Номер 106, страница 37 - гдз по алгебре 10-11 класс учебник Алимов, Колягин

Алгебра, 10-11 класс Учебник, авторы: Алимов Шавкат Арифджанович, Колягин Юрий Михайлович, Ткачева Мария Владимировна, Федорова Надежда Евгеньевна, Шабунин Михаил Иванович, издательство Просвещение, Москва, 2014

Авторы: Алимов Ш. А., Колягин Ю. М., Ткачева М. В., Федорова Н. Е., Шабунин М. И.

Тип: Учебник

Издательство: Просвещение

Год издания: 2014 - 2025

Уровень обучения: базовый и углублённый

Цвет обложки: синий, фиолетовый

ISBN: 978-5-09-112136-0

Допущено Министерством просвещения Российской Федерации

Математика: алгебра и начала математического анализа, геометрия

Популярные ГДЗ в 10 классе

Глава 1. Действительные числа. Упражнения к главе 1 - номер 106, страница 37.

№106 (с. 37)
Условие. №106 (с. 37)
скриншот условия
Алгебра, 10-11 класс Учебник, авторы: Алимов Шавкат Арифджанович, Колягин Юрий Михайлович, Ткачева Мария Владимировна, Федорова Надежда Евгеньевна, Шабунин Михаил Иванович, издательство Просвещение, Москва, 2014, страница 37, номер 106, Условие

106 Показать, что геометрическая прогрессия является бесконечно убывающей, если:

1) $b_2 = -81$, $S_2 = 162$;

2) $b_2 = 33$, $S_2 = 67$;

3) $b_1 + b_2 = 130$, $b_1 - b_3 = 120$;

4) $b_2 + b_4 = 68$, $b_2 - b_4 = 60$.

Решение 1. №106 (с. 37)
Алгебра, 10-11 класс Учебник, авторы: Алимов Шавкат Арифджанович, Колягин Юрий Михайлович, Ткачева Мария Владимировна, Федорова Надежда Евгеньевна, Шабунин Михаил Иванович, издательство Просвещение, Москва, 2014, страница 37, номер 106, Решение 1
Алгебра, 10-11 класс Учебник, авторы: Алимов Шавкат Арифджанович, Колягин Юрий Михайлович, Ткачева Мария Владимировна, Федорова Надежда Евгеньевна, Шабунин Михаил Иванович, издательство Просвещение, Москва, 2014, страница 37, номер 106, Решение 1 (продолжение 2)
Алгебра, 10-11 класс Учебник, авторы: Алимов Шавкат Арифджанович, Колягин Юрий Михайлович, Ткачева Мария Владимировна, Федорова Надежда Евгеньевна, Шабунин Михаил Иванович, издательство Просвещение, Москва, 2014, страница 37, номер 106, Решение 1 (продолжение 3)
Алгебра, 10-11 класс Учебник, авторы: Алимов Шавкат Арифджанович, Колягин Юрий Михайлович, Ткачева Мария Владимировна, Федорова Надежда Евгеньевна, Шабунин Михаил Иванович, издательство Просвещение, Москва, 2014, страница 37, номер 106, Решение 1 (продолжение 4)
Решение 2. №106 (с. 37)
Алгебра, 10-11 класс Учебник, авторы: Алимов Шавкат Арифджанович, Колягин Юрий Михайлович, Ткачева Мария Владимировна, Федорова Надежда Евгеньевна, Шабунин Михаил Иванович, издательство Просвещение, Москва, 2014, страница 37, номер 106, Решение 2
Алгебра, 10-11 класс Учебник, авторы: Алимов Шавкат Арифджанович, Колягин Юрий Михайлович, Ткачева Мария Владимировна, Федорова Надежда Евгеньевна, Шабунин Михаил Иванович, издательство Просвещение, Москва, 2014, страница 37, номер 106, Решение 2 (продолжение 2)
Решение 4. №106 (с. 37)
Алгебра, 10-11 класс Учебник, авторы: Алимов Шавкат Арифджанович, Колягин Юрий Михайлович, Ткачева Мария Владимировна, Федорова Надежда Евгеньевна, Шабунин Михаил Иванович, издательство Просвещение, Москва, 2014, страница 37, номер 106, Решение 4
Решение 5. №106 (с. 37)
Алгебра, 10-11 класс Учебник, авторы: Алимов Шавкат Арифджанович, Колягин Юрий Михайлович, Ткачева Мария Владимировна, Федорова Надежда Евгеньевна, Шабунин Михаил Иванович, издательство Просвещение, Москва, 2014, страница 37, номер 106, Решение 5
Решение 6. №106 (с. 37)
Алгебра, 10-11 класс Учебник, авторы: Алимов Шавкат Арифджанович, Колягин Юрий Михайлович, Ткачева Мария Владимировна, Федорова Надежда Евгеньевна, Шабунин Михаил Иванович, издательство Просвещение, Москва, 2014, страница 37, номер 106, Решение 6
Решение 7. №106 (с. 37)
Алгебра, 10-11 класс Учебник, авторы: Алимов Шавкат Арифджанович, Колягин Юрий Михайлович, Ткачева Мария Владимировна, Федорова Надежда Евгеньевна, Шабунин Михаил Иванович, издательство Просвещение, Москва, 2014, страница 37, номер 106, Решение 7 Алгебра, 10-11 класс Учебник, авторы: Алимов Шавкат Арифджанович, Колягин Юрий Михайлович, Ткачева Мария Владимировна, Федорова Надежда Евгеньевна, Шабунин Михаил Иванович, издательство Просвещение, Москва, 2014, страница 37, номер 106, Решение 7 (продолжение 2) Алгебра, 10-11 класс Учебник, авторы: Алимов Шавкат Арифджанович, Колягин Юрий Михайлович, Ткачева Мария Владимировна, Федорова Надежда Евгеньевна, Шабунин Михаил Иванович, издательство Просвещение, Москва, 2014, страница 37, номер 106, Решение 7 (продолжение 3)
Решение 8. №106 (с. 37)

