария Владимировна, Федорова Надежда Евгеньевна, Шабунин Михаил Иванович, издательство Просвещение, Москва, 2014, страница 316, номер 1038, Решение 7 (продолжение 4)
Решение 8. №1038 (с. 316)

1) $y=\frac{1}{x}, y=4x, x=1, y=0$

Для нахождения площади фигуры необходимо сначала определить ее границы. Построим графики данных функций. Линии $y=4x$ и $y=\frac{1}{x}$ пересекаются в точке, абсциссу которой найдем из уравнения $4x=\frac{1}{x}$. Это дает $4x^2=1$, и, поскольку из контекста задачи ($y=1/x$, $x=1$) следует, что $x>0$, получаем $x=\frac{1}{2}$.

Фигура ограничена снизу осью абсцисс ($y=0$). Верхняя граница фигуры состоит из двух частей: на отрезке $[0, \frac{1}{2}]$ это прямая $y=4x$, а на отрезке $[\frac{1}{2}, 1]$ это гипербола $y=\frac{1}{x}$. Таким образом, площадь фигуры можно найти как сумму площадей двух криволинейных трапеций.

Площадь первой части (под графиком $y=4x$ от $x=0$ до $x=\frac{1}{2}$): $S_1 = \int_{0}^{1/2} 4x \,dx$

Площадь второй части (под графиком $y=\frac{1}{x}$ от $x=\frac{1}{2}$ до $x=1$): $S_2 = \int_{1/2}^{1} \frac{1}{x} \,dx$

Общая площадь $S$ равна сумме $S_1$ и $S_2$: $S = S_1 + S_2 = \int_{0}^{1/2} 4x \,dx + \int_{1/2}^{1} \frac{1}{x} \,dx$

Вычисляем интегралы: $S = \left[ 2x^2 \right]_{0}^{1/2} + \left[ \ln|x| \right]_{1/2}^{1} = (2 \cdot (\frac{1}{2})^2 - 2 \cdot 0^2) + (\ln(1) - \ln(\frac{1}{2}))$ $S = (2 \cdot \frac{1}{4}) + (0 - (-\ln(2))) = \frac{1}{2} + \ln(2)$

Ответ: $\frac{1}{2} + \ln(2)$.

2) $y=\frac{1}{x^2}, y=x, x=2, y=0$

Найдем точку пересечения кривых $y=x$ и $y=\frac{1}{x^2}$, решив уравнение $x = \frac{1}{x^2}$, что дает $x^3=1$, откуда $x=1$.

Фигура ограничена снизу осью $y=0$. Верхняя граница фигуры также состоит из двух частей. На отрезке $[0, 1]$ верхняя граница — это прямая $y=x$. На отрезке $[1, 2]$ верхняя граница — это кривая $y=\frac{1}{x^2}$. Площадь фигуры является суммой площадей двух соответствующих криволинейных трапеций.

Площадь первой части (под графиком $y=x$ от $x=0$ до $x=1$): $S_1 = \int_{0}^{1} x \,dx$

Площадь второй части (под графиком $y=\frac{1}{x^2}$ от $x=1$ до $x=2$): $S_2 = \int_{1}^{2} \frac{1}{x^2} \,dx$

Общая площадь $S$ равна сумме $S_1$ и $S_2$: $S = S_1 + S_2 = \int_{0}^{1} x \,dx + \int_{1}^{2} x^{-2} \,dx$

Вычисляем интегралы: $S = \left[ \frac{x^2}{2} \right]_{0}^{1} + \left[ -\frac{1}{x} \right]_{1}^{2} = (\frac{1^2}{2} - \frac{0^2}{2}) + (-\frac{1}{2} - (-\frac{1}{1}))$ $S = \frac{1}{2} + (-\frac{1}{2} + 1) = \frac{1}{2} + \frac{1}{2} = 1$

Ответ: $1$.

3) $y=x^2+1, y=x+1$

Фигура ограничена двумя линиями: параболой и прямой. Найдем их точки пересечения, чтобы определить пределы интегрирования: $x^2+1 = x+1 \implies x^2 - x = 0 \implies x(x-1) = 0$. Точки пересечения имеют абсциссы $x=0$ и $x=1$.

На интервале $(0, 1)$ определим, какая из функций больше. Возьмем пробную точку $x=0.5$: Для $y=x^2+1$, $y = (0.5)^2+1 = 1.25$. Для $y=x+1$, $y = 0.5+1 = 1.5$. Так как $1.5 > 1.25$, на интервале $(0, 1)$ прямая $y=x+1$ находится выше параболы $y=x^2+1$.

Площадь фигуры вычисляется как интеграл от разности верхней и нижней функций: $S = \int_{0}^{1} ((x+1) - (x^2+1)) \,dx = \int_{0}^{1} (x - x^2) \,dx$

Вычисляем интеграл: $S = \left[ \frac{x^2}{2} - \frac{x^3}{3} \right]_{0}^{1} = (\frac{1^2}{2} - \frac{1^3}{3}) - (0) = \frac{1}{2} - \frac{1}{3} = \frac{3-2}{6} = \frac{1}{6}$

Ответ: $\frac{1}{6}$.

