Номер 1035, страница 315 - гдз по алгебре 10-11 класс учебник Алимов, Колягин

Алгебра, 10-11 класс Учебник, авторы: Алимов Шавкат Арифджанович, Колягин Юрий Михайлович, Ткачева Мария Владимировна, Федорова Надежда Евгеньевна, Шабунин Михаил Иванович, издательство Просвещение, Москва, 2014

Авторы: Алимов Ш. А., Колягин Ю. М., Ткачева М. В., Федорова Н. Е., Шабунин М. И.

Тип: Учебник

Издательство: Просвещение

Год издания: 2014 - 2025

Уровень обучения: базовый и углублённый

Цвет обложки: синий, фиолетовый

ISBN: 978-5-09-112136-0

Допущено Министерством просвещения Российской Федерации

Математика: алгебра и начала математического анализа, геометрия

Популярные ГДЗ в 10 классе

Глава 10. Интеграл. Упражнения к главе 10 - номер 1035, страница 315.

№1035 (с. 315)
Условие. №1035 (с. 315)
скриншот условия
Алгебра, 10-11 класс Учебник, авторы: Алимов Шавкат Арифджанович, Колягин Юрий Михайлович, Ткачева Мария Владимировна, Федорова Надежда Евгеньевна, Шабунин Михаил Иванович, издательство Просвещение, Москва, 2014, страница 315, номер 1035, Условие

1035 Найти площадь фигуры, ограниченной линиями:

1) $y = \sqrt{x}$, $x = 1$, $x = 4$, $y = 0$;

2) $y = \cos x$, $x = 0$, $x = \frac{\pi}{3}$, $y = 0$;

3) $y = x^2$, $y = 2 - x$;

4) $y = 2x^2$, $y = 0,5x + 1,5$.

