Номер 117, страница 38 - гдз по алгебре 10-11 класс учебник Алимов, Колягин

Алгебра, 10-11 класс Учебник, авторы: Алимов Шавкат Арифджанович, Колягин Юрий Михайлович, Ткачева Мария Владимировна, Федорова Надежда Евгеньевна, Шабунин Михаил Иванович, издательство Просвещение, Москва, 2014

Авторы: Алимов Ш. А., Колягин Ю. М., Ткачева М. В., Федорова Н. Е., Шабунин М. И.

Тип: Учебник

Издательство: Просвещение

Год издания: 2014 - 2026

Уровень обучения: базовый и углублённый

Цвет обложки: синий, фиолетовый

ISBN: 978-5-09-112136-0

Допущено Министерством просвещения Российской Федерации

Математика: алгебра и начала математического анализа, геометрия

Популярные ГДЗ в 10 классе

Глава 1. Действительные числа. Упражнения к главе 1 - номер 117, страница 38.

№117 (с. 38)
Условие. №117 (с. 38)
скриншот условия
Алгебра, 10-11 класс Учебник, авторы: Алимов Шавкат Арифджанович, Колягин Юрий Михайлович, Ткачева Мария Владимировна, Федорова Надежда Евгеньевна, Шабунин Михаил Иванович, издательство Просвещение, Москва, 2014, страница 38, номер 117, Условие

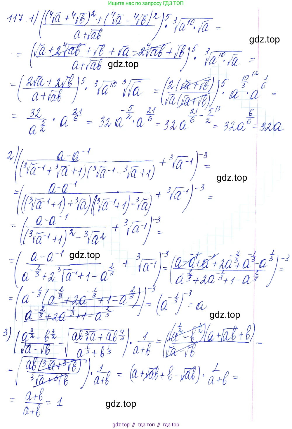
117 1) $\left(\frac{(\sqrt[4]{a} + \sqrt[4]{b})^2 + (\sqrt[4]{a} - \sqrt[4]{b})^2}{a + \sqrt{ab}}\right)^5 \cdot \sqrt[3]{a^{10}} \cdot \sqrt{a};$

2) $\left(\frac{a - a^{-1}}{(\sqrt[3]{a^{-1}} + \sqrt[3]{a} + 1)(\sqrt[3]{a^{-1}} - \sqrt[3]{a} + 1)} + \sqrt[3]{a^{-1}}\right)^{-3};$

3) $\left(\frac{a^{\frac{3}{2}} - b^{\frac{3}{2}}}{\sqrt{a} - \sqrt{b}} - \sqrt{\frac{ab\sqrt[3]{a} + ab^3}{a^{\frac{1}{3}} + b^{\frac{1}{3}}}}\right) \cdot \frac{1}{a+b}.$

Решение 1. №117 (с. 38)
Алгебра, 10-11 класс Учебник, авторы: Алимов Шавкат Арифджанович, Колягин Юрий Михайлович, Ткачева Мария Владимировна, Федорова Надежда Евгеньевна, Шабунин Михаил Иванович, издательство Просвещение, Москва, 2014, страница 38, номер 117, Решение 1
Алгебра, 10-11 класс Учебник, авторы: Алимов Шавкат Арифджанович, Колягин Юрий Михайлович, Ткачева Мария Владимировна, Федорова Надежда Евгеньевна, Шабунин Михаил Иванович, издательство Просвещение, Москва, 2014, страница 38, номер 117, Решение 1 (продолжение 2)
Решение 2. №117 (с. 38)
Алгебра, 10-11 класс Учебник, авторы: Алимов Шавкат Арифджанович, Колягин Юрий Михайлович, Ткачева Мария Владимировна, Федорова Надежда Евгеньевна, Шабунин Михаил Иванович, издательство Просвещение, Москва, 2014, страница 38, номер 117, Решение 2
Алгебра, 10-11 класс Учебник, авторы: Алимов Шавкат Арифджанович, Колягин Юрий Михайлович, Ткачева Мария Владимировна, Федорова Надежда Евгеньевна, Шабунин Михаил Иванович, издательство Просвещение, Москва, 2014, страница 38, номер 117, Решение 2 (продолжение 2)
Решение 3. №117 (с. 38)
Алгебра, 10-11 класс Учебник, авторы: Алимов Шавкат Арифджанович, Колягин Юрий Михайлович, Ткачева Мария Владимировна, Федорова Надежда Евгеньевна, Шабунин Михаил Иванович, издательство Просвещение, Москва, 2014, страница 38, номер 117, Решение 3
Решение 4. №117 (с. 38)
Алгебра, 10-11 класс Учебник, авторы: Алимов Шавкат Арифджанович, Колягин Юрий Михайлович, Ткачева Мария Владимировна, Федорова Надежда Евгеньевна, Шабунин Михаил Иванович, издательство Просвещение, Москва, 2014, страница 38, номер 117, Решение 4
Алгебра, 10-11 класс Учебник, авторы: Алимов Шавкат Арифджанович, Колягин Юрий Михайлович, Ткачева Мария Владимировна, Федорова Надежда Евгеньевна, Шабунин Михаил Иванович, издательство Просвещение, Москва, 2014, страница 38, номер 117, Решение 4 (продолжение 2)
Решение 5. №117 (с. 38)
Алгебра, 10-11 класс Учебник, авторы: Алимов Шавкат Арифджанович, Колягин Юрий Михайлович, Ткачева Мария Владимировна, Федорова Надежда Евгеньевна, Шабунин Михаил Иванович, издательство Просвещение, Москва, 2014, страница 38, номер 117, Решение 5
Решение 6. №117 (с. 38)
Алгебра, 10-11 класс Учебник, авторы: Алимов Шавкат Арифджанович, Колягин Юрий Михайлович, Ткачева Мария Владимировна, Федорова Надежда Евгеньевна, Шабунин Михаил Иванович, издательство Просвещение, Москва, 2014, страница 38, номер 117, Решение 6
Решение 7. №117 (с. 38)
Алгебра, 10-11 класс Учебник, авторы: Алимов Шавкат Арифджанович, Колягин Юрий Михайлович, Ткачева Мария Владимировна, Федорова Надежда Евгеньевна, Шабунин Михаил Иванович, издательство Просвещение, Москва, 2014, страница 38, номер 117, Решение 7 Алгебра, 10-11 класс Учебник, авторы: Алимов Шавкат Арифджанович, Колягин Юрий Михайлович, Ткачева Мария Владимировна, Федорова Надежда Евгеньевна, Шабунин Михаил Иванович, издательство Просвещение, Москва, 2014, страница 38, номер 117, Решение 7 (продолжение 2)
Решение 8. №117 (с. 38)

