Номер 1414, страница 414 - гдз по алгебре 10-11 класс учебник Алимов, Колягин

Алгебра, 10-11 класс Учебник, авторы: Алимов Шавкат Арифджанович, Колягин Юрий Михайлович, Ткачева Мария Владимировна, Федорова Надежда Евгеньевна, Шабунин Михаил Иванович, издательство Просвещение, Москва, 2014

Авторы: Алимов Ш. А., Колягин Ю. М., Ткачева М. В., Федорова Н. Е., Шабунин М. И.

Тип: Учебник

Издательство: Просвещение

Год издания: 2014 - 2025

Уровень обучения: базовый и углублённый

Цвет обложки: синий, фиолетовый

ISBN: 978-5-09-112136-0

Допущено Министерством просвещения Российской Федерации

Математика: алгебра и начала математического анализа, геометрия

Популярные ГДЗ в 10 классе

Упражнения для итогового повторения курса алгебры и начал математического анализа. 3. Неравенства - номер 1414, страница 414.

№1414 (с. 414)
Условие. №1414 (с. 414)
скриншот условия
Алгебра, 10-11 класс Учебник, авторы: Алимов Шавкат Арифджанович, Колягин Юрий Михайлович, Ткачева Мария Владимировна, Федорова Надежда Евгеньевна, Шабунин Михаил Иванович, издательство Просвещение, Москва, 2014, страница 414, номер 1414, Условие

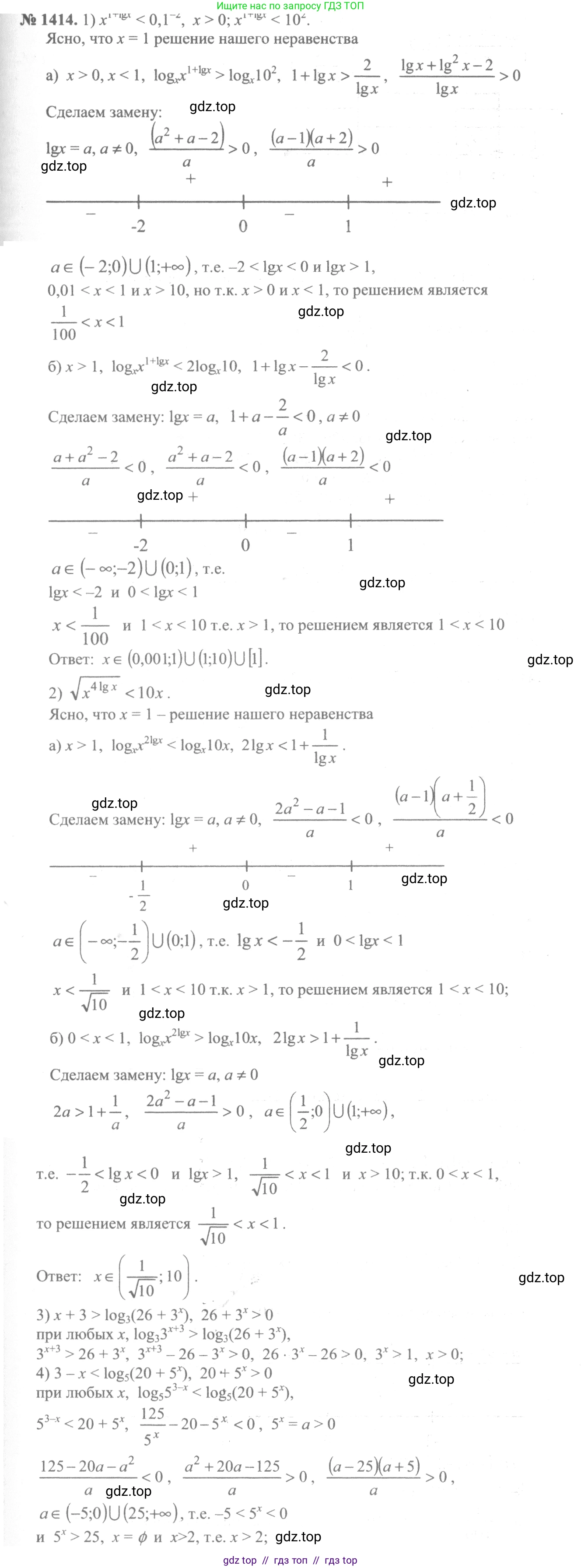
1414 1) $x^{1+\lg x} < 0.1^{-2}$;

2) $\sqrt{x^4 \lg x} < 10x$;

3) $x+3 > \log_3 (26+3^x)$;

4) $3-x < \log_5 (20+5^x)$.

