Номер 116, страница 38 - гдз по алгебре 10-11 класс учебник Алимов, Колягин

Алгебра, 10-11 класс Учебник, авторы: Алимов Шавкат Арифджанович, Колягин Юрий Михайлович, Ткачева Мария Владимировна, Федорова Надежда Евгеньевна, Шабунин Михаил Иванович, издательство Просвещение, Москва, 2014

Авторы: Алимов Ш. А., Колягин Ю. М., Ткачева М. В., Федорова Н. Е., Шабунин М. И.

Тип: Учебник

Издательство: Просвещение

Год издания: 2014 - 2026

Уровень обучения: базовый и углублённый

Цвет обложки: синий, фиолетовый

ISBN: 978-5-09-112136-0

Допущено Министерством просвещения Российской Федерации

Математика: алгебра и начала математического анализа, геометрия

Глава 1. Действительные числа. Упражнения к главе 1 - номер 116, страница 38.

№116 (с. 38)
Условие. №116 (с. 38)
скриншот условия
Алгебра, 10-11 класс Учебник, авторы: Алимов Шавкат Арифджанович, Колягин Юрий Михайлович, Ткачева Мария Владимировна, Федорова Надежда Евгеньевна, Шабунин Михаил Иванович, издательство Просвещение, Москва, 2014, страница 38, номер 116, Условие

116 1) $ \left( \frac{4a^2 - 9a^{-2}}{2a - 3a^{-1}} + \frac{a^2 - 4 + 3a^{-2}}{a - a^{-1}} \right)^2; $

2) $ \left( \frac{1}{(a+b)^{-2}} - \left( \frac{a-b}{a^3+b^3} \right)^{-1} \right) \cdot (ab)^{-1}. $