Решение 1. №1035 (с. 315)
Алгебра, 10-11 класс Учебник, авторы: Алимов Шавкат Арифджанович, Колягин Юрий Михайлович, Ткачева Мария Владимировна, Федорова Надежда Евгеньевна, Шабунин Михаил Иванович, издательство Просвещение, Москва, 2014, страница 315, номер 1035, Решение 1
Алгебра, 10-11 класс Учебник, авторы: Алимов Шавкат Арифджанович, Колягин Юрий Михайлович, Ткачева Мария Владимировна, Федорова Надежда Евгеньевна, Шабунин Михаил Иванович, издательство Просвещение, Москва, 2014, страница 315, номер 1035, Решение 1 (продолжение 2)
Алгебра, 10-11 класс Учебник, авторы: Алимов Шавкат Арифджанович, Колягин Юрий Михайлович, Ткачева Мария Владимировна, Федорова Надежда Евгеньевна, Шабунин Михаил Иванович, издательство Просвещение, Москва, 2014, страница 315, номер 1035, Решение 1 (продолжение 3)
Алгебра, 10-11 класс Учебник, авторы: Алимов Шавкат Арифджанович, Колягин Юрий Михайлович, Ткачева Мария Владимировна, Федорова Надежда Евгеньевна, Шабунин Михаил Иванович, издательство Просвещение, Москва, 2014, страница 315, номер 1035, Решение 1 (продолжение 4)
Решение 2. №1035 (с. 315)
Алгебра, 10-11 класс Учебник, авторы: Алимов Шавкат Арифджанович, Колягин Юрий Михайлович, Ткачева Мария Владимировна, Федорова Надежда Евгеньевна, Шабунин Михаил Иванович, издательство Просвещение, Москва, 2014, страница 315, номер 1035, Решение 2
Алгебра, 10-11 класс Учебник, авторы: Алимов Шавкат Арифджанович, Колягин Юрий Михайлович, Ткачева Мария Владимировна, Федорова Надежда Евгеньевна, Шабунин Михаил Иванович, издательство Просвещение, Москва, 2014, страница 315, номер 1035, Решение 2 (продолжение 2)
Алгебра, 10-11 класс Учебник, авторы: Алимов Шавкат Арифджанович, Колягин Юрий Михайлович, Ткачева Мария Владимировна, Федорова Надежда Евгеньевна, Шабунин Михаил Иванович, издательство Просвещение, Москва, 2014, страница 315, номер 1035, Решение 2 (продолжение 3)
Решение 4. №1035 (с. 315)
Алгебра, 10-11 класс Учебник, авторы: Алимов Шавкат Арифджанович, Колягин Юрий Михайлович, Ткачева Мария Владимировна, Федорова Надежда Евгеньевна, Шабунин Михаил Иванович, издательство Просвещение, Москва, 2014, страница 315, номер 1035, Решение 4
Алгебра, 10-11 класс Учебник, авторы: Алимов Шавкат Арифджанович, Колягин Юрий Михайлович, Ткачева Мария Владимировна, Федорова Надежда Евгеньевна, Шабунин Михаил Иванович, издательство Просвещение, Москва, 2014, страница 315, номер 1035, Решение 4 (продолжение 2)
Решение 5. №1035 (с. 315)
Алгебра, 10-11 класс Учебник, авторы: Алимов Шавкат Арифджанович, Колягин Юрий Михайлович, Ткачева Мария Владимировна, Федорова Надежда Евгеньевна, Шабунин Михаил Иванович, издательство Просвещение, Москва, 2014, страница 315, номер 1035, Решение 5
Алгебра, 10-11 класс Учебник, авторы: Алимов Шавкат Арифджанович, Колягин Юрий Михайлович, Ткачева Мария Владимировна, Федорова Надежда Евгеньевна, Шабунин Михаил Иванович, издательство Просвещение, Москва, 2014, страница 315, номер 1035, Решение 5 (продолжение 2)
Решение 7. №1035 (с. 315)
Алгебра, 10-11 класс Учебник, авторы: Алимов Шавкат Арифджанович, Колягин Юрий Михайлович, Ткачева Мария Владимировна, Федорова Надежда Евгеньевна, Шабунин Михаил Иванович, издательство Просвещение, Москва, 2014, страница 315, номер 1035, Решение 7 Алгебра, 10-11 класс Учебник, авторы: Алимов Шавкат Арифджанович, Колягин Юрий Михайлович, Ткачева Мария Владимировна, Федорова Надежда Евгеньевна, Шабунин Михаил Иванович, издательство Просвещение, Москва, 2014, страница 315, номер 1035, Решение 7 (продолжение 2) Алгебра, 10-11 класс Учебник, авторы: Алимов Шавкат Арифджанович, Колягин Юрий Михайлович, Ткачева Мария Владимировна, Федорова Надежда Евгеньевна, Шабунин Михаил Иванович, издательство Просвещение, Москва, 2014, страница 315, номер 1035, Решение 7 (продолжение 3)
Решение 8. №1035 (с. 315)

1) Фигура ограничена графиком функции $y = \sqrt{x}$, осью абсцисс $y=0$ и вертикальными прямыми $x=1$ и $x=4$. Данная фигура является криволинейной трапецией.

Площадь криволинейной трапеции, ограниченной графиком непрерывной и неотрицательной на отрезке $[a, b]$ функции $f(x)$, осью абсцисс и прямыми $x=a$ и $x=b$, вычисляется по формуле Ньютона-Лейбница:

$S = \int_{a}^{b} f(x)dx$

В нашем случае $f(x) = \sqrt{x}$, $a=1$, $b=4$. Функция $y=\sqrt{x}$ неотрицательна на отрезке $[1, 4]$.

Вычисляем определенный интеграл:

$S = \int_{1}^{4} \sqrt{x} dx = \int_{1}^{4} x^{\frac{1}{2}} dx = \left[ \frac{x^{\frac{1}{2}+1}}{\frac{1}{2}+1} \right]_{1}^{4} = \left[ \frac{x^{\frac{3}{2}}}{\frac{3}{2}} \right]_{1}^{4} = \left[ \frac{2}{3}x^{\frac{3}{2}} \right]_{1}^{4}$

Подставляем пределы интегрирования:

$S = \frac{2}{3}(4^{\frac{3}{2}}) - \frac{2}{3}(1^{\frac{3}{2}}) = \frac{2}{3}(\sqrt{4}^3) - \frac{2}{3}(1) = \frac{2}{3}(2^3) - \frac{2}{3} = \frac{2}{3}(8) - \frac{2}{3} = \frac{16}{3} - \frac{2}{3} = \frac{14}{3} = 4\frac{2}{3}$

Ответ: $4\frac{2}{3}$

2) Фигура ограничена графиком функции $y = \cos x$, осью абсцисс $y=0$ и вертикальными прямыми $x=0$ и $x=\frac{\pi}{3}$.

