Номер 12, страница 10 - гдз по алгебре 10-11 класс учебник Алимов, Колягин

Алгебра, 10-11 класс Учебник, авторы: Алимов Шавкат Арифджанович, Колягин Юрий Михайлович, Ткачева Мария Владимировна, Федорова Надежда Евгеньевна, Шабунин Михаил Иванович, издательство Просвещение, Москва, 2014

Авторы: Алимов Ш. А., Колягин Ю. М., Ткачева М. В., Федорова Н. Е., Шабунин М. И.

Тип: Учебник

Издательство: Просвещение

Год издания: 2014 - 2025

Уровень обучения: базовый и углублённый

Цвет обложки: синий, фиолетовый

ISBN: 978-5-09-112136-0

Допущено Министерством просвещения Российской Федерации

Математика: алгебра и начала математического анализа, геометрия

Популярные ГДЗ в 10 классе

Глава 1. Действительные числа. Параграф 2. Действительные числа - номер 12, страница 10.

№12 (с. 10)
Условие. №12 (с. 10)
скриншот условия
Алгебра, 10-11 класс Учебник, авторы: Алимов Шавкат Арифджанович, Колягин Юрий Михайлович, Ткачева Мария Владимировна, Федорова Надежда Евгеньевна, Шабунин Михаил Иванович, издательство Просвещение, Москва, 2014, страница 10, номер 12, Условие

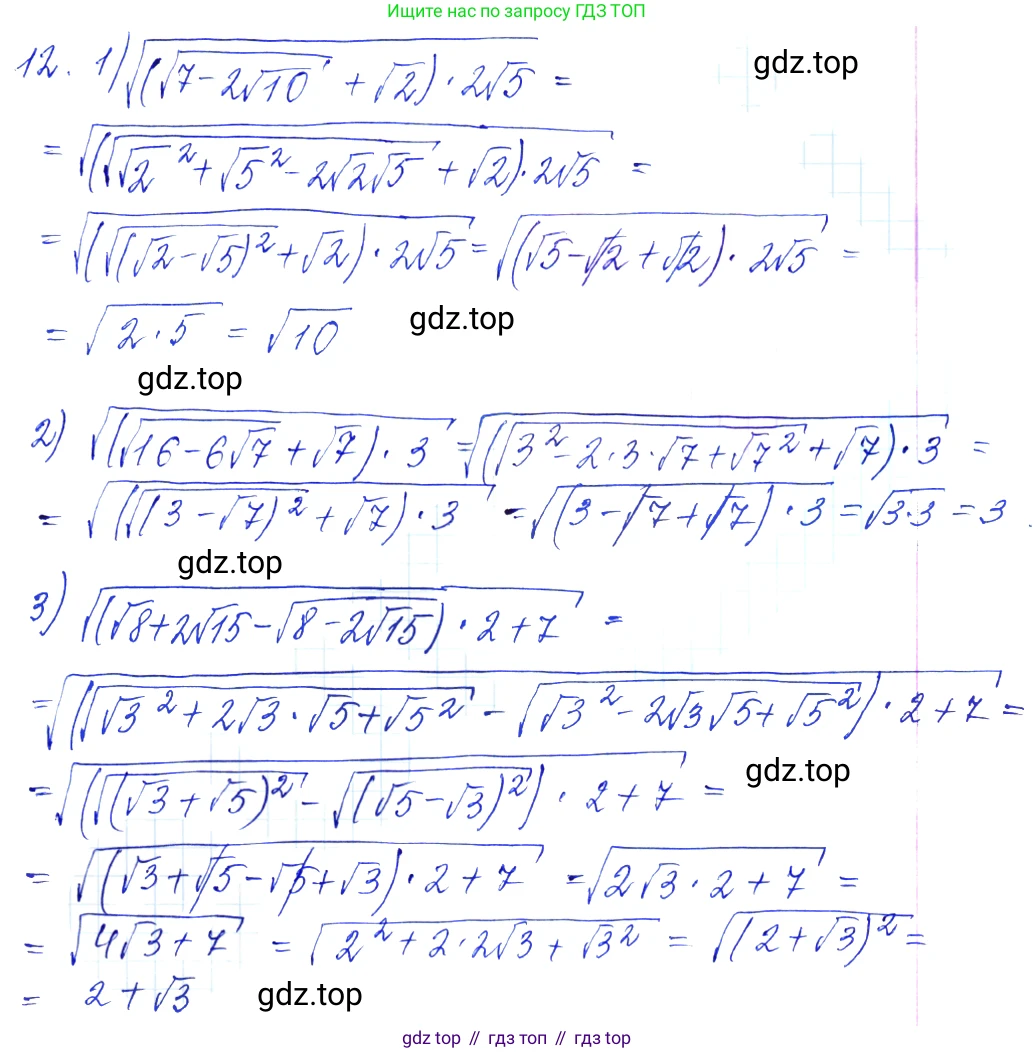
12 Вычислить:

1) $\sqrt{(\sqrt{7-2\sqrt{10}} + \sqrt{2}) \cdot 2\sqrt{5}}$

2) $\sqrt{(\sqrt{16-6\sqrt{7}} + \sqrt{7}) \cdot 3}$

3) $\sqrt{(\sqrt{8+2\sqrt{15}} - \sqrt{8-2\sqrt{15}}) \cdot 2 + 7}$

Решение 1. №12 (с. 10)
Алгебра, 10-11 класс Учебник, авторы: Алимов Шавкат Арифджанович, Колягин Юрий Михайлович, Ткачева Мария Владимировна, Федорова Надежда Евгеньевна, Шабунин Михаил Иванович, издательство Просвещение, Москва, 2014, страница 10, номер 12, Решение 1
Алгебра, 10-11 класс Учебник, авторы: Алимов Шавкат Арифджанович, Колягин Юрий Михайлович, Ткачева Мария Владимировна, Федорова Надежда Евгеньевна, Шабунин Михаил Иванович, издательство Просвещение, Москва, 2014, страница 10, номер 12, Решение 1 (продолжение 2)
Алгебра, 10-11 класс Учебник, авторы: Алимов Шавкат Арифджанович, Колягин Юрий Михайлович, Ткачева Мария Владимировна, Федорова Надежда Евгеньевна, Шабунин Михаил Иванович, издательство Просвещение, Москва, 2014, страница 10, номер 12, Решение 1 (продолжение 3)
Решение 2. №12 (с. 10)
Алгебра, 10-11 класс Учебник, авторы: Алимов Шавкат Арифджанович, Колягин Юрий Михайлович, Ткачева Мария Владимировна, Федорова Надежда Евгеньевна, Шабунин Михаил Иванович, издательство Просвещение, Москва, 2014, страница 10, номер 12, Решение 2
Решение 4. №12 (с. 10)
Алгебра, 10-11 класс Учебник, авторы: Алимов Шавкат Арифджанович, Колягин Юрий Михайлович, Ткачева Мария Владимировна, Федорова Надежда Евгеньевна, Шабунин Михаил Иванович, издательство Просвещение, Москва, 2014, страница 10, номер 12, Решение 4
Решение 5. №12 (с. 10)
Алгебра, 10-11 класс Учебник, авторы: Алимов Шавкат Арифджанович, Колягин Юрий Михайлович, Ткачева Мария Владимировна, Федорова Надежда Евгеньевна, Шабунин Михаил Иванович, издательство Просвещение, Москва, 2014, страница 10, номер 12, Решение 5
Решение 6. №12 (с. 10)
Алгебра, 10-11 класс Учебник, авторы: Алимов Шавкат Арифджанович, Колягин Юрий Михайлович, Ткачева Мария Владимировна, Федорова Надежда Евгеньевна, Шабунин Михаил Иванович, издательство Просвещение, Москва, 2014, страница 10, номер 12, Решение 6
Решение 7. №12 (с. 10)
Алгебра, 10-11 класс Учебник, авторы: Алимов Шавкат Арифджанович, Колягин Юрий Михайлович, Ткачева Мария Владимировна, Федорова Надежда Евгеньевна, Шабунин Михаил Иванович, издательство Просвещение, Москва, 2014, страница 10, номер 12, Решение 7
Решение 8. №12 (с. 10)