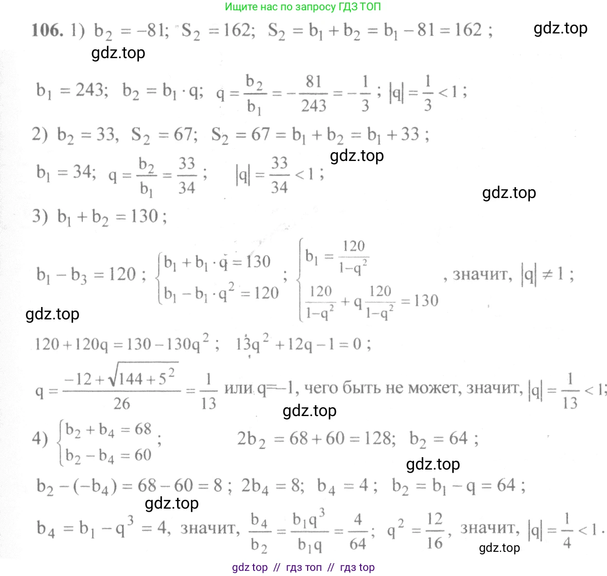
Геометрическая прогрессия называется бесконечно убывающей, если модуль ее знаменателя $q$ меньше единицы, то есть $|q| < 1$. Чтобы доказать, что данная прогрессия является бесконечно убывающей, необходимо в каждом случае найти ее знаменатель $q$ и убедиться, что он удовлетворяет этому условию.

1)

По условию даны второй член прогрессии $b_2 = -81$ и сумма первых двух членов $S_2 = b_1 + b_2 = 162$.

Сначала найдем первый член прогрессии $b_1$:
$b_1 + b_2 = 162$
$b_1 + (-81) = 162$
$b_1 = 162 + 81 = 243$.

Теперь, используя формулу для n-го члена геометрической прогрессии $b_n = b_1 q^{n-1}$, найдем знаменатель $q$ из выражения для второго члена $b_2 = b_1 q$:
$-81 = 243 \cdot q$
$q = \frac{-81}{243} = -\frac{1}{3}$.

Проверим условие бесконечного убывания прогрессии:
$|q| = |-\frac{1}{3}| = \frac{1}{3}$.
Так как $\frac{1}{3} < 1$, прогрессия является бесконечно убывающей.

Ответ: Прогрессия является бесконечно убывающей, так как $|q| < 1$.

2)

По условию $b_2 = 33$ и $S_2 = b_1 + b_2 = 67$.

