Номер 108, страница 37 - гдз по алгебре 10-11 класс учебник Алимов, Колягин

Алгебра, 10-11 класс Учебник, авторы: Алимов Шавкат Арифджанович, Колягин Юрий Михайлович, Ткачева Мария Владимировна, Федорова Надежда Евгеньевна, Шабунин Михаил Иванович, издательство Просвещение, Москва, 2014

Авторы: Алимов Ш. А., Колягин Ю. М., Ткачева М. В., Федорова Н. Е., Шабунин М. И.

Тип: Учебник

Издательство: Просвещение

Год издания: 2014 - 2025

Уровень обучения: базовый и углублённый

Цвет обложки: синий, фиолетовый

ISBN: 978-5-09-112136-0

Допущено Министерством просвещения Российской Федерации

Математика: алгебра и начала математического анализа, геометрия

Популярные ГДЗ в 10 классе

Глава 1. Действительные числа. Упражнения к главе 1 - номер 108, страница 37.

№108 (с. 37)
Условие. №108 (с. 37)
скриншот условия
Алгебра, 10-11 класс Учебник, авторы: Алимов Шавкат Арифджанович, Колягин Юрий Михайлович, Ткачева Мария Владимировна, Федорова Надежда Евгеньевна, Шабунин Михаил Иванович, издательство Просвещение, Москва, 2014, страница 37, номер 108, Условие

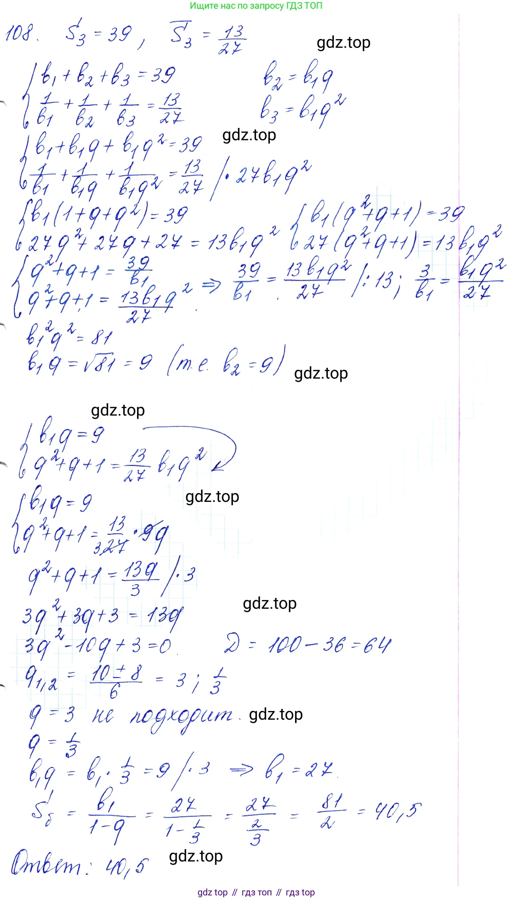
108 Найти сумму бесконечно убывающей геометрической прогрессии с положительными членами, если сумма первых трёх её членов равна 39, а сумма их обратных величин равна $\frac{13}{27}$.

Решение 1. №108 (с. 37)
Алгебра, 10-11 класс Учебник, авторы: Алимов Шавкат Арифджанович, Колягин Юрий Михайлович, Ткачева Мария Владимировна, Федорова Надежда Евгеньевна, Шабунин Михаил Иванович, издательство Просвещение, Москва, 2014, страница 37, номер 108, Решение 1
Решение 2. №108 (с. 37)
Алгебра, 10-11 класс Учебник, авторы: Алимов Шавкат Арифджанович, Колягин Юрий Михайлович, Ткачева Мария Владимировна, Федорова Надежда Евгеньевна, Шабунин Михаил Иванович, издательство Просвещение, Москва, 2014, страница 37, номер 108, Решение 2
Алгебра, 10-11 класс Учебник, авторы: Алимов Шавкат Арифджанович, Колягин Юрий Михайлович, Ткачева Мария Владимировна, Федорова Надежда Евгеньевна, Шабунин Михаил Иванович, издательство Просвещение, Москва, 2014, страница 37, номер 108, Решение 2 (продолжение 2)
Решение 3. №108 (с. 37)
Алгебра, 10-11 класс Учебник, авторы: Алимов Шавкат Арифджанович, Колягин Юрий Михайлович, Ткачева Мария Владимировна, Федорова Надежда Евгеньевна, Шабунин Михаил Иванович, издательство Просвещение, Москва, 2014, страница 37, номер 108, Решение 3
Решение 4. №108 (с. 37)
Алгебра, 10-11 класс Учебник, авторы: Алимов Шавкат Арифджанович, Колягин Юрий Михайлович, Ткачева Мария Владимировна, Федорова Надежда Евгеньевна, Шабунин Михаил Иванович, издательство Просвещение, Москва, 2014, страница 37, номер 108, Решение 4
Решение 5. №108 (с. 37)
Алгебра, 10-11 класс Учебник, авторы: Алимов Шавкат Арифджанович, Колягин Юрий Михайлович, Ткачева Мария Владимировна, Федорова Надежда Евгеньевна, Шабунин Михаил Иванович, издательство Просвещение, Москва, 2014, страница 37, номер 108, Решение 5
Решение 6. №108 (с. 37)
Алгебра, 10-11 класс Учебник, авторы: Алимов Шавкат Арифджанович, Колягин Юрий Михайлович, Ткачева Мария Владимировна, Федорова Надежда Евгеньевна, Шабунин Михаил Иванович, издательство Просвещение, Москва, 2014, страница 37, номер 108, Решение 6
Решение 7. №108 (с. 37)
Алгебра, 10-11 класс Учебник, авторы: Алимов Шавкат Арифджанович, Колягин Юрий Михайлович, Ткачева Мария Владимировна, Федорова Надежда Евгеньевна, Шабунин Михаил Иванович, издательство Просвещение, Москва, 2014, страница 37, номер 108, Решение 7 Алгебра, 10-11 класс Учебник, авторы: Алимов Шавкат Арифджанович, Колягин Юрий Михайлович, Ткачева Мария Владимировна, Федорова Надежда Евгеньевна, Шабунин Михаил Иванович, издательство Просвещение, Москва, 2014, страница 37, номер 108, Решение 7 (продолжение 2)
Решение 8. №108 (с. 37)