На отрезке $[0, \frac{\pi}{3}]$ функция $y = \cos x$ является непрерывной и неотрицательной (так как $\cos x \ge 0$ для $x \in [0, \frac{\pi}{2}]$). Следовательно, площадь фигуры можно найти как определенный интеграл:

$S = \int_{0}^{\frac{\pi}{3}} \cos x dx$

Находим первообразную для функции $f(x)=\cos x$, это $F(x)=\sin x$. Применяем формулу Ньютона-Лейбница:

$S = [\sin x]_{0}^{\frac{\pi}{3}} = \sin(\frac{\pi}{3}) - \sin(0)$

Мы знаем, что $\sin(\frac{\pi}{3}) = \frac{\sqrt{3}}{2}$ и $\sin(0) = 0$.

$S = \frac{\sqrt{3}}{2} - 0 = \frac{\sqrt{3}}{2}$

Ответ: $\frac{\sqrt{3}}{2}$

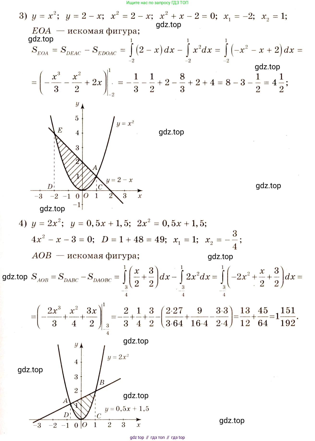
3) Фигура ограничена параболой $y = x^2$ и прямой $y = 2 - x$.

Сначала найдем точки пересечения графиков, чтобы определить пределы интегрирования. Для этого приравняем выражения для $y$:

$x^2 = 2 - x$

$x^2 + x - 2 = 0$

Решим это квадратное уравнение. По теореме Виета, корни уравнения $x_1 = -2$ и $x_2 = 1$. Это и будут наши пределы интегрирования $a=-2$ и $b=1$.

Теперь определим, какая из функций больше на интервале $(-2, 1)$. Возьмем любую точку из этого интервала, например, $x=0$:

Для $y = x^2$: $y(0) = 0^2 = 0$.

Для $y = 2 - x$: $y(0) = 2 - 0 = 2$.

Поскольку $2 > 0$, на интервале $[-2, 1]$ график прямой $y=2-x$ лежит выше графика параболы $y=x^2$.

Площадь фигуры вычисляется как интеграл от разности верхней и нижней функций:

$S = \int_{-2}^{1} ((2 - x) - x^2) dx = \int_{-2}^{1} (2 - x - x^2) dx$

Вычисляем интеграл:

$S = \left[ 2x - \frac{x^2}{2} - \frac{x^3}{3} \right]_{-2}^{1}$

Подставляем верхний предел $x=1$:

$2(1) - \frac{1^2}{2} - \frac{1^3}{3} = 2 - \frac{1}{2} - \frac{1}{3} = \frac{12-3-2}{6} = \frac{7}{6}$

Подставляем нижний предел $x=-2$:

$2(-2) - \frac{(-2)^2}{2} - \frac{(-2)^3}{3} = -4 - \frac{4}{2} - \frac{-8}{3} = -4 - 2 + \frac{8}{3} = -6 + \frac{8}{3} = \frac{-18+8}{3} = -\frac{10}{3}$

Вычитаем из значения на верхнем пределе значение на нижнем:

$S = \frac{7}{6} - (-\frac{10}{3}) = \frac{7}{6} + \frac{10}{3} = \frac{7}{6} + \frac{20}{6} = \frac{27}{6} = \frac{9}{2} = 4,5$

Ответ: $4,5$

4) Фигура ограничена параболой $y = 2x^2$ и прямой $y = 0,5x + 1,5$.

