Номер 11, страница 10 - гдз по алгебре 10-11 класс учебник Алимов, Колягин

Алгебра, 10-11 класс Учебник, авторы: Алимов Шавкат Арифджанович, Колягин Юрий Михайлович, Ткачева Мария Владимировна, Федорова Надежда Евгеньевна, Шабунин Михаил Иванович, издательство Просвещение, Москва, 2014

Авторы: Алимов Ш. А., Колягин Ю. М., Ткачева М. В., Федорова Н. Е., Шабунин М. И.

Тип: Учебник

Издательство: Просвещение

Год издания: 2014 - 2026

Уровень обучения: базовый и углублённый

Цвет обложки: синий, фиолетовый

ISBN: 978-5-09-112136-0

Допущено Министерством просвещения Российской Федерации

Математика: алгебра и начала математического анализа, геометрия

Глава 1. Действительные числа. Параграф 2. Действительные числа - номер 11, страница 10.

№11 (с. 10)
Условие. №11 (с. 10)
скриншот условия
Алгебра, 10-11 класс Учебник, авторы: Алимов Шавкат Арифджанович, Колягин Юрий Михайлович, Ткачева Мария Владимировна, Федорова Надежда Евгеньевна, Шабунин Михаил Иванович, издательство Просвещение, Москва, 2014, страница 10, номер 11, Условие

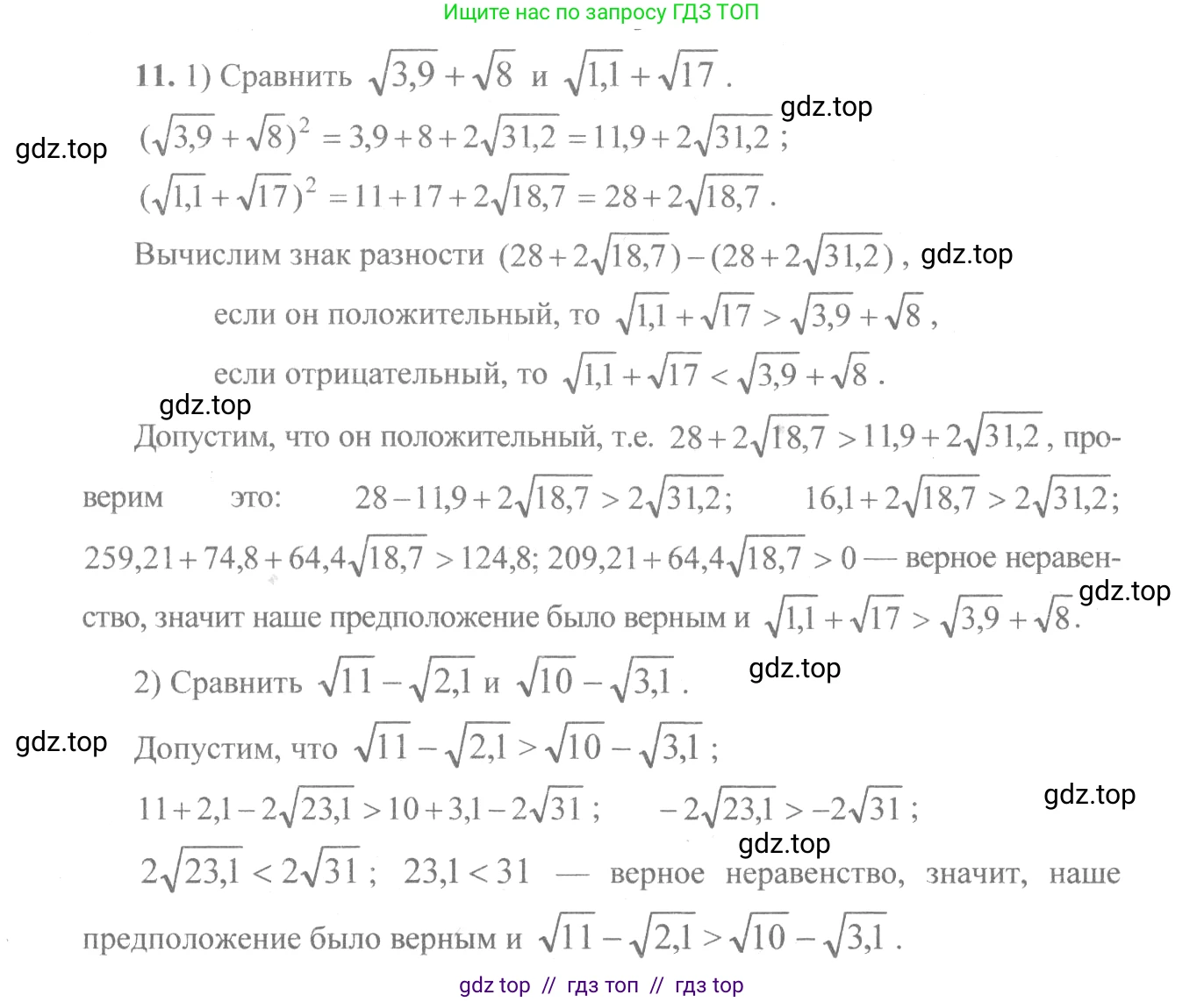
11 Сравнить числовые значения выражений:

1) $\sqrt{3,9} + \sqrt{8}$ и $\sqrt{1,1} + \sqrt{17}$;

2) $\sqrt{11} - \sqrt{2,1}$ и $\sqrt{10} - \sqrt{3,1}$.

Решение 1. №11 (с. 10)
Алгебра, 10-11 класс Учебник, авторы: Алимов Шавкат Арифджанович, Колягин Юрий Михайлович, Ткачева Мария Владимировна, Федорова Надежда Евгеньевна, Шабунин Михаил Иванович, издательство Просвещение, Москва, 2014, страница 10, номер 11, Решение 1
Алгебра, 10-11 класс Учебник, авторы: Алимов Шавкат Арифджанович, Колягин Юрий Михайлович, Ткачева Мария Владимировна, Федорова Надежда Евгеньевна, Шабунин Михаил Иванович, издательство Просвещение, Москва, 2014, страница 10, номер 11, Решение 1 (продолжение 2)
Решение 2. №11 (с. 10)
Алгебра, 10-11 класс Учебник, авторы: Алимов Шавкат Арифджанович, Колягин Юрий Михайлович, Ткачева Мария Владимировна, Федорова Надежда Евгеньевна, Шабунин Михаил Иванович, издательство Просвещение, Москва, 2014, страница 10, номер 11, Решение 2
Алгебра, 10-11 класс Учебник, авторы: Алимов Шавкат Арифджанович, Колягин Юрий Михайлович, Ткачева Мария Владимировна, Федорова Надежда Евгеньевна, Шабунин Михаил Иванович, издательство Просвещение, Москва, 2014, страница 10, номер 11, Решение 2 (продолжение 2)
Решение 3. №11 (с. 10)
Алгебра, 10-11 класс Учебник, авторы: Алимов Шавкат Арифджанович, Колягин Юрий Михайлович, Ткачева Мария Владимировна, Федорова Надежда Евгеньевна, Шабунин Михаил Иванович, издательство Просвещение, Москва, 2014, страница 10, номер 11, Решение 3
Решение 4. №11 (с. 10)
Алгебра, 10-11 класс Учебник, авторы: Алимов Шавкат Арифджанович, Колягин Юрий Михайлович, Ткачева Мария Владимировна, Федорова Надежда Евгеньевна, Шабунин Михаил Иванович, издательство Просвещение, Москва, 2014, страница 10, номер 11, Решение 4
Решение 5. №11 (с. 10)
Алгебра, 10-11 класс Учебник, авторы: Алимов Шавкат Арифджанович, Колягин Юрий Михайлович, Ткачева Мария Владимировна, Федорова Надежда Евгеньевна, Шабунин Михаил Иванович, издательство Просвещение, Москва, 2014, страница 10, номер 11, Решение 5 Алгебра, 10-11 класс Учебник, авторы: Алимов Шавкат Арифджанович, Колягин Юрий Михайлович, Ткачева Мария Владимировна, Федорова Надежда Евгеньевна, Шабунин Михаил Иванович, издательство Просвещение, Москва, 2014, страница 10, номер 11, Решение 5 (продолжение 2)
Решение 6. №11 (с. 10)
Алгебра, 10-11 класс Учебник, авторы: Алимов Шавкат Арифджанович, Колягин Юрий Михайлович, Ткачева Мария Владимировна, Федорова Надежда Евгеньевна, Шабунин Михаил Иванович, издательство Просвещение, Москва, 2014, страница 10, номер 11, Решение 6
Решение 7. №11 (с. 10)
Алгебра, 10-11 класс Учебник, авторы: Алимов Шавкат Арифджанович, Колягин Юрий Михайлович, Ткачева Мария Владимировна, Федорова Надежда Евгеньевна, Шабунин Михаил Иванович, издательство Просвещение, Москва, 2014, страница 10, номер 11, Решение 7
Решение 8. №11 (с. 10)

