Номер 1406, страница 413 - гдз по алгебре 10-11 класс учебник Алимов, Колягин

Алгебра, 10-11 класс Учебник, авторы: Алимов Шавкат Арифджанович, Колягин Юрий Михайлович, Ткачева Мария Владимировна, Федорова Надежда Евгеньевна, Шабунин Михаил Иванович, издательство Просвещение, Москва, 2014

Авторы: Алимов Ш. А., Колягин Ю. М., Ткачева М. В., Федорова Н. Е., Шабунин М. И.

Тип: Учебник

Издательство: Просвещение

Год издания: 2014 - 2025

Уровень обучения: базовый и углублённый

Цвет обложки: синий, фиолетовый

ISBN: 978-5-09-112136-0

Допущено Министерством просвещения Российской Федерации

Математика: алгебра и начала математического анализа, геометрия

Популярные ГДЗ в 10 классе

Упражнения для итогового повторения курса алгебры и начал математического анализа. 3. Неравенства - номер 1406, страница 413.

№1406 (с. 413)
Условие. №1406 (с. 413)
скриншот условия
Алгебра, 10-11 класс Учебник, авторы: Алимов Шавкат Арифджанович, Колягин Юрий Михайлович, Ткачева Мария Владимировна, Федорова Надежда Евгеньевна, Шабунин Михаил Иванович, издательство Просвещение, Москва, 2014, страница 413, номер 1406, Условие