Найдем пределы интегрирования, определив абсциссы точек пересечения графиков. Приравняем правые части уравнений:

$2x^2 = 0,5x + 1,5$

Умножим обе части уравнения на 2, чтобы избавиться от дробей:

$4x^2 = x + 3$

$4x^2 - x - 3 = 0$

Решим полученное квадратное уравнение с помощью дискриминанта:

$D = b^2 - 4ac = (-1)^2 - 4(4)(-3) = 1 + 48 = 49 = 7^2$

$x_1 = \frac{-b + \sqrt{D}}{2a} = \frac{1 + 7}{2 \cdot 4} = \frac{8}{8} = 1$

$x_2 = \frac{-b - \sqrt{D}}{2a} = \frac{1 - 7}{2 \cdot 4} = \frac{-6}{8} = -\frac{3}{4}$

Пределы интегрирования: $a = -\frac{3}{4}$ и $b = 1$.

Определим, какая функция находится выше на интервале $(-\frac{3}{4}, 1)$. Возьмем пробную точку $x=0$:

Для $y = 2x^2$: $y(0) = 2 \cdot 0^2 = 0$.

Для $y = 0,5x + 1,5$: $y(0) = 0,5 \cdot 0 + 1,5 = 1,5$.

Так как $1,5 > 0$, график прямой $y = 0,5x + 1,5$ лежит выше графика параболы $y = 2x^2$ на данном интервале.

Площадь фигуры равна интегралу от разности верхней и нижней функций:

$S = \int_{-3/4}^{1} ((0,5x + 1,5) - 2x^2) dx = \int_{-3/4}^{1} (-2x^2 + 0,5x + 1,5) dx$

Находим первообразную:

$F(x) = -2\frac{x^3}{3} + 0,5\frac{x^2}{2} + 1,5x = -\frac{2}{3}x^3 + \frac{1}{4}x^2 + \frac{3}{2}x$

Вычисляем интеграл по формуле Ньютона-Лейбница $S = F(1) - F(-\frac{3}{4})$:

$F(1) = -\frac{2}{3}(1)^3 + \frac{1}{4}(1)^2 + \frac{3}{2}(1) = -\frac{2}{3} + \frac{1}{4} + \frac{3}{2} = \frac{-8 + 3 + 18}{12} = \frac{13}{12}$

$F(-\frac{3}{4}) = -\frac{2}{3}(-\frac{3}{4})^3 + \frac{1}{4}(-\frac{3}{4})^2 + \frac{3}{2}(-\frac{3}{4}) = -\frac{2}{3}(-\frac{27}{64}) + \frac{1}{4}(\frac{9}{16}) - \frac{9}{8} = \frac{2 \cdot 27}{3 \cdot 64} + \frac{9}{64} - \frac{9}{8} = \frac{9}{32} + \frac{9}{64} - \frac{9}{8} = \frac{18}{64} + \frac{9}{64} - \frac{72}{64} = \frac{27 - 72}{64} = -\frac{45}{64}$

Теперь находим площадь:

$S = \frac{13}{12} - (-\frac{45}{64}) = \frac{13}{12} + \frac{45}{64}$

Приводим дроби к общему знаменателю. Наименьший общий знаменатель для 12 и 64 это 192.

$S = \frac{13 \cdot 16}{192} + \frac{45 \cdot 3}{192} = \frac{208}{192} + \frac{135}{192} = \frac{208 + 135}{192} = \frac{343}{192}$

Ответ: $\frac{343}{192}$

Помогло решение? Оставьте отзыв в комментариях ниже.

Присоединяйтесь к Телеграм-группе @top_gdz

Присоединиться

Мы подготовили для вас ответ c подробным объяснением домашего задания по алгебре за 10-11 класс, для упражнения номер 1035 расположенного на странице 315 к учебнику 2014 года издания для учащихся школ и гимназий.

Теперь на нашем сайте ГДЗ.ТОП вы всегда легко и бесплатно найдёте условие с правильным ответом на вопрос «Как решить ДЗ» и «Как сделать» задание по алгебре к упражнению №1035 (с. 315), авторов: Алимов (Шавкат Арифджанович), Колягин (Юрий Михайлович), Ткачева (Мария Владимировна), Федорова (Надежда Евгеньевна), Шабунин (Михаил Иванович), ФГОС (старый) базовый и углублённый уровень обучения учебного пособия издательства Просвещение.