1) Сравнить $\sqrt{3,9} + \sqrt{8}$ и $\sqrt{1,1} + \sqrt{17}$.

Чтобы сравнить эти два положительных числа, преобразуем неравенство. Перенесем слагаемые так, чтобы сгруппировать корни с похожими по величине подкоренными выражениями:

Сравним $\sqrt{17} - \sqrt{8}$ и $\sqrt{3,9} - \sqrt{1,1}$.

Так как $\sqrt{17} > \sqrt{8}$ и $\sqrt{3,9} > \sqrt{1,1}$, оба выражения положительны. Мы можем сравнить их квадраты, знак неравенства при этом сохранится.

Найдем квадрат первого выражения:

$(\sqrt{17} - \sqrt{8})^2 = (\sqrt{17})^2 - 2 \cdot \sqrt{17} \cdot \sqrt{8} + (\sqrt{8})^2 = 17 - 2\sqrt{136} + 8 = 25 - 2\sqrt{136}$.

Найдем квадрат второго выражения:

$(\sqrt{3,9} - \sqrt{1,1})^2 = (\sqrt{3,9})^2 - 2 \cdot \sqrt{3,9} \cdot \sqrt{1,1} + (\sqrt{1,1})^2 = 3,9 - 2\sqrt{4,29} + 1,1 = 5 - 2\sqrt{4,29}$.

Теперь сравним $25 - 2\sqrt{136}$ и $5 - 2\sqrt{4,29}$.

Перенесем 5 в левую часть:

$20 - 2\sqrt{136}$ и $-2\sqrt{4,29}$.

Прибавим $2\sqrt{136}$ к обеим частям:

$20$ и $2\sqrt{136} - 2\sqrt{4,29}$.

Разделим обе части на 2:

$10$ и $\sqrt{136} - \sqrt{4,29}$.

Прибавим $\sqrt{4,29}$ к обеим частям:

$10 + \sqrt{4,29}$ и $\sqrt{136}$.

Обе части положительны, возведем их в квадрат:

$(10 + \sqrt{4,29})^2 = 100 + 20\sqrt{4,29} + 4,29 = 104,29 + 20\sqrt{4,29}$.

$(\sqrt{136})^2 = 136$.

Сравним $104,29 + 20\sqrt{4,29}$ и $136$.

Вычтем 104,29 из обеих частей:

$20\sqrt{4,29}$ и $31,71$.

Возведем обе части в квадрат:

$(20\sqrt{4,29})^2 = 400 \cdot 4,29 = 1716$.

$(31,71)^2 = 1005,5241$.

Так как $1716 > 1005,5241$, то $20\sqrt{4,29} > 31,71$.

