Номер 115, страница 38 - гдз по алгебре 10-11 класс учебник Алимов, Колягин

Алгебра, 10-11 класс Учебник, авторы: Алимов Шавкат Арифджанович, Колягин Юрий Михайлович, Ткачева Мария Владимировна, Федорова Надежда Евгеньевна, Шабунин Михаил Иванович, издательство Просвещение, Москва, 2014

Авторы: Алимов Ш. А., Колягин Ю. М., Ткачева М. В., Федорова Н. Е., Шабунин М. И.

Тип: Учебник

Издательство: Просвещение

Год издания: 2014 - 2025

Уровень обучения: базовый и углублённый

Цвет обложки: синий, фиолетовый

ISBN: 978-5-09-112136-0

Допущено Министерством просвещения Российской Федерации

Математика: алгебра и начала математического анализа, геометрия

Популярные ГДЗ в 10 классе

Глава 1. Действительные числа. Упражнения к главе 1 - номер 115, страница 38.

№115 (с. 38)
Условие. №115 (с. 38)
скриншот условия
Алгебра, 10-11 класс Учебник, авторы: Алимов Шавкат Арифджанович, Колягин Юрий Михайлович, Ткачева Мария Владимировна, Федорова Надежда Евгеньевна, Шабунин Михаил Иванович, издательство Просвещение, Москва, 2014, страница 38, номер 115, Условие

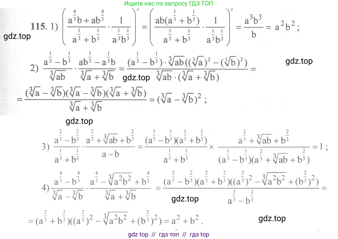
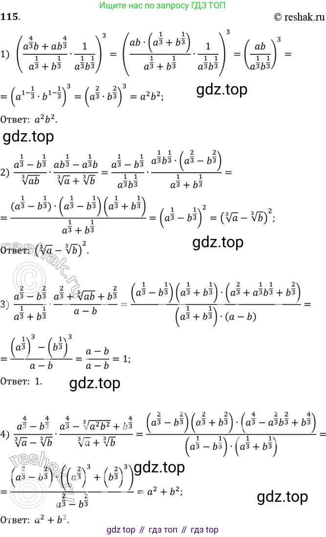
115 1) $\left(\frac{a^{\frac{4}{3}} b+a b^{\frac{4}{3}}}{a^{\frac{1}{3}}+b^{\frac{1}{3}}} \cdot \frac{1}{a^{\frac{1}{3}} b^{\frac{1}{3}}}\right)^{3}$;

2) $\frac{a^{\frac{1}{3}}-b^{\frac{1}{3}}}{\sqrt[3]{ab}} \cdot \frac{ab^{\frac{1}{3}}-a^{\frac{1}{3}} b}{\sqrt[3]{a}+\sqrt[3]{b}}$;

3) $\frac{a^{\frac{2}{3}}-b^{\frac{2}{3}}}{a^{\frac{1}{3}}+b^{\frac{1}{3}}} \cdot \frac{a^{\frac{2}{3}}+\sqrt[3]{ab}+b^{\frac{2}{3}}}{a-b}$;

4) $\frac{a^{\frac{4}{3}}-b^{\frac{4}{3}}}{\sqrt[3]{a}-\sqrt[3]{b}} \cdot \frac{a^{\frac{4}{3}}-\sqrt[3]{a^2 b^2}+b^{\frac{4}{3}}}{\sqrt[3]{a}+\sqrt[3]{b}}$.