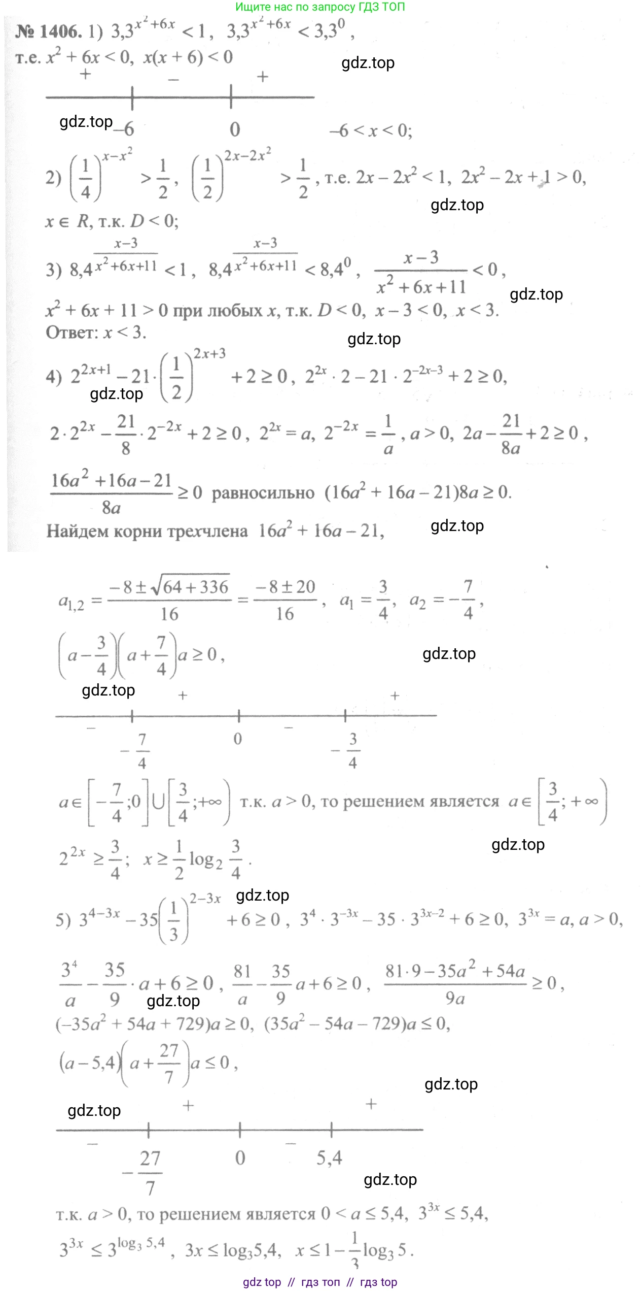
1406 1) $3,3^{x^2 + 6x} < 1;$

2) $(\frac{1}{4})^{x - x^2} > \frac{1}{2};$

3) $8,4^{\frac{x - 3}{x^2 + 6x + 11}} < 1;$

4) $2^{2x + 1} - 21 \cdot (\frac{1}{2})^{2x + 3} + 2 \ge 0;$

5) $3^{4 - 3x} - 35 (\frac{1}{3})^{2 - 3x} + 6 \ge 0.$

Решение 1. №1406 (с. 413)
Алгебра, 10-11 класс Учебник, авторы: Алимов Шавкат Арифджанович, Колягин Юрий Михайлович, Ткачева Мария Владимировна, Федорова Надежда Евгеньевна, Шабунин Михаил Иванович, издательство Просвещение, Москва, 2014, страница 413, номер 1406, Решение 1
Алгебра, 10-11 класс Учебник, авторы: Алимов Шавкат Арифджанович, Колягин Юрий Михайлович, Ткачева Мария Владимировна, Федорова Надежда Евгеньевна, Шабунин Михаил Иванович, издательство Просвещение, Москва, 2014, страница 413, номер 1406, Решение 1 (продолжение 2)
Алгебра, 10-11 класс Учебник, авторы: Алимов Шавкат Арифджанович, Колягин Юрий Михайлович, Ткачева Мария Владимировна, Федорова Надежда Евгеньевна, Шабунин Михаил Иванович, издательство Просвещение, Москва, 2014, страница 413, номер 1406, Решение 1 (продолжение 3)
Алгебра, 10-11 класс Учебник, авторы: Алимов Шавкат Арифджанович, Колягин Юрий Михайлович, Ткачева Мария Владимировна, Федорова Надежда Евгеньевна, Шабунин Михаил Иванович, издательство Просвещение, Москва, 2014, страница 413, номер 1406, Решение 1 (продолжение 4)
Алгебра, 10-11 класс Учебник, авторы: Алимов Шавкат Арифджанович, Колягин Юрий Михайлович, Ткачева Мария Владимировна, Федорова Надежда Евгеньевна, Шабунин Михаил Иванович, издательство Просвещение, Москва, 2014, страница 413, номер 1406, Решение 1 (продолжение 5)
Решение 2. №1406 (с. 413)
Алгебра, 10-11 класс Учебник, авторы: Алимов Шавкат Арифджанович, Колягин Юрий Михайлович, Ткачева Мария Владимировна, Федорова Надежда Евгеньевна, Шабунин Михаил Иванович, издательство Просвещение, Москва, 2014, страница 413, номер 1406, Решение 2
Алгебра, 10-11 класс Учебник, авторы: Алимов Шавкат Арифджанович, Колягин Юрий Михайлович, Ткачева Мария Владимировна, Федорова Надежда Евгеньевна, Шабунин Михаил Иванович, издательство Просвещение, Москва, 2014, страница 413, номер 1406, Решение 2 (продолжение 2)
Алгебра, 10-11 класс Учебник, авторы: Алимов Шавкат Арифджанович, Колягин Юрий Михайлович, Ткачева Мария Владимировна, Федорова Надежда Евгеньевна, Шабунин Михаил Иванович, издательство Просвещение, Москва, 2014, страница 413, номер 1406, Решение 2 (продолжение 3)
Решение 5. №1406 (с. 413)
Алгебра, 10-11 класс Учебник, авторы: Алимов Шавкат Арифджанович, Колягин Юрий Михайлович, Ткачева Мария Владимировна, Федорова Надежда Евгеньевна, Шабунин Михаил Иванович, издательство Просвещение, Москва, 2014, страница 413, номер 1406, Решение 5
Решение 7. №1406 (с. 413)
Алгебра, 10-11 класс Учебник, авторы: Алимов Шавкат Арифджанович, Колягин Юрий Михайлович, Ткачева Мария Владимировна, Федорова Надежда Евгеньевна, Шабунин Михаил Иванович, издательство Просвещение, Москва, 2014, страница 413, номер 1406, Решение 7
Алгебра, 10-11 класс Учебник, авторы: Алимов Шавкат Арифджанович, Колягин Юрий Михайлович, Ткачева Мария Владимировна, Федорова Надежда Евгеньевна, Шабунин Михаил Иванович, издательство Просвещение, Москва, 2014, страница 413, номер 1406, Решение 7 (продолжение 2) Алгебра, 10-11 класс Учебник, авторы: Алимов Шавкат Арифджанович, Колягин Юрий Михайлович, Ткачева Мария Владимировна, Федорова Надежда Евгеньевна, Шабунин Михаил Иванович, издательство Просвещение, Москва, 2014, страница 413, номер 1406, Решение 7 (продолжение 3)
Решение 8. №1406 (с. 413)