Пусть $b_1$ — первый член бесконечно убывающей геометрической прогрессии, а $q$ — её знаменатель. Из условия задачи следует, что все члены прогрессии положительны и она является убывающей, поэтому $b_1 > 0$ и $0 < q < 1$.

Сумма первых трёх членов прогрессии равна 39. Это можно записать в виде уравнения: $S_3 = b_1 + b_2 + b_3 = b_1 + b_1q + b_1q^2 = 39$. Вынесем $b_1$ за скобку: $b_1(1 + q + q^2) = 39 \quad (1)$

Сумма обратных величин первых трёх членов равна $\frac{13}{27}$. Запишем второе уравнение: $\frac{1}{b_1} + \frac{1}{b_2} + \frac{1}{b_3} = \frac{1}{b_1} + \frac{1}{b_1q} + \frac{1}{b_1q^2} = \frac{13}{27}$. Приведём дроби в левой части к общему знаменателю $b_1q^2$: $\frac{q^2 + q + 1}{b_1q^2} = \frac{13}{27} \quad (2)$

Мы получили систему из двух уравнений с двумя неизвестными $b_1$ и $q$: $$ \begin{cases} b_1(1 + q + q^2) = 39 \\ \frac{1 + q + q^2}{b_1q^2} = \frac{13}{27} \end{cases} $$

Из уравнения (1) выразим сумму $(1 + q + q^2) = \frac{39}{b_1}$ и подставим это выражение в уравнение (2): $$ \frac{\frac{39}{b_1}}{b_1q^2} = \frac{13}{27} $$ $$ \frac{39}{b_1^2q^2} = \frac{13}{27} $$

Теперь выразим из этого уравнения произведение $b_1^2q^2$: $$ b_1^2q^2 = \frac{39 \cdot 27}{13} = 3 \cdot 27 = 81 $$ Так как $b_1 > 0$ и $q > 0$, то $b_1q > 0$. Можем извлечь квадратный корень: $$ b_1q = \sqrt{81} = 9 $$ Отсюда выразим $b_1$ через $q$: $$ b_1 = \frac{9}{q} $$

Подставим полученное выражение для $b_1$ в уравнение (1): $$ \frac{9}{q}(1 + q + q^2) = 39 $$ Разделим обе части уравнения на 3: $$ \frac{3}{q}(1 + q + q^2) = 13 $$ Умножим обе части на $q$ (так как $q \neq 0$): $$ 3(1 + q + q^2) = 13q $$ Раскроем скобки и приведём подобные слагаемые, чтобы получить квадратное уравнение: $$ 3 + 3q + 3q^2 = 13q $$ $$ 3q^2 - 10q + 3 = 0 $$

Решим это квадратное уравнение. Найдем дискриминант $D$: $$ D = (-10)^2 - 4 \cdot 3 \cdot 3 = 100 - 36 = 64 $$ $$ \sqrt{D} = 8 $$ Найдем корни уравнения: $$ q_1 = \frac{10 + 8}{2 \cdot 3} = \frac{18}{6} = 3 $$ $$ q_2 = \frac{10 - 8}{2 \cdot 3} = \frac{2}{6} = \frac{1}{3} $$

Согласно условию, геометрическая прогрессия является бесконечно убывающей, что означает, что модуль ее знаменателя должен быть меньше единицы: $|q| < 1$. Корень $q_1 = 3$ не удовлетворяет этому условию. Корень $q_2 = \frac{1}{3}$ удовлетворяет условию ($0 < \frac{1}{3} < 1$). Следовательно, знаменатель прогрессии $q = \frac{1}{3}$.

Теперь найдем первый член прогрессии $b_1$: $$ b_1 = \frac{9}{q} = \frac{9}{1/3} = 27 $$

Наконец, найдем сумму бесконечно убывающей геометрической прогрессии по формуле $S = \frac{b_1}{1 - q}$: $$ S = \frac{27}{1 - \frac{1}{3}} = \frac{27}{\frac{2}{3}} = 27 \cdot \frac{3}{2} = \frac{81}{2} = 40,5 $$

Ответ: 40,5.

Помогло решение? Оставьте отзыв в комментариях ниже.

Присоединяйтесь к Телеграм-группе @top_gdz

Присоединиться

Мы подготовили для вас ответ c подробным объяснением домашего задания по алгебре за 10-11 класс, для упражнения номер 108 расположенного на странице 37 к учебнику 2014 года издания для учащихся школ и гимназий.

Теперь на нашем сайте ГДЗ.ТОП вы всегда легко и бесплатно найдёте условие с правильным ответом на вопрос «Как решить ДЗ» и «Как сделать» задание по алгебре к упражнению №108 (с. 37), авторов: Алимов (Шавкат Арифджанович), Колягин (Юрий Михайлович), Ткачева (Мария Владимировна), Федорова (Надежда Евгеньевна), Шабунин (Михаил Иванович), ФГОС (старый) базовый и углублённый уровень обучения учебного пособия издательства Просвещение.