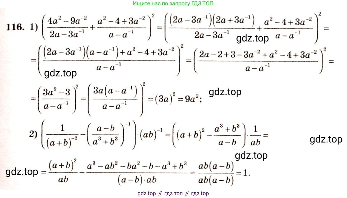
Решение 1. №116 (с. 38)
Алгебра, 10-11 класс Учебник, авторы: Алимов Шавкат Арифджанович, Колягин Юрий Михайлович, Ткачева Мария Владимировна, Федорова Надежда Евгеньевна, Шабунин Михаил Иванович, издательство Просвещение, Москва, 2014, страница 38, номер 116, Решение 1
Алгебра, 10-11 класс Учебник, авторы: Алимов Шавкат Арифджанович, Колягин Юрий Михайлович, Ткачева Мария Владимировна, Федорова Надежда Евгеньевна, Шабунин Михаил Иванович, издательство Просвещение, Москва, 2014, страница 38, номер 116, Решение 1 (продолжение 2)
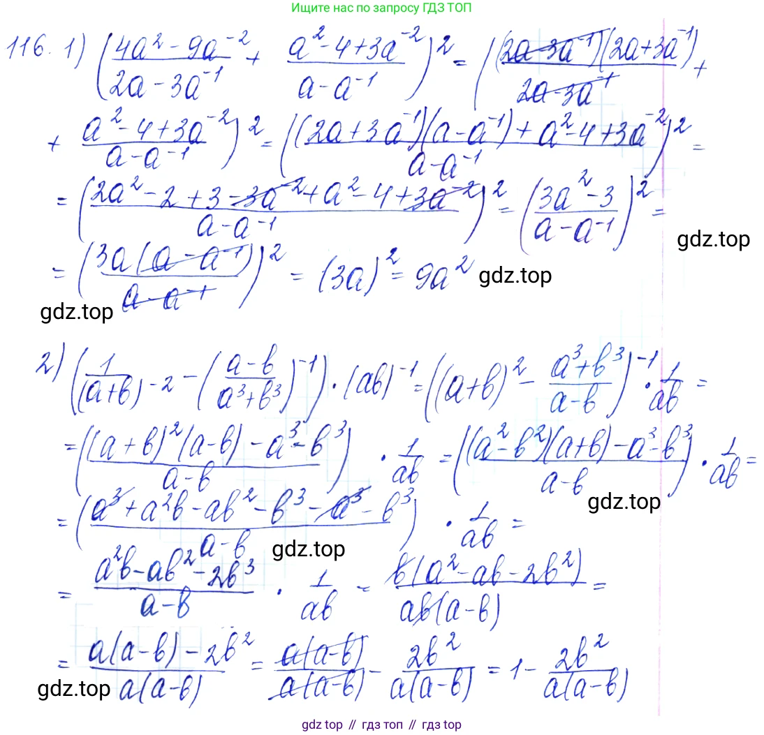
Решение 2. №116 (с. 38)
Алгебра, 10-11 класс Учебник, авторы: Алимов Шавкат Арифджанович, Колягин Юрий Михайлович, Ткачева Мария Владимировна, Федорова Надежда Евгеньевна, Шабунин Михаил Иванович, издательство Просвещение, Москва, 2014, страница 38, номер 116, Решение 2
Решение 3. №116 (с. 38)
Алгебра, 10-11 класс Учебник, авторы: Алимов Шавкат Арифджанович, Колягин Юрий Михайлович, Ткачева Мария Владимировна, Федорова Надежда Евгеньевна, Шабунин Михаил Иванович, издательство Просвещение, Москва, 2014, страница 38, номер 116, Решение 3
Решение 4. №116 (с. 38)
Алгебра, 10-11 класс Учебник, авторы: Алимов Шавкат Арифджанович, Колягин Юрий Михайлович, Ткачева Мария Владимировна, Федорова Надежда Евгеньевна, Шабунин Михаил Иванович, издательство Просвещение, Москва, 2014, страница 38, номер 116, Решение 4
Решение 5. №116 (с. 38)
Алгебра, 10-11 класс Учебник, авторы: Алимов Шавкат Арифджанович, Колягин Юрий Михайлович, Ткачева Мария Владимировна, Федорова Надежда Евгеньевна, Шабунин Михаил Иванович, издательство Просвещение, Москва, 2014, страница 38, номер 116, Решение 5 Алгебра, 10-11 класс Учебник, авторы: Алимов Шавкат Арифджанович, Колягин Юрий Михайлович, Ткачева Мария Владимировна, Федорова Надежда Евгеньевна, Шабунин Михаил Иванович, издательство Просвещение, Москва, 2014, страница 38, номер 116, Решение 5 (продолжение 2)
Решение 6. №116 (с. 38)
Алгебра, 10-11 класс Учебник, авторы: Алимов Шавкат Арифджанович, Колягин Юрий Михайлович, Ткачева Мария Владимировна, Федорова Надежда Евгеньевна, Шабунин Михаил Иванович, издательство Просвещение, Москва, 2014, страница 38, номер 116, Решение 6
Решение 7. №116 (с. 38)
Алгебра, 10-11 класс Учебник, авторы: Алимов Шавкат Арифджанович, Колягин Юрий Михайлович, Ткачева Мария Владимировна, Федорова Надежда Евгеньевна, Шабунин Михаил Иванович, издательство Просвещение, Москва, 2014, страница 38, номер 116, Решение 7
Решение 8. №116 (с. 38)

1) Упростим выражение по частям. Рассмотрим первое слагаемое в скобках:

$ \frac{4a^2 - 9a^{-2}}{2a - 3a^{-1}} $

Числитель является разностью квадратов $ (2a)^2 - (3a^{-1})^2 $. Разложим его по формуле $ x^2-y^2=(x-y)(x+y) $:

$ 4a^2 - 9a^{-2} = (2a - 3a^{-1})(2a + 3a^{-1}) $

Тогда первая дробь упрощается:

$ \frac{(2a - 3a^{-1})(2a + 3a^{-1})}{2a - 3a^{-1}} = 2a + 3a^{-1} $

Рассмотрим второе слагаемое в скобках:

$ \frac{a^2 - 4 + 3a^{-2}}{a - a^{-1}} $

Разложим числитель на множители. Для этого можно заметить, что его можно представить в виде произведения двух двучленов. Один из них, вероятно, совпадает со знаменателем. Проверим разложение $ (a-a^{-1})(a-3a^{-1}) $:

$ (a-a^{-1})(a-3a^{-1}) = a^2 - 3a \cdot a^{-1} - a^{-1} \cdot a + 3a^{-2} = a^2 - 3 - 1 + 3a^{-2} = a^2 - 4 + 3a^{-2} $.