Решение 1. №115 (с. 38)
Алгебра, 10-11 класс Учебник, авторы: Алимов Шавкат Арифджанович, Колягин Юрий Михайлович, Ткачева Мария Владимировна, Федорова Надежда Евгеньевна, Шабунин Михаил Иванович, издательство Просвещение, Москва, 2014, страница 38, номер 115, Решение 1
Алгебра, 10-11 класс Учебник, авторы: Алимов Шавкат Арифджанович, Колягин Юрий Михайлович, Ткачева Мария Владимировна, Федорова Надежда Евгеньевна, Шабунин Михаил Иванович, издательство Просвещение, Москва, 2014, страница 38, номер 115, Решение 1 (продолжение 2)
Алгебра, 10-11 класс Учебник, авторы: Алимов Шавкат Арифджанович, Колягин Юрий Михайлович, Ткачева Мария Владимировна, Федорова Надежда Евгеньевна, Шабунин Михаил Иванович, издательство Просвещение, Москва, 2014, страница 38, номер 115, Решение 1 (продолжение 3)
Алгебра, 10-11 класс Учебник, авторы: Алимов Шавкат Арифджанович, Колягин Юрий Михайлович, Ткачева Мария Владимировна, Федорова Надежда Евгеньевна, Шабунин Михаил Иванович, издательство Просвещение, Москва, 2014, страница 38, номер 115, Решение 1 (продолжение 4)
Решение 2. №115 (с. 38)
Алгебра, 10-11 класс Учебник, авторы: Алимов Шавкат Арифджанович, Колягин Юрий Михайлович, Ткачева Мария Владимировна, Федорова Надежда Евгеньевна, Шабунин Михаил Иванович, издательство Просвещение, Москва, 2014, страница 38, номер 115, Решение 2
Алгебра, 10-11 класс Учебник, авторы: Алимов Шавкат Арифджанович, Колягин Юрий Михайлович, Ткачева Мария Владимировна, Федорова Надежда Евгеньевна, Шабунин Михаил Иванович, издательство Просвещение, Москва, 2014, страница 38, номер 115, Решение 2 (продолжение 2)
Решение 4. №115 (с. 38)
Алгебра, 10-11 класс Учебник, авторы: Алимов Шавкат Арифджанович, Колягин Юрий Михайлович, Ткачева Мария Владимировна, Федорова Надежда Евгеньевна, Шабунин Михаил Иванович, издательство Просвещение, Москва, 2014, страница 38, номер 115, Решение 4
Алгебра, 10-11 класс Учебник, авторы: Алимов Шавкат Арифджанович, Колягин Юрий Михайлович, Ткачева Мария Владимировна, Федорова Надежда Евгеньевна, Шабунин Михаил Иванович, издательство Просвещение, Москва, 2014, страница 38, номер 115, Решение 4 (продолжение 2)
Решение 5. №115 (с. 38)
Алгебра, 10-11 класс Учебник, авторы: Алимов Шавкат Арифджанович, Колягин Юрий Михайлович, Ткачева Мария Владимировна, Федорова Надежда Евгеньевна, Шабунин Михаил Иванович, издательство Просвещение, Москва, 2014, страница 38, номер 115, Решение 5
Решение 6. №115 (с. 38)
Алгебра, 10-11 класс Учебник, авторы: Алимов Шавкат Арифджанович, Колягин Юрий Михайлович, Ткачева Мария Владимировна, Федорова Надежда Евгеньевна, Шабунин Михаил Иванович, издательство Просвещение, Москва, 2014, страница 38, номер 115, Решение 6
Решение 7. №115 (с. 38)
Алгебра, 10-11 класс Учебник, авторы: Алимов Шавкат Арифджанович, Колягин Юрий Михайлович, Ткачева Мария Владимировна, Федорова Надежда Евгеньевна, Шабунин Михаил Иванович, издательство Просвещение, Москва, 2014, страница 38, номер 115, Решение 7
Решение 8. №115 (с. 38)

1) Исходное выражение: $ \left( \frac{a^{\frac{4}{3}}b + ab^{\frac{4}{3}}}{a^{\frac{1}{3}} + b^{\frac{1}{3}}} \cdot \frac{1}{a^{\frac{1}{3}}b^{\frac{1}{3}}} \right)^3 $.

Сначала упростим выражение в скобках. Рассмотрим первую дробь: $ \frac{a^{\frac{4}{3}}b + ab^{\frac{4}{3}}}{a^{\frac{1}{3}} + b^{\frac{1}{3}}} $.

