Номер 114, страница 38 - гдз по алгебре 10-11 класс учебник Алимов, Колягин

Алгебра, 10-11 класс Учебник, авторы: Алимов Шавкат Арифджанович, Колягин Юрий Михайлович, Ткачева Мария Владимировна, Федорова Надежда Евгеньевна, Шабунин Михаил Иванович, издательство Просвещение, Москва, 2014

Авторы: Алимов Ш. А., Колягин Ю. М., Ткачева М. В., Федорова Н. Е., Шабунин М. И.

Тип: Учебник

Издательство: Просвещение

Год издания: 2014 - 2025

Уровень обучения: базовый и углублённый

Цвет обложки: синий, фиолетовый

ISBN: 978-5-09-112136-0

Допущено Министерством просвещения Российской Федерации

Математика: алгебра и начала математического анализа, геометрия

Популярные ГДЗ в 10 классе

Глава 1. Действительные числа. Упражнения к главе 1 - номер 114, страница 38.

№114 (с. 38)
Условие. №114 (с. 38)
скриншот условия
Алгебра, 10-11 класс Учебник, авторы: Алимов Шавкат Арифджанович, Колягин Юрий Михайлович, Ткачева Мария Владимировна, Федорова Надежда Евгеньевна, Шабунин Михаил Иванович, издательство Просвещение, Москва, 2014, страница 38, номер 114, Условие

Упростить выражение (114—117).

114 1) $\frac{\sqrt{x} - \sqrt{y}}{\sqrt[4]{x} - \sqrt[4]{y}} - \frac{\sqrt{x} + \sqrt[4]{xy}}{\sqrt[4]{x} + \sqrt[4]{y}};

2) $\frac{x - y}{\sqrt[3]{x} - \sqrt[3]{y}} - \frac{x + y}{\sqrt[3]{x} + \sqrt[3]{y}};

3) $\frac{\sqrt{x} - \sqrt[3]{y^2}}{\sqrt[4]{x} + \sqrt[3]{y}} + \sqrt[3]{y};

4) $\frac{x\sqrt{x} - y\sqrt{y}}{x\sqrt{y} - y\sqrt{x}} - 1.

Решение 1. №114 (с. 38)
Алгебра, 10-11 класс Учебник, авторы: Алимов Шавкат Арифджанович, Колягин Юрий Михайлович, Ткачева Мария Владимировна, Федорова Надежда Евгеньевна, Шабунин Михаил Иванович, издательство Просвещение, Москва, 2014, страница 38, номер 114, Решение 1
Алгебра, 10-11 класс Учебник, авторы: Алимов Шавкат Арифджанович, Колягин Юрий Михайлович, Ткачева Мария Владимировна, Федорова Надежда Евгеньевна, Шабунин Михаил Иванович, издательство Просвещение, Москва, 2014, страница 38, номер 114, Решение 1 (продолжение 2)
Алгебра, 10-11 класс Учебник, авторы: Алимов Шавкат Арифджанович, Колягин Юрий Михайлович, Ткачева Мария Владимировна, Федорова Надежда Евгеньевна, Шабунин Михаил Иванович, издательство Просвещение, Москва, 2014, страница 38, номер 114, Решение 1 (продолжение 3)
Алгебра, 10-11 класс Учебник, авторы: Алимов Шавкат Арифджанович, Колягин Юрий Михайлович, Ткачева Мария Владимировна, Федорова Надежда Евгеньевна, Шабунин Михаил Иванович, издательство Просвещение, Москва, 2014, страница 38, номер 114, Решение 1 (продолжение 4)
Решение 2. №114 (с. 38)
Алгебра, 10-11 класс Учебник, авторы: Алимов Шавкат Арифджанович, Колягин Юрий Михайлович, Ткачева Мария Владимировна, Федорова Надежда Евгеньевна, Шабунин Михаил Иванович, издательство Просвещение, Москва, 2014, страница 38, номер 114, Решение 2
Алгебра, 10-11 класс Учебник, авторы: Алимов Шавкат Арифджанович, Колягин Юрий Михайлович, Ткачева Мария Владимировна, Федорова Надежда Евгеньевна, Шабунин Михаил Иванович, издательство Просвещение, Москва, 2014, страница 38, номер 114, Решение 2 (продолжение 2)
Решение 4. №114 (с. 38)
Алгебра, 10-11 класс Учебник, авторы: Алимов Шавкат Арифджанович, Колягин Юрий Михайлович, Ткачева Мария Владимировна, Федорова Надежда Евгеньевна, Шабунин Михаил Иванович, издательство Просвещение, Москва, 2014, страница 38, номер 114, Решение 4
Решение 5. №114 (с. 38)
Алгебра, 10-11 класс Учебник, авторы: Алимов Шавкат Арифджанович, Колягин Юрий Михайлович, Ткачева Мария Владимировна, Федорова Надежда Евгеньевна, Шабунин Михаил Иванович, издательство Просвещение, Москва, 2014, страница 38, номер 114, Решение 5
Решение 6. №114 (с. 38)
Алгебра, 10-11 класс Учебник, авторы: Алимов Шавкат Арифджанович, Колягин Юрий Михайлович, Ткачева Мария Владимировна, Федорова Надежда Евгеньевна, Шабунин Михаил Иванович, издательство Просвещение, Москва, 2014, страница 38, номер 114, Решение 6
Решение 7. №114 (с. 38)
Алгебра, 10-11 класс Учебник, авторы: Алимов Шавкат Арифджанович, Колягин Юрий Михайлович, Ткачева Мария Владимировна, Федорова Надежда Евгеньевна, Шабунин Михаил Иванович, издательство Просвещение, Москва, 2014, страница 38, номер 114, Решение 7 Алгебра, 10-11 класс Учебник, авторы: Алимов Шавкат Арифджанович, Колягин Юрий Михайлович, Ткачева Мария Владимировна, Федорова Надежда Евгеньевна, Шабунин Михаил Иванович, издательство Просвещение, Москва, 2014, страница 38, номер 114, Решение 7 (продолжение 2)
Решение 8. №114 (с. 38)