1) Исходное неравенство $3 \cdot 3^{x^2+6x} < 1$. Преобразуем левую часть, используя свойство степеней $a^m \cdot a^n = a^{m+n}$: $3^{1+x^2+6x} < 1$. Представим $1$ как степень с основанием 3, то есть $1 = 3^0$. Неравенство принимает вид $3^{x^2+6x+1} < 3^0$. Так как основание степени $3 > 1$, показательная функция является возрастающей. Следовательно, мы можем перейти к неравенству для показателей, сохранив знак неравенства: $x^2+6x+1 < 0$. Это квадратичное неравенство. Найдем корни соответствующего уравнения $x^2+6x+1 = 0$ с помощью дискриминанта. $D = b^2 - 4ac = 6^2 - 4 \cdot 1 \cdot 1 = 36 - 4 = 32$. Корни уравнения: $x_{1,2} = \frac{-b \pm \sqrt{D}}{2a} = \frac{-6 \pm \sqrt{32}}{2} = \frac{-6 \pm 4\sqrt{2}}{2} = -3 \pm 2\sqrt{2}$. Парабола $y=x^2+6x+1$ имеет ветви, направленные вверх, поэтому неравенство $x^2+6x+1 < 0$ выполняется на интервале между корнями. Ответ: $(-3 - 2\sqrt{2}, -3 + 2\sqrt{2})$.

2) Дано неравенство $(\frac{1}{4})^{x-x^2} > \frac{1}{2}$. Приведем обе части к одному основанию $\frac{1}{2}$. Так как $\frac{1}{4} = (\frac{1}{2})^2$, левая часть преобразуется к виду $((\frac{1}{2})^2)^{x-x^2} = (\frac{1}{2})^{2(x-x^2)} = (\frac{1}{2})^{2x-2x^2}$. Неравенство принимает вид $(\frac{1}{2})^{2x-2x^2} > (\frac{1}{2})^1$. Основание степени $a = \frac{1}{2}$ находится в интервале $0 < a < 1$, поэтому показательная функция является убывающей. При переходе к неравенству для показателей знак неравенства меняется на противоположный: $2x-2x^2 < 1$. Перенесем все члены в правую часть: $0 < 2x^2 - 2x + 1$. Рассмотрим квадратный трехчлен $y=2x^2-2x+1$. Найдем его дискриминант: $D = (-2)^2 - 4 \cdot 2 \cdot 1 = 4 - 8 = -4$. Так как дискриминант $D < 0$ и старший коэффициент $a=2 > 0$, парабола полностью расположена выше оси абсцисс. Это означает, что выражение $2x^2 - 2x + 1$ положительно при любых действительных значениях $x$. Ответ: $(-\infty, +\infty)$.

3) Рассмотрим неравенство $8.4^{\frac{x-3}{x^2+6x+11}} < 1$. Представим $1$ в виде степени с основанием 8.4, то есть $1 = 8.4^0$. Получим $8.4^{\frac{x-3}{x^2+6x+11}} < 8.4^0$. Основание степени $8.4 > 1$, поэтому показательная функция является возрастающей. Перейдем к неравенству для показателей, сохранив знак: $\frac{x-3}{x^2+6x+11} < 0$. Это дробно-рациональное неравенство. Проанализируем знак знаменателя $x^2+6x+11$. Для этого найдем дискриминант квадратного уравнения $x^2+6x+11=0$: $D = 6^2 - 4 \cdot 1 \cdot 11 = 36 - 44 = -8$. Поскольку $D < 0$ и старший коэффициент $a=1 > 0$, знаменатель $x^2+6x+11$ всегда положителен. Следовательно, знак всей дроби определяется знаком числителя. Таким образом, неравенство равносильно простому неравенству $x-3 < 0$, из которого следует $x < 3$. Ответ: $(-\infty, 3)$.