В числителе вынесем за скобки общий множитель $ab$.

$ a^{\frac{4}{3}}b + ab^{\frac{4}{3}} = ab(a^{\frac{1}{3}} + b^{\frac{1}{3}}) $.

Подставим это в первую дробь и сократим:

$ \frac{ab(a^{\frac{1}{3}} + b^{\frac{1}{3}})}{a^{\frac{1}{3}} + b^{\frac{1}{3}}} = ab $.

Теперь выражение в скобках принимает вид:

$ ab \cdot \frac{1}{a^{\frac{1}{3}}b^{\frac{1}{3}}} = \frac{ab}{(ab)^{\frac{1}{3}}} $.

Упростим, используя свойство степеней $ \frac{x^m}{x^n} = x^{m-n} $:

$ (ab)^{1 - \frac{1}{3}} = (ab)^{\frac{2}{3}} $.

Наконец, возведем полученное выражение в куб:

$ \left((ab)^{\frac{2}{3}}\right)^3 = (ab)^{\frac{2}{3} \cdot 3} = (ab)^2 = a^2b^2 $.

Ответ: $a^2b^2$

2) Исходное выражение: $ \frac{a^{\frac{1}{3}} - b^{\frac{1}{3}}}{\sqrt[3]{ab}} \cdot \frac{ab^{\frac{1}{3}} - a^{\frac{1}{3}}b}{\sqrt[3]{a} + \sqrt[3]{b}} $.

Перепишем все члены с использованием степеней:

$ \frac{a^{\frac{1}{3}} - b^{\frac{1}{3}}}{(ab)^{\frac{1}{3}}} \cdot \frac{ab^{\frac{1}{3}} - a^{\frac{1}{3}}b}{a^{\frac{1}{3}} + b^{\frac{1}{3}}} $.

Упростим числитель второй дроби $ ab^{\frac{1}{3}} - a^{\frac{1}{3}}b $. Вынесем за скобки общий множитель $ a^{\frac{1}{3}}b^{\frac{1}{3}} $:

$ a^{\frac{1}{3}}b^{\frac{1}{3}}(a^{\frac{2}{3}} - b^{\frac{2}{3}}) $.

Подставим это в исходное выражение:

$ \frac{a^{\frac{1}{3}} - b^{\frac{1}{3}}}{a^{\frac{1}{3}}b^{\frac{1}{3}}} \cdot \frac{a^{\frac{1}{3}}b^{\frac{1}{3}}(a^{\frac{2}{3}} - b^{\frac{2}{3}})}{a^{\frac{1}{3}} + b^{\frac{1}{3}}} $.

Сократим $ a^{\frac{1}{3}}b^{\frac{1}{3}} $:

$ (a^{\frac{1}{3}} - b^{\frac{1}{3}}) \cdot \frac{a^{\frac{2}{3}} - b^{\frac{2}{3}}}{a^{\frac{1}{3}} + b^{\frac{1}{3}}} $.

Применим формулу разности квадратов $ x^2 - y^2 = (x-y)(x+y) $ к числителю $ a^{\frac{2}{3}} - b^{\frac{2}{3}} = (a^{\frac{1}{3}})^2 - (b^{\frac{1}{3}})^2 $:

$ a^{\frac{2}{3}} - b^{\frac{2}{3}} = (a^{\frac{1}{3}} - b^{\frac{1}{3}})(a^{\frac{1}{3}} + b^{\frac{1}{3}}) $.

Выражение примет вид:

$ (a^{\frac{1}{3}} - b^{\frac{1}{3}}) \cdot \frac{(a^{\frac{1}{3}} - b^{\frac{1}{3}})(a^{\frac{1}{3}} + b^{\frac{1}{3}})}{a^{\frac{1}{3}} + b^{\frac{1}{3}}} $.

