Номер 1199, страница 374 - гдз по алгебре 10-11 класс учебник Алимов, Колягин

Алгебра, 10-11 класс Учебник, авторы: Алимов Шавкат Арифджанович, Колягин Юрий Михайлович, Ткачева Мария Владимировна, Федорова Надежда Евгеньевна, Шабунин Михаил Иванович, издательство Просвещение, Москва, 2014

Авторы: Алимов Ш. А., Колягин Ю. М., Ткачева М. В., Федорова Н. Е., Шабунин М. И.

Тип: Учебник

Издательство: Просвещение

Год издания: 2014 - 2025

Уровень обучения: базовый и углублённый

Цвет обложки: синий, фиолетовый

ISBN: 978-5-09-112136-0

Допущено Министерством просвещения Российской Федерации

Математика: алгебра и начала математического анализа, геометрия

Популярные ГДЗ в 10 классе

Глава 13. Статистика. Параграф 72. Центральные тенденции - номер 1199, страница 374.

№1199 (с. 374)
Условие. №1199 (с. 374)
скриншот условия
Алгебра, 10-11 класс Учебник, авторы: Алимов Шавкат Арифджанович, Колягин Юрий Михайлович, Ткачева Мария Владимировна, Федорова Надежда Евгеньевна, Шабунин Михаил Иванович, издательство Просвещение, Москва, 2014, страница 374, номер 1199, Условие

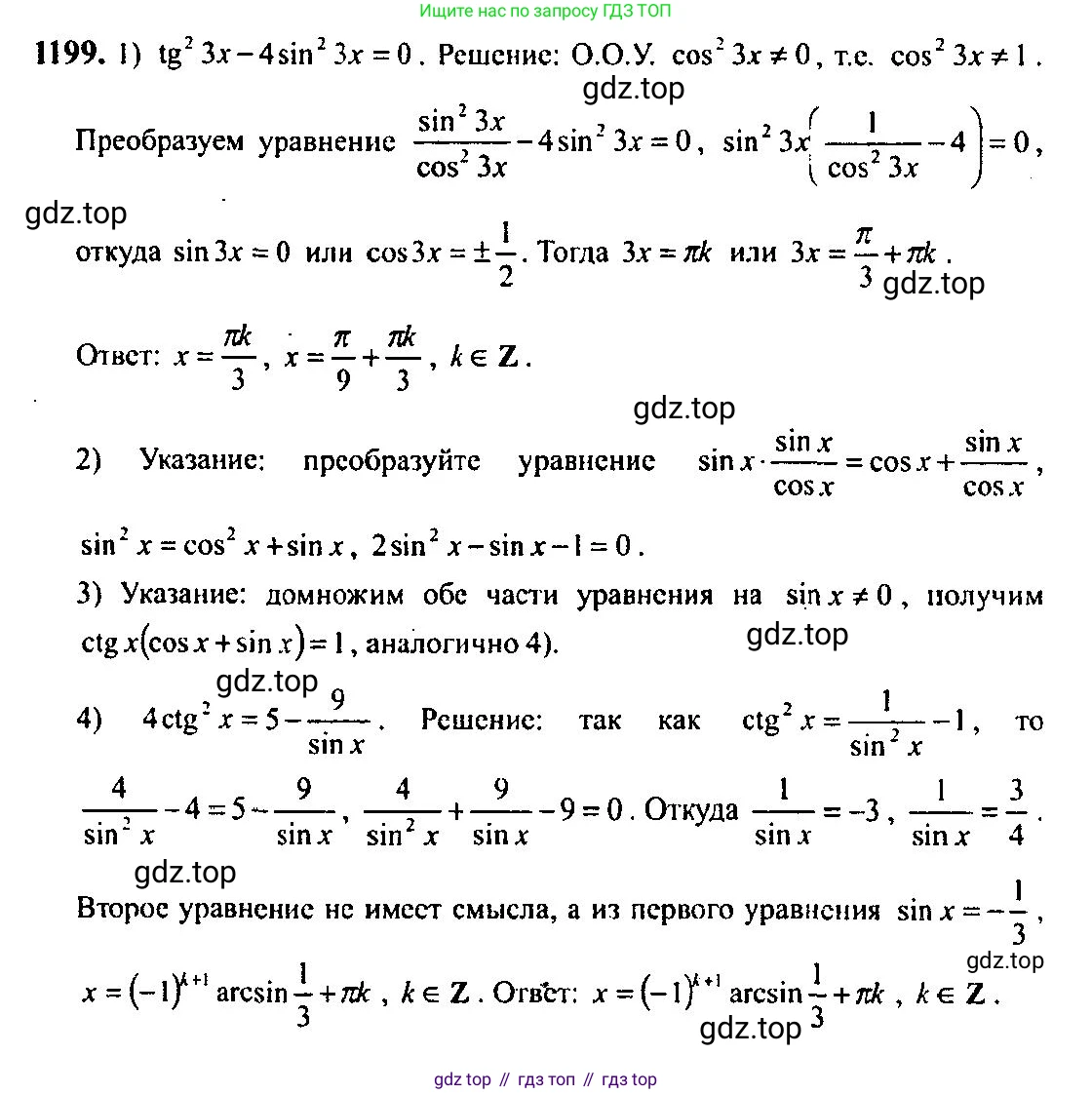
1199 Найти моду, медиану и среднее выборки значений случайной величины X:

1)

$X$ $-3$ $-1$ $0$ $5$
$M$ $2$ $3$ $5$ $2$

2)

$X$ $-2$ $-1$ $0$ $1$ $3$
$M$ $1$ $3$ $2$ $4$ $1$
Решение 1. №1199 (с. 374)
Алгебра, 10-11 класс Учебник, авторы: Алимов Шавкат Арифджанович, Колягин Юрий Михайлович, Ткачева Мария Владимировна, Федорова Надежда Евгеньевна, Шабунин Михаил Иванович, издательство Просвещение, Москва, 2014, страница 374, номер 1199, Решение 1
Алгебра, 10-11 класс Учебник, авторы: Алимов Шавкат Арифджанович, Колягин Юрий Михайлович, Ткачева Мария Владимировна, Федорова Надежда Евгеньевна, Шабунин Михаил Иванович, издательство Просвещение, Москва, 2014, страница 374, номер 1199, Решение 1 (продолжение 2)
Решение 2. №1199 (с. 374)
Алгебра, 10-11 класс Учебник, авторы: Алимов Шавкат Арифджанович, Колягин Юрий Михайлович, Ткачева Мария Владимировна, Федорова Надежда Евгеньевна, Шабунин Михаил Иванович, издательство Просвещение, Москва, 2014, страница 374, номер 1199, Решение 2
Решение 3. №1199 (с. 374)
Алгебра, 10-11 класс Учебник, авторы: Алимов Шавкат Арифджанович, Колягин Юрий Михайлович, Ткачева Мария Владимировна, Федорова Надежда Евгеньевна, Шабунин Михаил Иванович, издательство Просвещение, Москва, 2014, страница 374, номер 1199, Решение 3
Решение 5. №1199 (с. 374)
Алгебра, 10-11 класс Учебник, авторы: Алимов Шавкат Арифджанович, Колягин Юрий Михайлович, Ткачева Мария Владимировна, Федорова Надежда Евгеньевна, Шабунин Михаил Иванович, издательство Просвещение, Москва, 2014, страница 374, номер 1199, Решение 5
Решение 7. №1199 (с. 374)
Алгебра, 10-11 класс Учебник, авторы: Алимов Шавкат Арифджанович, Колягин Юрий Михайлович, Ткачева Мария Владимировна, Федорова Надежда Евгеньевна, Шабунин Михаил Иванович, издательство Просвещение, Москва, 2014, страница 374, номер 1199, Решение 7
Решение 8. №1199 (с. 374)

1) Для выборки, представленной таблицей:

X -3 -1 0 5
M 2 3 5 2

Мода — это значение случайной величины, которое встречается в выборке наиболее часто. В данной таблице наибольшая частота $M=5$ соответствует значению $X=0$. Следовательно, мода выборки равна $0$.