1)

Решим задачу по шагам, упрощая исходное выражение:

$\left( \frac{(\sqrt[4]{a} + \sqrt[4]{b})^2 + (\sqrt[4]{a} - \sqrt[4]{b})^2}{a + \sqrt{ab}} \right)^5 \cdot \sqrt[3]{a^{10}} \cdot \sqrt{a}$

1. Упростим числитель дроби в скобках, используя формулы сокращенного умножения $(x+y)^2 = x^2+2xy+y^2$ и $(x-y)^2 = x^2-2xy+y^2$:

$(\sqrt[4]{a} + \sqrt[4]{b})^2 + (\sqrt[4]{a} - \sqrt[4]{b})^2 = ((\sqrt[4]{a})^2 + 2\sqrt[4]{a}\sqrt[4]{b} + (\sqrt[4]{b})^2) + ((\sqrt[4]{a})^2 - 2\sqrt[4]{a}\sqrt[4]{b} + (\sqrt[4]{b})^2)$

$= \sqrt{a} + 2\sqrt[4]{ab} + \sqrt{b} + \sqrt{a} - 2\sqrt[4]{ab} + \sqrt{b} = 2\sqrt{a} + 2\sqrt{b} = 2(\sqrt{a} + \sqrt{b})$.

2. Упростим знаменатель дроби, вынеся общий множитель $\sqrt{a}$:

$a + \sqrt{ab} = (\sqrt{a})^2 + \sqrt{a}\sqrt{b} = \sqrt{a}(\sqrt{a} + \sqrt{b})$.

3. Подставим упрощенные числитель и знаменатель обратно в дробь:

$\frac{2(\sqrt{a} + \sqrt{b})}{\sqrt{a}(\sqrt{a} + \sqrt{b})} = \frac{2}{\sqrt{a}}$.

4. Теперь возведем полученное выражение в пятую степень:

$\left(\frac{2}{\sqrt{a}}\right)^5 = \frac{2^5}{(\sqrt{a})^5} = \frac{32}{a^{5/2}}$.

5. Упростим оставшуюся часть исходного выражения, представив корни в виде степеней:

$\sqrt[3]{a^{10}} \cdot \sqrt{a} = a^{10/3} \cdot a^{1/2}$.

6. Объединим все части и выполним умножение, складывая показатели степеней:

$\frac{32}{a^{5/2}} \cdot a^{10/3} \cdot a^{1/2} = 32 \cdot a^{-5/2 + 10/3 + 1/2} = 32 \cdot a^{(-5/2 + 1/2) + 10/3} = 32 \cdot a^{-4/2 + 10/3} = 32 \cdot a^{-2 + 10/3} = 32 \cdot a^{-6/3 + 10/3} = 32 \cdot a^{4/3}$.

Результат можно записать в виде корня: $32a^{4/3} = 32\sqrt[3]{a^4} = 32a\sqrt[3]{a}$.

Ответ: $32a\sqrt[3]{a}$.