Сократим $ (a^{\frac{1}{3}} + b^{\frac{1}{3}}) $:

$ (a^{\frac{1}{3}} - b^{\frac{1}{3}}) \cdot (a^{\frac{1}{3}} - b^{\frac{1}{3}}) = (a^{\frac{1}{3}} - b^{\frac{1}{3}})^2 $.

Можно раскрыть скобки: $ (a^{\frac{1}{3}})^2 - 2a^{\frac{1}{3}}b^{\frac{1}{3}} + (b^{\frac{1}{3}})^2 = a^{\frac{2}{3}} - 2(ab)^{\frac{1}{3}} + b^{\frac{2}{3}} $.

Ответ: $(a^{\frac{1}{3}} - b^{\frac{1}{3}})^2$ или $a^{\frac{2}{3}} - 2\sqrt[3]{ab} + b^{\frac{2}{3}}$

3) Исходное выражение: $ \frac{a^{\frac{2}{3}} - b^{\frac{2}{3}}}{a^{\frac{1}{3}} + b^{\frac{1}{3}}} \cdot \frac{a^{\frac{2}{3}} + \sqrt[3]{ab} + b^{\frac{2}{3}}}{a - b} $.

Перепишем $ \sqrt[3]{ab} $ как $ (ab)^{\frac{1}{3}} $ или $ a^{\frac{1}{3}}b^{\frac{1}{3}} $.

Рассмотрим первую дробь. Применим к числителю формулу разности квадратов $ x^2 - y^2 = (x-y)(x+y) $:

$ a^{\frac{2}{3}} - b^{\frac{2}{3}} = (a^{\frac{1}{3}})^2 - (b^{\frac{1}{3}})^2 = (a^{\frac{1}{3}} - b^{\frac{1}{3}})(a^{\frac{1}{3}} + b^{\frac{1}{3}}) $.

Тогда первая дробь упрощается:

$ \frac{(a^{\frac{1}{3}} - b^{\frac{1}{3}})(a^{\frac{1}{3}} + b^{\frac{1}{3}})}{a^{\frac{1}{3}} + b^{\frac{1}{3}}} = a^{\frac{1}{3}} - b^{\frac{1}{3}} $.

Рассмотрим вторую дробь. Разложим знаменатель $ a - b $ по формуле разности кубов $ x^3 - y^3 = (x-y)(x^2+xy+y^2) $, представив $ a = (a^{\frac{1}{3}})^3 $ и $ b = (b^{\frac{1}{3}})^3 $:

$ a - b = (a^{\frac{1}{3}} - b^{\frac{1}{3}})((a^{\frac{1}{3}})^2 + a^{\frac{1}{3}}b^{\frac{1}{3}} + (b^{\frac{1}{3}})^2) = (a^{\frac{1}{3}} - b^{\frac{1}{3}})(a^{\frac{2}{3}} + a^{\frac{1}{3}}b^{\frac{1}{3}} + b^{\frac{2}{3}}) $.

Тогда вторая дробь упрощается:

$ \frac{a^{\frac{2}{3}} + a^{\frac{1}{3}}b^{\frac{1}{3}} + b^{\frac{2}{3}}}{(a^{\frac{1}{3}} - b^{\frac{1}{3}})(a^{\frac{2}{3}} + a^{\frac{1}{3}}b^{\frac{1}{3}} + b^{\frac{2}{3}})} = \frac{1}{a^{\frac{1}{3}} - b^{\frac{1}{3}}} $.

Теперь перемножим упрощенные дроби:

$ (a^{\frac{1}{3}} - b^{\frac{1}{3}}) \cdot \frac{1}{a^{\frac{1}{3}} - b^{\frac{1}{3}}} = 1 $.

Ответ: $1$

4) Исходное выражение: $ \frac{a^{\frac{4}{3}} - b^{\frac{4}{3}}}{\sqrt[3]{a} - \sqrt[3]{b}} \cdot \frac{a^{\frac{4}{3}} - \sqrt[3]{a^2b^2} + b^{\frac{4}{3}}}{\sqrt[3]{a} + \sqrt[3]{b}} $.

