Номер 1042, страница 316 - гдз по алгебре 10-11 класс учебник Алимов, Колягин

Алгебра, 10-11 класс Учебник, авторы: Алимов Шавкат Арифджанович, Колягин Юрий Михайлович, Ткачева Мария Владимировна, Федорова Надежда Евгеньевна, Шабунин Михаил Иванович, издательство Просвещение, Москва, 2014

Авторы: Алимов Ш. А., Колягин Ю. М., Ткачева М. В., Федорова Н. Е., Шабунин М. И.

Тип: Учебник

Издательство: Просвещение

Год издания: 2014 - 2026

Уровень обучения: базовый и углублённый

Цвет обложки: синий, фиолетовый

ISBN: 978-5-09-112136-0

Допущено Министерством просвещения Российской Федерации

Математика: алгебра и начала математического анализа, геометрия

Глава 10. Интеграл. Упражнения к главе 10 - номер 1042, страница 316.

№1042 (с. 316)
Условие. №1042 (с. 316)
скриншот условия
Алгебра, 10-11 класс Учебник, авторы: Алимов Шавкат Арифджанович, Колягин Юрий Михайлович, Ткачева Мария Владимировна, Федорова Надежда Евгеньевна, Шабунин Михаил Иванович, издательство Просвещение, Москва, 2014, страница 316, номер 1042, Условие

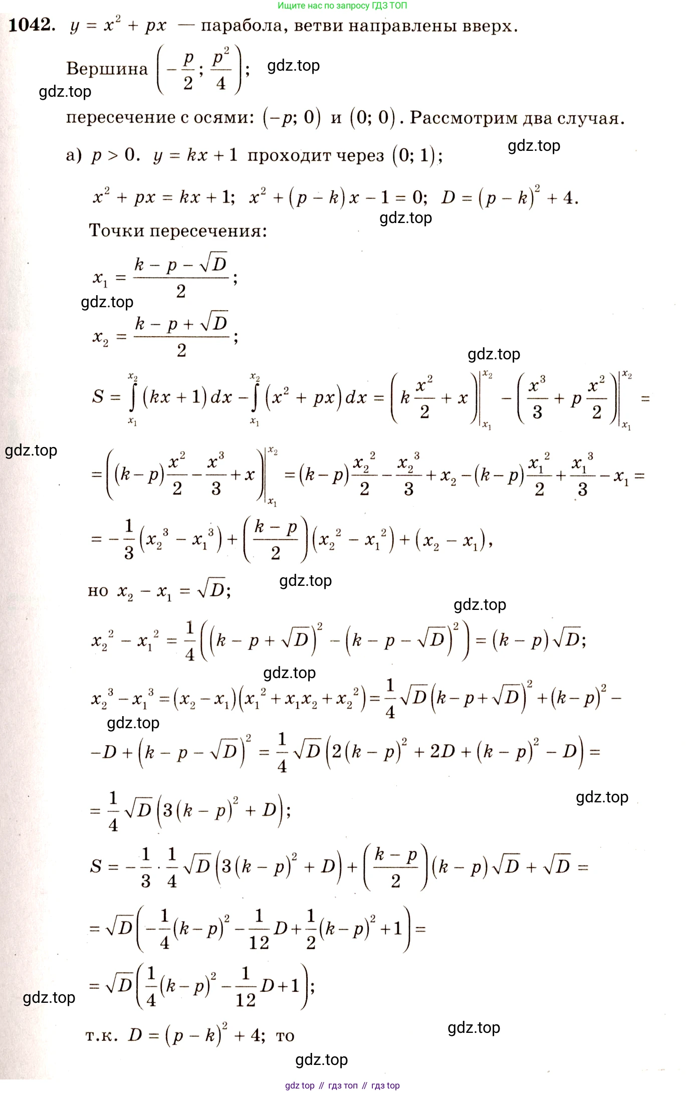
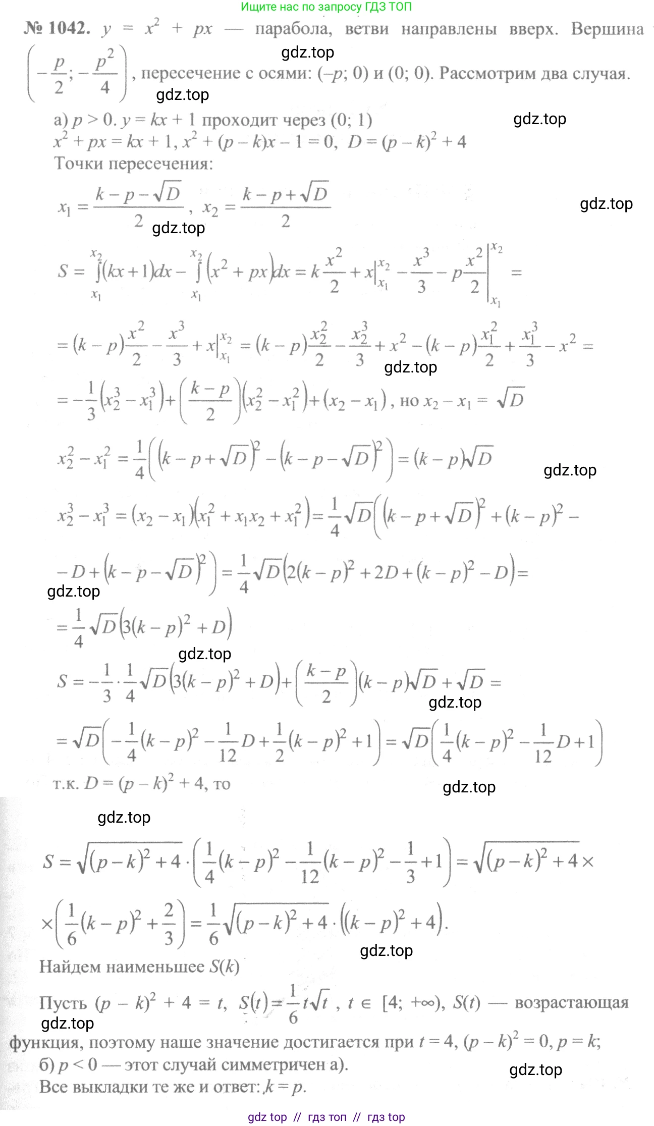
1042 При каком значении $k$ площадь фигуры, ограниченной параболой $y = x^2 + px$, где $p$ — заданное число, и прямой $y = kx + 1$, наименьшая?