4) Дано неравенство $2^{2x+1} - 21 \cdot (\frac{1}{2})^{2x+3} + 2 \ge 0$. Преобразуем степени, приведя их к одному основанию 2. $2^{2x+1} = 2 \cdot 2^{2x}$. $(\frac{1}{2})^{2x+3} = (2^{-1})^{2x+3} = 2^{-2x-3} = 2^{-2x} \cdot 2^{-3} = \frac{1}{8 \cdot 2^{2x}}$. Подставим преобразованные выражения в исходное неравенство: $2 \cdot 2^{2x} - 21 \cdot \frac{1}{8 \cdot 2^{2x}} + 2 \ge 0$. Сделаем замену переменной $t = 2^{2x}$. Так как показательная функция всегда положительна, то $t > 0$. Неравенство в терминах $t$ выглядит так: $2t - \frac{21}{8t} + 2 \ge 0$. Умножим обе части на $8t$ (это можно делать, так как $8t > 0$, и знак неравенства не изменится): $16t^2 - 21 + 16t \ge 0$, или $16t^2 + 16t - 21 \ge 0$. Найдем корни квадратного уравнения $16t^2 + 16t - 21 = 0$. Дискриминант $D = 16^2 - 4 \cdot 16 \cdot (-21) = 256 + 1344 = 1600 = 40^2$. Корни: $t_1 = \frac{-16-40}{32} = -\frac{56}{32} = -\frac{7}{4}$ и $t_2 = \frac{-16+40}{32} = \frac{24}{32} = \frac{3}{4}$. Так как ветви параболы направлены вверх, решение неравенства $16t^2 + 16t - 21 \ge 0$ есть $t \le -\frac{7}{4}$ или $t \ge \frac{3}{4}$. Учитывая ограничение $t > 0$, получаем $t \ge \frac{3}{4}$. Выполним обратную замену: $2^{2x} \ge \frac{3}{4}$. Прологарифмируем обе части по основанию 2: $\log_2(2^{2x}) \ge \log_2(\frac{3}{4})$. Отсюда $2x \ge \log_2(3) - \log_2(4)$, что равносильно $2x \ge \log_2(3) - 2$. Разделим на 2: $x \ge \frac{\log_2(3) - 2}{2}$. Ответ: $[\frac{\log_2(3)-2}{2}, +\infty)$.

5) Рассмотрим неравенство $3^{4-3x} - 35 \cdot (\frac{1}{3})^{2-3x} + 6 \ge 0$. Приведем все степени к одному основанию 3. $3^{4-3x} = 3^4 \cdot 3^{-3x} = 81 \cdot 3^{-3x}$. $(\frac{1}{3})^{2-3x} = (3^{-1})^{2-3x} = 3^{-2+3x} = 3^{-2} \cdot 3^{3x} = \frac{1}{9} \cdot 3^{3x}$. Неравенство приобретает вид: $81 \cdot 3^{-3x} - \frac{35}{9} \cdot 3^{3x} + 6 \ge 0$. Введем замену $t = 3^{3x}$, при этом $t > 0$. Тогда $3^{-3x} = \frac{1}{t}$. Получаем неравенство: $\frac{81}{t} - \frac{35}{9}t + 6 \ge 0$. Умножим обе части на $9t > 0$, чтобы избавиться от знаменателей: $729 - 35t^2 + 54t \ge 0$. Умножим на -1 и поменяем знак неравенства, чтобы старший коэффициент был положительным: $35t^2 - 54t - 729 \le 0$. Найдем корни уравнения $35t^2 - 54t - 729 = 0$. Дискриминант $D = (-54)^2 - 4 \cdot 35 \cdot (-729) = 2916 + 102060 = 104976 = 324^2$. Корни: $t_1 = \frac{54 - 324}{70} = -\frac{270}{70} = -\frac{27}{7}$ и $t_2 = \frac{54 + 324}{70} = \frac{378}{70} = \frac{27}{5}$. Ветви параболы направлены вверх, поэтому решение неравенства $35t^2 - 54t - 729 \le 0$ есть отрезок $[-\frac{27}{7}, \frac{27}{5}]$. Учитывая условие $t>0$, получаем $0 < t \le \frac{27}{5}$. Делаем обратную замену: $3^{3x} \le \frac{27}{5}$. Прологарифмируем обе части по основанию 3: $\log_3(3^{3x}) \le \log_3(\frac{27}{5})$. Получаем $3x \le \log_3(27) - \log_3(5)$, то есть $3x \le 3 - \log_3(5)$. Отсюда $x \le \frac{3 - \log_3(5)}{3}$. Ответ: $(-\infty, \frac{3 - \log_3(5)}{3}]$.

Помогло решение? Оставьте отзыв в комментариях ниже.

Присоединяйтесь к Телеграм-группе @top_gdz

Присоединиться

Мы подготовили для вас ответ c подробным объяснением домашего задания по алгебре за 10-11 класс, для упражнения номер 1406 расположенного на странице 413 к учебнику 2014 года издания для учащихся школ и гимназий.

Теперь на нашем сайте ГДЗ.ТОП вы всегда легко и бесплатно найдёте условие с правильным ответом на вопрос «Как решить ДЗ» и «Как сделать» задание по алгебре к упражнению №1406 (с. 413), авторов: Алимов (Шавкат Арифджанович), Колягин (Юрий Михайлович), Ткачева (Мария Владимировна), Федорова (Надежда Евгеньевна), Шабунин (Михаил Иванович), ФГОС (старый) базовый и углублённый уровень обучения учебного пособия издательства Просвещение.