Перепишем все члены с использованием степеней:

$ \frac{a^{\frac{4}{3}} - b^{\frac{4}{3}}}{a^{\frac{1}{3}} - b^{\frac{1}{3}}} \cdot \frac{a^{\frac{4}{3}} - a^{\frac{2}{3}}b^{\frac{2}{3}} + b^{\frac{4}{3}}}{a^{\frac{1}{3}} + b^{\frac{1}{3}}} $.

Объединим дроби, перемножив их числители и знаменатели:

$ \frac{(a^{\frac{4}{3}} - b^{\frac{4}{3}})(a^{\frac{4}{3}} - a^{\frac{2}{3}}b^{\frac{2}{3}} + b^{\frac{4}{3}})}{(a^{\frac{1}{3}} - b^{\frac{1}{3}})(a^{\frac{1}{3}} + b^{\frac{1}{3}})} $.

Упростим знаменатель по формуле разности квадратов:

$ (a^{\frac{1}{3}} - b^{\frac{1}{3}})(a^{\frac{1}{3}} + b^{\frac{1}{3}}) = (a^{\frac{1}{3}})^2 - (b^{\frac{1}{3}})^2 = a^{\frac{2}{3}} - b^{\frac{2}{3}} $.

Упростим первый множитель в числителе, также используя формулу разности квадратов:

$ a^{\frac{4}{3}} - b^{\frac{4}{3}} = (a^{\frac{2}{3}})^2 - (b^{\frac{2}{3}})^2 = (a^{\frac{2}{3}} - b^{\frac{2}{3}})(a^{\frac{2}{3}} + b^{\frac{2}{3}}) $.

Подставим упрощенные выражения обратно в дробь:

$ \frac{(a^{\frac{2}{3}} - b^{\frac{2}{3}})(a^{\frac{2}{3}} + b^{\frac{2}{3}})(a^{\frac{4}{3}} - a^{\frac{2}{3}}b^{\frac{2}{3}} + b^{\frac{4}{3}})}{a^{\frac{2}{3}} - b^{\frac{2}{3}}} $.

Сократим общий множитель $ (a^{\frac{2}{3}} - b^{\frac{2}{3}}) $:

$ (a^{\frac{2}{3}} + b^{\frac{2}{3}})(a^{\frac{4}{3}} - a^{\frac{2}{3}}b^{\frac{2}{3}} + b^{\frac{4}{3}}) $.

Полученное выражение соответствует формуле суммы кубов $ (x+y)(x^2 - xy + y^2) = x^3 + y^3 $, где $ x = a^{\frac{2}{3}} $ и $ y = b^{\frac{2}{3}} $.

Действительно, $ x^2 = (a^{\frac{2}{3}})^2 = a^{\frac{4}{3}} $, $ y^2 = (b^{\frac{2}{3}})^2 = b^{\frac{4}{3}} $, и $ xy = a^{\frac{2}{3}}b^{\frac{2}{3}} $.

Следовательно, результат равен $ x^3 + y^3 $:

$ (a^{\frac{2}{3}})^3 + (b^{\frac{2}{3}})^3 = a^2 + b^2 $.

Ответ: $a^2 + b^2$

Помогло решение? Оставьте отзыв в комментариях ниже.

Присоединяйтесь к Телеграм-группе @top_gdz

Присоединиться

Мы подготовили для вас ответ c подробным объяснением домашего задания по алгебре за 10-11 класс, для упражнения номер 115 расположенного на странице 38 к учебнику 2014 года издания для учащихся школ и гимназий.

Теперь на нашем сайте ГДЗ.ТОП вы всегда легко и бесплатно найдёте условие с правильным ответом на вопрос «Как решить ДЗ» и «Как сделать» задание по алгебре к упражнению №115 (с. 38), авторов: Алимов (Шавкат Арифджанович), Колягин (Юрий Михайлович), Ткачева (Мария Владимировна), Федорова (Надежда Евгеньевна), Шабунин (Михаил Иванович), ФГОС (старый) базовый и углублённый уровень обучения учебного пособия издательства Просвещение.