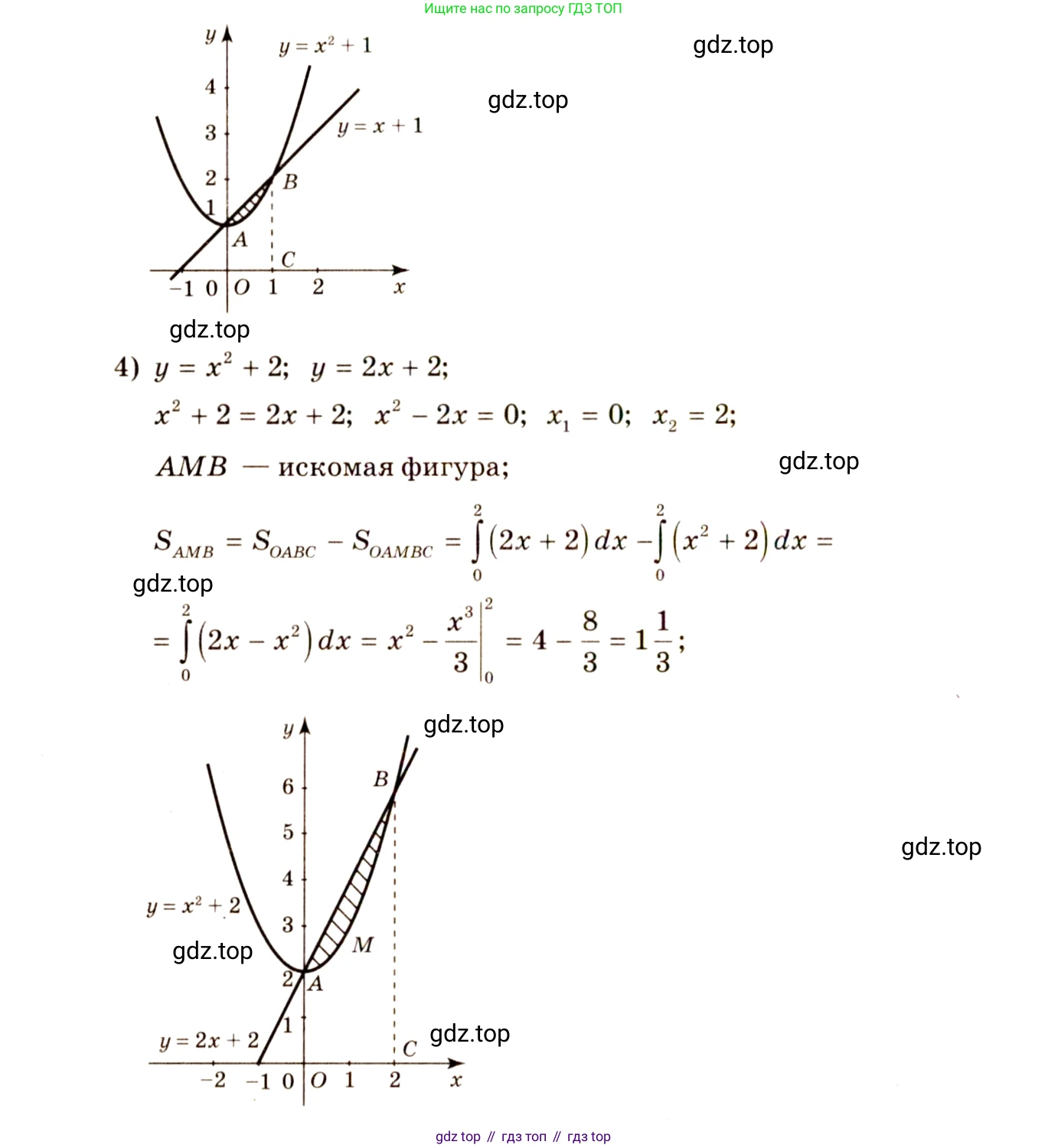
4) $y=x^2+2, y=2x+2$

Найдем точки пересечения параболы и прямой, чтобы определить пределы интегрирования: $x^2+2 = 2x+2 \implies x^2 - 2x = 0 \implies x(x-2) = 0$. Точки пересечения имеют абсциссы $x=0$ и $x=2$.

На интервале $(0, 2)$ определим, какая из функций больше. Возьмем пробную точку $x=1$: Для $y=x^2+2$, $y = 1^2+2 = 3$. Для $y=2x+2$, $y = 2(1)+2 = 4$. Так как $4 > 3$, на интервале $(0, 2)$ прямая $y=2x+2$ находится выше параболы $y=x^2+2$.

Площадь фигуры вычисляется как интеграл от разности верхней и нижней функций: $S = \int_{0}^{2} ((2x+2) - (x^2+2)) \,dx = \int_{0}^{2} (2x - x^2) \,dx$

Вычисляем интеграл: $S = \left[ x^2 - \frac{x^3}{3} \right]_{0}^{2} = (2^2 - \frac{2^3}{3}) - (0) = 4 - \frac{8}{3} = \frac{12-8}{3} = \frac{4}{3}$

Ответ: $\frac{4}{3}$.

Помогло решение? Оставьте отзыв в комментариях ниже.

Присоединяйтесь к Телеграм-группе @top_gdz

Присоединиться

Мы подготовили для вас ответ c подробным объяснением домашего задания по алгебре за 10-11 класс, для упражнения номер 1038 расположенного на странице 316 к учебнику 2014 года издания для учащихся школ и гимназий.

Теперь на нашем сайте ГДЗ.ТОП вы всегда легко и бесплатно найдёте условие с правильным ответом на вопрос «Как решить ДЗ» и «Как сделать» задание по алгебре к упражнению №1038 (с. 316), авторов: Алимов (Шавкат Арифджанович), Колягин (Юрий Михайлович), Ткачева (Мария Владимировна), Федорова (Надежда Евгеньевна), Шабунин (Михаил Иванович), ФГОС (старый) базовый и углублённый уровень обучения учебного пособия издательства Просвещение.