1) Вычислим выражение $\sqrt{(\sqrt{7-2\sqrt{10}} + \sqrt{2}) \cdot 2\sqrt{5}}$.
Для упрощения подкоренных выражений вида $\sqrt{A \pm \sqrt{B}}$ используем формулу сложного радикала $\sqrt{a \pm \sqrt{b}} = \sqrt{\frac{a+\sqrt{a^2-b}}{2}} \pm \sqrt{\frac{a-\sqrt{a^2-b}}{2}}$ или метод выделения полного квадрата. Рассмотрим выражение под первым внутренним корнем: $\sqrt{7-2\sqrt{10}}$.
Представим $7-2\sqrt{10}$ в виде квадрата разности $(a-b)^2 = a^2 - 2ab + b^2$. Нам нужно найти такие числа $x$ и $y$, что $x+y=7$ и $xy=10$. Подбором находим, что это числа $5$ и $2$. Тогда $7-2\sqrt{10} = 5 - 2\sqrt{5 \cdot 2} + 2 = (\sqrt{5})^2 - 2\sqrt{5}\sqrt{2} + (\sqrt{2})^2 = (\sqrt{5}-\sqrt{2})^2$.
Следовательно, $\sqrt{7-2\sqrt{10}} = \sqrt{(\sqrt{5}-\sqrt{2})^2} = |\sqrt{5}-\sqrt{2}|$. Так как $\sqrt{5} > \sqrt{2}$, то $|\sqrt{5}-\sqrt{2}| = \sqrt{5}-\sqrt{2}$.
Теперь подставим полученное значение в исходное выражение: $\sqrt{(\sqrt{5}-\sqrt{2} + \sqrt{2}) \cdot 2\sqrt{5}}$.
Упростим выражение в скобках: $\sqrt{5}-\sqrt{2} + \sqrt{2} = \sqrt{5}$.
Получаем: $\sqrt{\sqrt{5} \cdot 2\sqrt{5}} = \sqrt{2 \cdot (\sqrt{5})^2} = \sqrt{2 \cdot 5} = \sqrt{10}$.
Ответ: $\sqrt{10}$

2) Вычислим выражение $(\sqrt{\sqrt{16-6\sqrt{7}} + \sqrt{7}}) \cdot 3$.
Сначала упростим внутренний корень $\sqrt{16-6\sqrt{7}}$. Для использования формулы полного квадрата, приведем его к виду $\sqrt{A-2\sqrt{B}}$. $16-6\sqrt{7} = 16 - 2 \cdot 3 \sqrt{7} = 16 - 2 \sqrt{9 \cdot 7} = 16 - 2 \sqrt{63}$.
Нам нужно найти такие числа $x$ и $y$, что $x+y=16$ и $xy=63$. Подбором находим, что это числа $9$ и $7$. Тогда $16-2\sqrt{63} = 9 - 2\sqrt{9 \cdot 7} + 7 = (\sqrt{9})^2 - 2\sqrt{9}\sqrt{7} + (\sqrt{7})^2 = (3-\sqrt{7})^2$.
Следовательно, $\sqrt{16-6\sqrt{7}} = \sqrt{(3-\sqrt{7})^2} = |3-\sqrt{7}|$. Так как $3=\sqrt{9}$ и $\sqrt{9} > \sqrt{7}$, то $3-\sqrt{7} > 0$, поэтому $|3-\sqrt{7}| = 3-\sqrt{7}$.
Подставим полученное значение в исходное выражение: $(\sqrt{(3-\sqrt{7}) + \sqrt{7}}) \cdot 3$.
Упростим выражение под корнем: $3-\sqrt{7} + \sqrt{7} = 3$.
Получаем: $\sqrt{3} \cdot 3 = 3\sqrt{3}$.
Ответ: $3\sqrt{3}$