Решение 1. №1042 (с. 316)
Алгебра, 10-11 класс Учебник, авторы: Алимов Шавкат Арифджанович, Колягин Юрий Михайлович, Ткачева Мария Владимировна, Федорова Надежда Евгеньевна, Шабунин Михаил Иванович, издательство Просвещение, Москва, 2014, страница 316, номер 1042, Решение 1
Решение 2. №1042 (с. 316)
Алгебра, 10-11 класс Учебник, авторы: Алимов Шавкат Арифджанович, Колягин Юрий Михайлович, Ткачева Мария Владимировна, Федорова Надежда Евгеньевна, Шабунин Михаил Иванович, издательство Просвещение, Москва, 2014, страница 316, номер 1042, Решение 2
Алгебра, 10-11 класс Учебник, авторы: Алимов Шавкат Арифджанович, Колягин Юрий Михайлович, Ткачева Мария Владимировна, Федорова Надежда Евгеньевна, Шабунин Михаил Иванович, издательство Просвещение, Москва, 2014, страница 316, номер 1042, Решение 2 (продолжение 2)
Решение 3. №1042 (с. 316)
Алгебра, 10-11 класс Учебник, авторы: Алимов Шавкат Арифджанович, Колягин Юрий Михайлович, Ткачева Мария Владимировна, Федорова Надежда Евгеньевна, Шабунин Михаил Иванович, издательство Просвещение, Москва, 2014, страница 316, номер 1042, Решение 3
Решение 4. №1042 (с. 316)
Алгебра, 10-11 класс Учебник, авторы: Алимов Шавкат Арифджанович, Колягин Юрий Михайлович, Ткачева Мария Владимировна, Федорова Надежда Евгеньевна, Шабунин Михаил Иванович, издательство Просвещение, Москва, 2014, страница 316, номер 1042, Решение 4
Алгебра, 10-11 класс Учебник, авторы: Алимов Шавкат Арифджанович, Колягин Юрий Михайлович, Ткачева Мария Владимировна, Федорова Надежда Евгеньевна, Шабунин Михаил Иванович, издательство Просвещение, Москва, 2014, страница 316, номер 1042, Решение 4 (продолжение 2)
Решение 5. №1042 (с. 316)
Алгебра, 10-11 класс Учебник, авторы: Алимов Шавкат Арифджанович, Колягин Юрий Михайлович, Ткачева Мария Владимировна, Федорова Надежда Евгеньевна, Шабунин Михаил Иванович, издательство Просвещение, Москва, 2014, страница 316, номер 1042, Решение 5 Алгебра, 10-11 класс Учебник, авторы: Алимов Шавкат Арифджанович, Колягин Юрий Михайлович, Ткачева Мария Владимировна, Федорова Надежда Евгеньевна, Шабунин Михаил Иванович, издательство Просвещение, Москва, 2014, страница 316, номер 1042, Решение 5 (продолжение 2)
Решение 7. №1042 (с. 316)
Алгебра, 10-11 класс Учебник, авторы: Алимов Шавкат Арифджанович, Колягин Юрий Михайлович, Ткачева Мария Владимировна, Федорова Надежда Евгеньевна, Шабунин Михаил Иванович, издательство Просвещение, Москва, 2014, страница 316, номер 1042, Решение 7 Алгебра, 10-11 класс Учебник, авторы: Алимов Шавкат Арифджанович, Колягин Юрий Михайлович, Ткачева Мария Владимировна, Федорова Надежда Евгеньевна, Шабунин Михаил Иванович, издательство Просвещение, Москва, 2014, страница 316, номер 1042, Решение 7 (продолжение 2)
Решение 8. №1042 (с. 316)