Разложение верно. Тогда вторая дробь упрощается:

$ \frac{(a - a^{-1})(a - 3a^{-1})}{a - a^{-1}} = a - 3a^{-1} $

Теперь сложим полученные выражения и возведем в квадрат:

$ \left( (2a + 3a^{-1}) + (a - 3a^{-1}) \right)^2 = (2a + a + 3a^{-1} - 3a^{-1})^2 = (3a)^2 = 9a^2 $

Ответ: $9a^2$

2) Упростим выражение по действиям. Сначала выполним действия в скобках.

Преобразуем первый член в скобках, используя свойство степени $ x^{-n} = \frac{1}{x^n} $:

$ \frac{1}{(a+b)^{-2}} = (a+b)^2 $

Преобразуем второй член в скобках, используя свойство степени $ (\frac{x}{y})^{-1} = \frac{y}{x} $:

$ \left( \frac{a-b}{a^3+b^3} \right)^{-1} = \frac{a^3+b^3}{a-b} $

Теперь выполним вычитание в скобках:

$ (a+b)^2 - \frac{a^3+b^3}{a-b} $

Приведем к общему знаменателю $ (a-b) $:

$ \frac{(a+b)^2(a-b)}{a-b} - \frac{a^3+b^3}{a-b} = \frac{(a+b)^2(a-b) - (a^3+b^3)}{a-b} $

Раскроем числитель. Используем формулу суммы кубов $ a^3+b^3 = (a+b)(a^2-ab+b^2) $ и вынесем общий множитель $ (a+b) $:

$ \frac{(a+b)[(a+b)(a-b) - (a^2-ab+b^2)]}{a-b} $

Упростим выражение в квадратных скобках, используя формулу разности квадратов $ (a+b)(a-b) = a^2-b^2 $:

$ \frac{(a+b)[(a^2-b^2) - (a^2-ab+b^2)]}{a-b} = \frac{(a+b)(a^2-b^2-a^2+ab-b^2)}{a-b} = \frac{(a+b)(ab-2b^2)}{a-b} $

Вынесем $ b $ за скобки в числителе:

$ \frac{b(a+b)(a-2b)}{a-b} $

Теперь умножим полученное выражение на $ (ab)^{-1} = \frac{1}{ab} $:

$ \frac{b(a+b)(a-2b)}{a-b} \cdot \frac{1}{ab} $

Сократим $ b $ в числителе и знаменателе (при $ b \neq 0 $):

$ \frac{(a+b)(a-2b)}{a(a-b)} $

Ответ: $ \frac{(a+b)(a-2b)}{a(a-b)} $

Помогло решение? Оставьте отзыв в комментариях ниже.

Присоединяйтесь к Телеграм-группе @top_gdz

Присоединиться

Мы подготовили для вас ответ c подробным объяснением домашего задания по алгебре за 10-11 класс, для упражнения номер 116 расположенного на странице 38 к учебнику 2014 года издания для учащихся школ и гимназий.

Теперь на нашем сайте ГДЗ.ТОП вы всегда легко и бесплатно найдёте условие с правильным ответом на вопрос «Как решить ДЗ» и «Как сделать» задание по алгебре к упражнению №116 (с. 38), авторов: Алимов (Шавкат Арифджанович), Колягин (Юрий Михайлович), Ткачева (Мария Владимировна), Федорова (Надежда Евгеньевна), Шабунин (Михаил Иванович), ФГОС (старый) базовый и углублённый уровень обучения учебного пособия издательства Просвещение.