Найдем первый член $b_1$:
$b_1 + 33 = 67$
$b_1 = 67 - 33 = 34$.

Найдем знаменатель $q$ из формулы $b_2 = b_1 q$:
$33 = 34 \cdot q$
$q = \frac{33}{34}$.

Проверим условие $|q| < 1$:
$|q| = |\frac{33}{34}| = \frac{33}{34}$.
Так как $\frac{33}{34} < 1$, прогрессия является бесконечно убывающей.

Ответ: Прогрессия является бесконечно убывающей, так как $|q| < 1$.

3)

По условию $b_1 + b_2 = 130$ и $b_1 - b_3 = 120$. Выразим $b_2$ и $b_3$ через $b_1$ и $q$:
$b_2 = b_1 q$
$b_3 = b_1 q^2$.

Подставим эти выражения в исходные уравнения, получим систему:
$\begin{cases} b_1 + b_1 q = 130 \\ b_1 - b_1 q^2 = 120 \end{cases}$

Вынесем $b_1$ за скобки в обоих уравнениях:
$\begin{cases} b_1(1 + q) = 130 \\ b_1(1 - q^2) = 120 \end{cases}$

Используя формулу разности квадратов $1 - q^2 = (1-q)(1+q)$, перепишем второе уравнение:
$b_1(1-q)(1+q) = 120$.

Теперь подставим в него выражение $b_1(1+q)$ из первого уравнения:
$130 \cdot (1-q) = 120$
$1 - q = \frac{120}{130} = \frac{12}{13}$
$q = 1 - \frac{12}{13} = \frac{1}{13}$.

Проверим условие $|q| < 1$:
$|q| = |\frac{1}{13}| = \frac{1}{13}$.
Так как $\frac{1}{13} < 1$, прогрессия является бесконечно убывающей.

Ответ: Прогрессия является бесконечно убывающей, так как $|q| < 1$.

4)

По условию $b_2 + b_4 = 68$ и $b_2 - b_4 = 60$. Решим эту систему линейных уравнений относительно $b_2$ и $b_4$.

Сложим два уравнения:
$(b_2 + b_4) + (b_2 - b_4) = 68 + 60$
$2b_2 = 128$
$b_2 = 64$.

Подставим найденное значение $b_2$ в первое уравнение, чтобы найти $b_4$:
$64 + b_4 = 68$
$b_4 = 68 - 64 = 4$.

Теперь воспользуемся формулой, связывающей члены прогрессии: $b_4 = b_2 q^{4-2} = b_2 q^2$.
$4 = 64 \cdot q^2$
$q^2 = \frac{4}{64} = \frac{1}{16}$.

Из этого уравнения находим два возможных значения для знаменателя: $q = \frac{1}{4}$ или $q = -\frac{1}{4}$.

Проверим условие $|q| < 1$ для обоих возможных значений $q$:
1. Если $q = \frac{1}{4}$, то $|q| = |\frac{1}{4}| = \frac{1}{4} < 1$.
2. Если $q = -\frac{1}{4}$, то $|q| = |-\frac{1}{4}| = \frac{1}{4} < 1$.

В обоих возможных случаях модуль знаменателя меньше единицы, следовательно, прогрессия является бесконечно убывающей.

Ответ: Прогрессия является бесконечно убывающей, так как в обоих возможных случаях $|q| < 1$.

Помогло решение? Оставьте отзыв в комментариях ниже.

Присоединяйтесь к Телеграм-группе @top_gdz

Присоединиться

Мы подготовили для вас ответ c подробным объяснением домашего задания по алгебре за 10-11 класс, для упражнения номер 106 расположенного на странице 37 к учебнику 2014 года издания для учащихся школ и гимназий.

Теперь на нашем сайте ГДЗ.ТОП вы всегда легко и бесплатно найдёте условие с правильным ответом на вопрос «Как решить ДЗ» и «Как сделать» задание по алгебре к упражнению №106 (с. 37), авторов: Алимов (Шавкат Арифджанович), Колягин (Юрий Михайлович), Ткачева (Мария Владимировна), Федорова (Надежда Евгеньевна), Шабунин (Михаил Иванович), ФГОС (старый) базовый и углублённый уровень обучения учебного пособия издательства Просвещение.