Для нахождения площади фигуры, ограниченной параболой $y = x^2 + px$ и прямой $y = kx + 1$, необходимо сначала определить точки их пересечения. Для этого приравняем правые части уравнений:

$x^2 + px = kx + 1$

Перенесем все члены в одну сторону, чтобы получить квадратное уравнение:

$x^2 + (p - k)x - 1 = 0$

Чтобы найти пределы интегрирования, нужно найти корни этого уравнения, которые мы обозначим как $x_1$ и $x_2$. Найдем дискриминант $D$ этого уравнения:

$D = (p - k)^2 - 4 \cdot 1 \cdot (-1) = (p - k)^2 + 4$

Так как $(p - k)^2 \ge 0$, дискриминант $D$ всегда положителен ($D \ge 4$). Это означает, что прямая и парабола всегда пересекаются в двух различных точках $x_1$ и $x_2$.

Площадь $S$ фигуры, ограниченной двумя кривыми, можно вычислить как интеграл от разности функций. Ветви параболы $y = x^2 + px$ направлены вверх, поэтому на интервале между точками пересечения $(x_1, x_2)$ прямая $y = kx + 1$ будет находиться выше параболы.

$S = \int_{x_1}^{x_2} ((kx + 1) - (x^2 + px)) \,dx = \int_{x_1}^{x_2} (-x^2 + (k-p)x + 1) \,dx$

Существует известная формула для площади криволинейной трапеции, ограниченной параболой $y = ax^2+bx+c$ и осью абсцисс между ее корнями $x_1$ и $x_2$: $S = \frac{|a|}{6}(x_2-x_1)^3$. В нашем случае подынтегральная функция $f(x) = -x^2 + (k-p)x + 1$ является параболой с коэффициентом $a = -1$, а $x_1$ и $x_2$ — ее корни. Таким образом, площадь можно вычислить по этой формуле:

$S = \frac{|-1|}{6}(x_2 - x_1)^3 = \frac{1}{6}(x_2 - x_1)^3$

Разность корней квадратного уравнения $Ax^2+Bx+C=0$ вычисляется как $x_2 - x_1 = \frac{\sqrt{D}}{|A|}$. Для нашего уравнения $x^2 + (p - k)x - 1 = 0$, где $A=1$, разность корней равна:

$x_2 - x_1 = \frac{\sqrt{(p-k)^2 + 4}}{1} = \sqrt{(p-k)^2 + 4}$

Теперь подставим это выражение в формулу для площади, чтобы получить зависимость площади $S$ от параметра $k$:

$S(k) = \frac{1}{6} (\sqrt{(p-k)^2 + 4})^3 = \frac{1}{6} ((p-k)^2 + 4)^{3/2}$

Нам необходимо найти значение $k$, при котором площадь $S(k)$ будет наименьшей. Функция $f(t) = t^{3/2}$ является монотонно возрастающей для $t > 0$. Следовательно, $S(k)$ достигает своего наименьшего значения тогда, когда выражение в основании степени, то есть $g(k) = (p-k)^2 + 4$, принимает наименьшее значение.

Выражение $g(k)$ представляет собой квадратичную функцию от $k$ (параболу с ветвями вверх). Ее минимальное значение достигается в вершине. Поскольку слагаемое $(p-k)^2$ всегда неотрицательно, его наименьшее значение равно 0. Это происходит при условии:

$p - k = 0$

Отсюда находим $k$:

$k = p$

Таким образом, площадь фигуры будет наименьшей при $k=p$.

Ответ: $k = p$.

Помогло решение? Оставьте отзыв в комментариях ниже.

Присоединяйтесь к Телеграм-группе @top_gdz

Присоединиться

Мы подготовили для вас ответ c подробным объяснением домашего задания по алгебре за 10-11 класс, для упражнения номер 1042 расположенного на странице 316 к учебнику 2014 года издания для учащихся школ и гимназий.

Теперь на нашем сайте ГДЗ.ТОП вы всегда легко и бесплатно найдёте условие с правильным ответом на вопрос «Как решить ДЗ» и «Как сделать» задание по алгебре к упражнению №1042 (с. 316), авторов: Алимов (Шавкат Арифджанович), Колягин (Юрий Михайлович), Ткачева (Мария Владимировна), Федорова (Надежда Евгеньевна), Шабунин (Михаил Иванович), ФГОС (старый) базовый и углублённый уровень обучения учебного пособия издательства Просвещение.