3) Вычислим выражение $\sqrt{(\sqrt{8+2\sqrt{15}} - \sqrt{8-2\sqrt{15}}) \cdot 2 + 7}$.
Упростим каждый из сложных радикалов по отдельности.
Для $\sqrt{8+2\sqrt{15}}$ ищем числа $x$ и $y$, такие что $x+y=8$ и $xy=15$. Это числа $5$ и $3$. $8+2\sqrt{15} = 5+2\sqrt{5 \cdot 3}+3 = (\sqrt{5}+\sqrt{3})^2$. Значит, $\sqrt{8+2\sqrt{15}} = \sqrt{(\sqrt{5}+\sqrt{3})^2} = \sqrt{5}+\sqrt{3}$.
Аналогично для $\sqrt{8-2\sqrt{15}}$: $8-2\sqrt{15} = 5-2\sqrt{5 \cdot 3}+3 = (\sqrt{5}-\sqrt{3})^2$. Значит, $\sqrt{8-2\sqrt{15}} = \sqrt{(\sqrt{5}-\sqrt{3})^2} = |\sqrt{5}-\sqrt{3}|$. Так как $\sqrt{5} > \sqrt{3}$, то $|\sqrt{5}-\sqrt{3}| = \sqrt{5}-\sqrt{3}$.
Подставим упрощенные выражения в исходное: $\sqrt{((\sqrt{5}+\sqrt{3}) - (\sqrt{5}-\sqrt{3})) \cdot 2 + 7}$.
Упростим выражение в скобках: $(\sqrt{5}+\sqrt{3}) - (\sqrt{5}-\sqrt{3}) = \sqrt{5}+\sqrt{3}-\sqrt{5}+\sqrt{3} = 2\sqrt{3}$.
Выражение примет вид: $\sqrt{2\sqrt{3} \cdot 2 + 7} = \sqrt{4\sqrt{3}+7}$.
Это снова сложный радикал. Упростим $\sqrt{7+4\sqrt{3}}$. Приведем к виду $\sqrt{A+2\sqrt{B}}$: $7+4\sqrt{3} = 7+2 \cdot 2\sqrt{3} = 7+2\sqrt{4 \cdot 3} = 7+2\sqrt{12}$.
Ищем числа $x$ и $y$, такие что $x+y=7$ и $xy=12$. Это числа $4$ и $3$. $7+2\sqrt{12} = 4+2\sqrt{4 \cdot 3}+3 = (\sqrt{4}+\sqrt{3})^2 = (2+\sqrt{3})^2$.
Следовательно, $\sqrt{7+4\sqrt{3}} = \sqrt{(2+\sqrt{3})^2} = 2+\sqrt{3}$.
Ответ: $2+\sqrt{3}$

Помогло решение? Оставьте отзыв в комментариях ниже.

Присоединяйтесь к Телеграм-группе @top_gdz

Присоединиться

Мы подготовили для вас ответ c подробным объяснением домашего задания по алгебре за 10-11 класс, для упражнения номер 12 расположенного на странице 10 к учебнику 2014 года издания для учащихся школ и гимназий.

Теперь на нашем сайте ГДЗ.ТОП вы всегда легко и бесплатно найдёте условие с правильным ответом на вопрос «Как решить ДЗ» и «Как сделать» задание по алгебре к упражнению №12 (с. 10), авторов: Алимов (Шавкат Арифджанович), Колягин (Юрий Михайлович), Ткачева (Мария Владимировна), Федорова (Надежда Евгеньевна), Шабунин (Михаил Иванович), ФГОС (старый) базовый и углублённый уровень обучения учебного пособия издательства Просвещение.