Возвращаясь к предыдущим сравнениям, получаем:

$104,29 + 20\sqrt{4,29} > 136$, следовательно $(10 + \sqrt{4,29})^2 > (\sqrt{136})^2$.

Так как обе части положительны, $10 + \sqrt{4,29} > \sqrt{136}$.

Это означает, что $10 > \sqrt{136} - \sqrt{4,29}$.

Проследив цепочку преобразований в обратном порядке, получаем:

$25 - 2\sqrt{136} < 5 - 2\sqrt{4,29}$, что равносильно $(\sqrt{17} - \sqrt{8})^2 < (\sqrt{3,9} - \sqrt{1,1})^2$.

Поскольку основания степеней положительны, то $\sqrt{17} - \sqrt{8} < \sqrt{3,9} - \sqrt{1,1}$.

Перенеся слагаемые, получим исходное сравнение:

$\sqrt{1,1} + \sqrt{17} > \sqrt{3,9} + \sqrt{8}$.

Ответ: $\sqrt{3,9} + \sqrt{8} < \sqrt{1,1} + \sqrt{17}$.

2) Сравнить $\sqrt{11} - \sqrt{2,1}$ и $\sqrt{10} - \sqrt{3,1}$.

Заметим, что суммы подкоренных выражений в каждом выражении равны:

$11 + 2,1 = 13,1$

$10 + 3,1 = 13,1$

Рассмотрим функцию $f(x) = \sqrt{x} - \sqrt{13,1 - x}$, определенную на отрезке $[0; 13,1]$.

Первое выражение можно представить как $f(11) = \sqrt{11} - \sqrt{13,1 - 11} = \sqrt{11} - \sqrt{2,1}$.

Второе выражение можно представить как $f(10) = \sqrt{10} - \sqrt{13,1 - 10} = \sqrt{10} - \sqrt{3,1}$.

Для того чтобы сравнить значения функции, исследуем ее на монотонность. Найдем производную функции $f(x)$:

$f'(x) = (\sqrt{x} - \sqrt{13,1 - x})' = (\sqrt{x})' - (\sqrt{13,1 - x})' = \frac{1}{2\sqrt{x}} - \frac{1}{2\sqrt{13,1-x}} \cdot (13,1-x)' = \frac{1}{2\sqrt{x}} - \frac{-1}{2\sqrt{13,1-x}} = \frac{1}{2\sqrt{x}} + \frac{1}{2\sqrt{13,1-x}}$.

В области определения $(0; 13,1)$ оба слагаемых в производной положительны, так как корень из положительного числа есть число положительное. Следовательно, $f'(x) > 0$ для всех $x \in (0; 13,1)$.

Это означает, что функция $f(x)$ является строго возрастающей на всей своей области определения.

Поскольку $11 > 10$, из свойства возрастающей функции следует, что $f(11) > f(10)$.

Таким образом, $\sqrt{11} - \sqrt{2,1} > \sqrt{10} - \sqrt{3,1}$.

Ответ: $\sqrt{11} - \sqrt{2,1} > \sqrt{10} - \sqrt{3,1}$.

Помогло решение? Оставьте отзыв в комментариях ниже.

Присоединяйтесь к Телеграм-группе @top_gdz

Присоединиться

Мы подготовили для вас ответ c подробным объяснением домашего задания по алгебре за 10-11 класс, для упражнения номер 11 расположенного на странице 10 к учебнику 2014 года издания для учащихся школ и гимназий.

Теперь на нашем сайте ГДЗ.ТОП вы всегда легко и бесплатно найдёте условие с правильным ответом на вопрос «Как решить ДЗ» и «Как сделать» задание по алгебре к упражнению №11 (с. 10), авторов: Алимов (Шавкат Арифджанович), Колягин (Юрий Михайлович), Ткачева (Мария Владимировна), Федорова (Надежда Евгеньевна), Шабунин (Михаил Иванович), ФГОС (старый) базовый и углублённый уровень обучения учебного пособия издательства Просвещение.