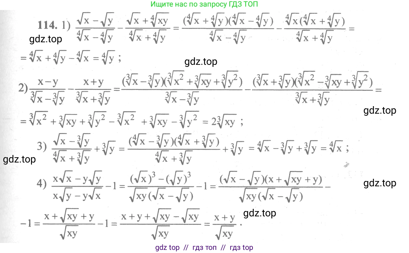
1) Упростим выражение $ \frac{\sqrt{x} - \sqrt{y}}{\sqrt[4]{x} - \sqrt[4]{y}} - \frac{\sqrt{x} + \sqrt[4]{xy}}{\sqrt[4]{x} + \sqrt[4]{y}} $.
Область допустимых значений (ОДЗ): $ x \ge 0, y \ge 0, \sqrt[4]{x} \ne \sqrt[4]{y} $.
Упростим первую дробь. Числитель $ \sqrt{x} - \sqrt{y} $ можно представить как разность квадратов, так как $ \sqrt{x} = (\sqrt[4]{x})^2 $ и $ \sqrt{y} = (\sqrt[4]{y})^2 $.
$ \sqrt{x} - \sqrt{y} = (\sqrt[4]{x})^2 - (\sqrt[4]{y})^2 = (\sqrt[4]{x} - \sqrt[4]{y})(\sqrt[4]{x} + \sqrt[4]{y}) $.
Тогда первая дробь равна:
$ \frac{(\sqrt[4]{x} - \sqrt[4]{y})(\sqrt[4]{x} + \sqrt[4]{y})}{\sqrt[4]{x} - \sqrt[4]{y}} = \sqrt[4]{x} + \sqrt[4]{y} $.
Теперь упростим вторую дробь. В числителе $ \sqrt{x} + \sqrt[4]{xy} $ вынесем общий множитель $ \sqrt[4]{x} $:
$ \sqrt{x} + \sqrt[4]{xy} = (\sqrt[4]{x})^2 + \sqrt[4]{x}\sqrt[4]{y} = \sqrt[4]{x}(\sqrt[4]{x} + \sqrt[4]{y}) $.
Тогда вторая дробь равна:
$ \frac{\sqrt[4]{x}(\sqrt[4]{x} + \sqrt[4]{y})}{\sqrt[4]{x} + \sqrt[4]{y}} = \sqrt[4]{x} $.
Подставим упрощенные дроби в исходное выражение:
$ (\sqrt[4]{x} + \sqrt[4]{y}) - \sqrt[4]{x} = \sqrt[4]{y} $.
Ответ: $ \sqrt[4]{y} $.

2) Упростим выражение $ \frac{x - y}{\sqrt[3]{x} - \sqrt[3]{y}} - \frac{x + y}{\sqrt[3]{x} + \sqrt[3]{y}} $.
Для упрощения первой дроби воспользуемся формулой разности кубов: $ a^3 - b^3 = (a-b)(a^2+ab+b^2) $.
Представим числитель $ x - y $ как $ (\sqrt[3]{x})^3 - (\sqrt[3]{y})^3 $:
$ x - y = (\sqrt[3]{x} - \sqrt[3]{y})(\sqrt[3]{x^2} + \sqrt[3]{xy} + \sqrt[3]{y^2}) $.
Тогда первая дробь равна:
$ \frac{(\sqrt[3]{x} - \sqrt[3]{y})(\sqrt[3]{x^2} + \sqrt[3]{xy} + \sqrt[3]{y^2})}{\sqrt[3]{x} - \sqrt[3]{y}} = \sqrt[3]{x^2} + \sqrt[3]{xy} + \sqrt[3]{y^2} $.
Для второй дроби воспользуемся формулой суммы кубов: $ a^3 + b^3 = (a+b)(a^2-ab+b^2) $.
Представим числитель $ x + y $ как $ (\sqrt[3]{x})^3 + (\sqrt[3]{y})^3 $:
$ x + y = (\sqrt[3]{x} + \sqrt[3]{y})(\sqrt[3]{x^2} - \sqrt[3]{xy} + \sqrt[3]{y^2}) $.
Тогда вторая дробь равна:
$ \frac{(\sqrt[3]{x} + \sqrt[3]{y})(\sqrt[3]{x^2} - \sqrt[3]{xy} + \sqrt[3]{y^2})}{\sqrt[3]{x} + \sqrt[3]{y}} = \sqrt[3]{x^2} - \sqrt[3]{xy} + \sqrt[3]{y^2} $.
Теперь вычтем второе упрощенное выражение из первого:
$ (\sqrt[3]{x^2} + \sqrt[3]{xy} + \sqrt[3]{y^2}) - (\sqrt[3]{x^2} - \sqrt[3]{xy} + \sqrt[3]{y^2}) = \sqrt[3]{x^2} + \sqrt[3]{xy} + \sqrt[3]{y^2} - \sqrt[3]{x^2} + \sqrt[3]{xy} - \sqrt[3]{y^2} = 2\sqrt[3]{xy} $.
Ответ: $ 2\sqrt[3]{xy} $.