Медиана — это значение, которое делит упорядоченную (ранжированную) выборку на две равные по количеству элементов части. Сначала найдем объем выборки (общее количество значений):
$N = 2 + 3 + 5 + 2 = 12$.
Поскольку объем выборки $N=12$ является четным числом, медиана равна среднему арифметическому двух центральных элементов, то есть элементов, стоящих на $N/2 = 6$-м и $N/2 + 1 = 7$-м местах в упорядоченном ряду.
Выпишем упорядоченный ряд значений: первые два значения равны $-3$, следующие три равны $-1$ (это 3-й, 4-й, 5-й элементы), следующие пять равны $0$ (это 6-й, 7-й, 8-й, 9-й, 10-й элементы).
Таким образом, и 6-й, и 7-й элементы ряда равны $0$.
Медиана = $\frac{0 + 0}{2} = 0$.

Среднее значение выборки (среднее арифметическое) вычисляется по формуле: $\bar{X} = \frac{\sum X_i M_i}{\sum M_i}$.
$\bar{X} = \frac{(-3) \cdot 2 + (-1) \cdot 3 + 0 \cdot 5 + 5 \cdot 2}{2 + 3 + 5 + 2} = \frac{-6 - 3 + 0 + 10}{12} = \frac{1}{12}$.

Ответ: мода: $0$; медиана: $0$; среднее: $\frac{1}{12}$.

2) Для выборки, представленной таблицей:

X -2 -1 0 1 3
M 1 3 2 4 1

Мода. Наибольшая частота в данной выборке $M=4$ соответствует значению $X=1$. Значит, мода равна $1$.

Медиана. Найдем объем выборки:
$N = 1 + 3 + 2 + 4 + 1 = 11$.
Объем выборки $N=11$ является нечетным числом, поэтому медиана равна значению элемента, стоящего в середине упорядоченного ряда. Номер этого элемента: $\frac{N + 1}{2} = \frac{11 + 1}{2} = 6$.
Найдем 6-й элемент ряда. Первый элемент равен $-2$. Следующие три элемента (2-й, 3-й, 4-й) равны $-1$. Следующие два элемента (5-й и 6-й) равны $0$.
Следовательно, 6-й элемент ряда равен $0$, и медиана равна $0$.

Среднее значение выборки:
$\bar{X} = \frac{(-2) \cdot 1 + (-1) \cdot 3 + 0 \cdot 2 + 1 \cdot 4 + 3 \cdot 1}{1 + 3 + 2 + 4 + 1} = \frac{-2 - 3 + 0 + 4 + 3}{11} = \frac{2}{11}$.

Ответ: мода: $1$; медиана: $0$; среднее: $\frac{2}{11}$.

Помогло решение? Оставьте отзыв в комментариях ниже.

Присоединяйтесь к Телеграм-группе @top_gdz

Присоединиться

Мы подготовили для вас ответ c подробным объяснением домашего задания по алгебре за 10-11 класс, для упражнения номер 1199 расположенного на странице 374 к учебнику 2014 года издания для учащихся школ и гимназий.

Теперь на нашем сайте ГДЗ.ТОП вы всегда легко и бесплатно найдёте условие с правильным ответом на вопрос «Как решить ДЗ» и «Как сделать» задание по алгебре к упражнению №1199 (с. 374), авторов: Алимов (Шавкат Арифджанович), Колягин (Юрий Михайлович), Ткачева (Мария Владимировна), Федорова (Надежда Евгеньевна), Шабунин (Михаил Иванович), ФГОС (старый) базовый и углублённый уровень обучения учебного пособия издательства Просвещение.