2)

Рассмотрим выражение:

$\left( \frac{a - a^{-1}}{(\sqrt[3]{a^{-1}} + \sqrt[3]{a} + 1)(\sqrt[3]{a^{-1}} - \sqrt[3]{a} + 1)} + \sqrt[3]{a^{-1}} \right)^{-3}$

Заметим, что выражение в знаменателе, скорее всего, содержит опечатку. В задачах такого типа обычно предполагается, что выражение можно значительно упростить. Если предположить, что знаменатель является частью формулы разности кубов и должен быть равен $a^{2/3} + 1 + a^{-2/3}$, то решение будет следующим:

1. Разложим числитель $a - a^{-1}$ по формуле разности кубов $x^3-y^3 = (x-y)(x^2+xy+y^2)$, где $x=a^{1/3}$ и $y=a^{-1/3}$:

$a - a^{-1} = (a^{1/3})^3 - (a^{-1/3})^3 = (a^{1/3} - a^{-1/3})((a^{1/3})^2 + a^{1/3}a^{-1/3} + (a^{-1/3})^2) = (a^{1/3} - a^{-1/3})(a^{2/3} + 1 + a^{-2/3})$.

2. Примем, что знаменатель дроби равен $a^{2/3} + 1 + a^{-2/3}$. Тогда дробь упрощается:

$\frac{(a^{1/3} - a^{-1/3})(a^{2/3} + 1 + a^{-2/3})}{a^{2/3} + 1 + a^{-2/3}} = a^{1/3} - a^{-1/3}$.

3. Подставим упрощенную дробь обратно в выражение в скобках:

$(a^{1/3} - a^{-1/3}) + \sqrt[3]{a^{-1}} = (a^{1/3} - a^{-1/3}) + a^{-1/3} = a^{1/3}$.

4. Возведем полученный результат в степень -3:

$(a^{1/3})^{-3} = a^{(1/3) \cdot (-3)} = a^{-1} = \frac{1}{a}$.

Примечание: если решать задачу строго как написано, то знаменатель равен $(\sqrt[3]{a^{-1}}+1)^2 - (\sqrt[3]{a})^2 = a^{-2/3} + 2a^{-1/3} + 1 - a^{2/3}$, и выражение не упрощается до простого вида.

Ответ: $\frac{1}{a}$.

3)

Упростим выражение:

$\left( \frac{a^{3/2} - b^{3/2}}{\sqrt{a} - \sqrt{b}} - \sqrt{\frac{ab\sqrt[3]{a} + ab^{4/3}}{a^{1/3} + b^{1/3}}} \right) \cdot \frac{1}{a+b}$

1. Упростим первую дробь в скобках. Пусть $\sqrt{a}=x$ и $\sqrt{b}=y$. Тогда $a^{3/2}=x^3$ и $b^{3/2}=y^3$. Используем формулу разности кубов:

$\frac{x^3 - y^3}{x - y} = \frac{(x-y)(x^2+xy+y^2)}{x-y} = x^2+xy+y^2$.

Подставим обратно $\sqrt{a}$ и $\sqrt{b}$:

$(\sqrt{a})^2 + \sqrt{a}\sqrt{b} + (\sqrt{b})^2 = a + \sqrt{ab} + b$.

2. Упростим выражение под корнем во втором слагаемом. Сначала преобразуем числитель дроби под корнем:

$ab\sqrt[3]{a} + ab^{4/3} = a \cdot b \cdot a^{1/3} + a \cdot b^{4/3} = a^{4/3}b + ab^{4/3}$.

Вынесем общий множитель $ab$:

$ab(a^{1/3} + b^{1/3})$.

3. Теперь упростим всю дробь под корнем:

$\frac{ab(a^{1/3} + b^{1/3})}{a^{1/3} + b^{1/3}} = ab$.

4. Таким образом, второе слагаемое в скобках равно $\sqrt{ab}$.

5. Теперь выполним вычитание в скобках:

$(a + \sqrt{ab} + b) - \sqrt{ab} = a + b$.

6. Наконец, умножим результат на $\frac{1}{a+b}$:

$(a+b) \cdot \frac{1}{a+b} = 1$.

Ответ: $1$.

Помогло решение? Оставьте отзыв в комментариях ниже.

Присоединяйтесь к Телеграм-группе @top_gdz

Присоединиться

Мы подготовили для вас ответ c подробным объяснением домашего задания по алгебре за 10-11 класс, для упражнения номер 117 расположенного на странице 38 к учебнику 2014 года издания для учащихся школ и гимназий.

Теперь на нашем сайте ГДЗ.ТОП вы всегда легко и бесплатно найдёте условие с правильным ответом на вопрос «Как решить ДЗ» и «Как сделать» задание по алгебре к упражнению №117 (с. 38), авторов: Алимов (Шавкат Арифджанович), Колягин (Юрий Михайлович), Ткачева (Мария Владимировна), Федорова (Надежда Евгеньевна), Шабунин (Михаил Иванович), ФГОС (старый) базовый и углублённый уровень обучения учебного пособия издательства Просвещение.