3) Упростим выражение $ \frac{\sqrt{x} - \sqrt[3]{y^2}}{\sqrt[4]{x} + \sqrt[3]{y}} + \sqrt[3]{y} $.
ОДЗ: $ x \ge 0, \sqrt[4]{x} + \sqrt[3]{y} \ne 0 $.
Заметим, что $ \sqrt{x} = (\sqrt[4]{x})^2 $ и $ \sqrt[3]{y^2} = (\sqrt[3]{y})^2 $.
Тогда числитель первой дроби $ \sqrt{x} - \sqrt[3]{y^2} $ можно разложить по формуле разности квадратов:
$ \sqrt{x} - \sqrt[3]{y^2} = (\sqrt[4]{x})^2 - (\sqrt[3]{y})^2 = (\sqrt[4]{x} - \sqrt[3]{y})(\sqrt[4]{x} + \sqrt[3]{y}) $.
Подставим это в первую дробь:
$ \frac{(\sqrt[4]{x} - \sqrt[3]{y})(\sqrt[4]{x} + \sqrt[3]{y})}{\sqrt[4]{x} + \sqrt[3]{y}} = \sqrt[4]{x} - \sqrt[3]{y} $.
Теперь подставим упрощенную дробь в исходное выражение:
$ (\sqrt[4]{x} - \sqrt[3]{y}) + \sqrt[3]{y} = \sqrt[4]{x} $.
Ответ: $ \sqrt[4]{x} $.

4) Упростим выражение $ \frac{x\sqrt{x} - y\sqrt{y}}{x\sqrt{y} - y\sqrt{x}} - 1 $.
ОДЗ: $ x > 0, y > 0, x\sqrt{y} - y\sqrt{x} \ne 0 $ (т.е. $ x \ne y $).
Приведем выражение к общему знаменателю:
$ \frac{x\sqrt{x} - y\sqrt{y} - (x\sqrt{y} - y\sqrt{x})}{x\sqrt{y} - y\sqrt{x}} = \frac{x\sqrt{x} - y\sqrt{y} - x\sqrt{y} + y\sqrt{x}}{x\sqrt{y} - y\sqrt{x}} $.
Сгруппируем слагаемые в числителе:
$ (x\sqrt{x} - x\sqrt{y}) + (y\sqrt{x} - y\sqrt{y}) $.
Вынесем общие множители из каждой группы:
$ x(\sqrt{x} - \sqrt{y}) + y(\sqrt{x} - \sqrt{y}) $.
Вынесем общий множитель $ (\sqrt{x} - \sqrt{y}) $:
$ (x+y)(\sqrt{x} - \sqrt{y}) $.
Теперь преобразуем знаменатель, вынеся за скобки $ \sqrt{xy} $:
$ x\sqrt{y} - y\sqrt{x} = \sqrt{x^2}\sqrt{y} - \sqrt{y^2}\sqrt{x} = \sqrt{xy}(\sqrt{x} - \sqrt{y}) $.
Подставим преобразованные числитель и знаменатель в дробь:
$ \frac{(x+y)(\sqrt{x} - \sqrt{y})}{\sqrt{xy}(\sqrt{x} - \sqrt{y})} $.
Сократим дробь на $ (\sqrt{x} - \sqrt{y}) $:
$ \frac{x+y}{\sqrt{xy}} $.
Ответ: $ \frac{x+y}{\sqrt{xy}} $.

Помогло решение? Оставьте отзыв в комментариях ниже.

Присоединяйтесь к Телеграм-группе @top_gdz

Присоединиться

Мы подготовили для вас ответ c подробным объяснением домашего задания по алгебре за 10-11 класс, для упражнения номер 114 расположенного на странице 38 к учебнику 2014 года издания для учащихся школ и гимназий.

Теперь на нашем сайте ГДЗ.ТОП вы всегда легко и бесплатно найдёте условие с правильным ответом на вопрос «Как решить ДЗ» и «Как сделать» задание по алгебре к упражнению №114 (с. 38), авторов: Алимов (Шавкат Арифджанович), Колягин (Юрий Михайлович), Ткачева (Мария Владимировна), Федорова (Надежда Евгеньевна), Шабунин (Михаил Иванович), ФГОС (старый) базовый и углублённый уровень обучения учебного пособия издательства Просвещение.