Решение 1. №1414 (с. 414)
Алгебра, 10-11 класс Учебник, авторы: Алимов Шавкат Арифджанович, Колягин Юрий Михайлович, Ткачева Мария Владимировна, Федорова Надежда Евгеньевна, Шабунин Михаил Иванович, издательство Просвещение, Москва, 2014, страница 414, номер 1414, Решение 1
Алгебра, 10-11 класс Учебник, авторы: Алимов Шавкат Арифджанович, Колягин Юрий Михайлович, Ткачева Мария Владимировна, Федорова Надежда Евгеньевна, Шабунин Михаил Иванович, издательство Просвещение, Москва, 2014, страница 414, номер 1414, Решение 1 (продолжение 2)
Алгебра, 10-11 класс Учебник, авторы: Алимов Шавкат Арифджанович, Колягин Юрий Михайлович, Ткачева Мария Владимировна, Федорова Надежда Евгеньевна, Шабунин Михаил Иванович, издательство Просвещение, Москва, 2014, страница 414, номер 1414, Решение 1 (продолжение 3)
Алгебра, 10-11 класс Учебник, авторы: Алимов Шавкат Арифджанович, Колягин Юрий Михайлович, Ткачева Мария Владимировна, Федорова Надежда Евгеньевна, Шабунин Михаил Иванович, издательство Просвещение, Москва, 2014, страница 414, номер 1414, Решение 1 (продолжение 4)
Решение 2. №1414 (с. 414)
Алгебра, 10-11 класс Учебник, авторы: Алимов Шавкат Арифджанович, Колягин Юрий Михайлович, Ткачева Мария Владимировна, Федорова Надежда Евгеньевна, Шабунин Михаил Иванович, издательство Просвещение, Москва, 2014, страница 414, номер 1414, Решение 2
Алгебра, 10-11 класс Учебник, авторы: Алимов Шавкат Арифджанович, Колягин Юрий Михайлович, Ткачева Мария Владимировна, Федорова Надежда Евгеньевна, Шабунин Михаил Иванович, издательство Просвещение, Москва, 2014, страница 414, номер 1414, Решение 2 (продолжение 2)
Алгебра, 10-11 класс Учебник, авторы: Алимов Шавкат Арифджанович, Колягин Юрий Михайлович, Ткачева Мария Владимировна, Федорова Надежда Евгеньевна, Шабунин Михаил Иванович, издательство Просвещение, Москва, 2014, страница 414, номер 1414, Решение 2 (продолжение 3)
Алгебра, 10-11 класс Учебник, авторы: Алимов Шавкат Арифджанович, Колягин Юрий Михайлович, Ткачева Мария Владимировна, Федорова Надежда Евгеньевна, Шабунин Михаил Иванович, издательство Просвещение, Москва, 2014, страница 414, номер 1414, Решение 2 (продолжение 4)
Решение 5. №1414 (с. 414)
Алгебра, 10-11 класс Учебник, авторы: Алимов Шавкат Арифджанович, Колягин Юрий Михайлович, Ткачева Мария Владимировна, Федорова Надежда Евгеньевна, Шабунин Михаил Иванович, издательство Просвещение, Москва, 2014, страница 414, номер 1414, Решение 5
Решение 7. №1414 (с. 414)
Алгебра, 10-11 класс Учебник, авторы: Алимов Шавкат Арифджанович, Колягин Юрий Михайлович, Ткачева Мария Владимировна, Федорова Надежда Евгеньевна, Шабунин Михаил Иванович, издательство Просвещение, Москва, 2014, страница 414, номер 1414, Решение 7
Алгебра, 10-11 класс Учебник, авторы: Алимов Шавкат Арифджанович, Колягин Юрий Михайлович, Ткачева Мария Владимировна, Федорова Надежда Евгеньевна, Шабунин Михаил Иванович, издательство Просвещение, Москва, 2014, страница 414, номер 1414, Решение 7 (продолжение 2) Алгебра, 10-11 класс Учебник, авторы: Алимов Шавкат Арифджанович, Колягин Юрий Михайлович, Ткачева Мария Владимировна, Федорова Надежда Евгеньевна, Шабунин Михаил Иванович, издательство Просвещение, Москва, 2014, страница 414, номер 1414, Решение 7 (продолжение 3) Алгебра, 10-11 класс Учебник, авторы: Алимов Шавкат Арифджанович, Колягин Юрий Михайлович, Ткачева Мария Владимировна, Федорова Надежда Евгеньевна, Шабунин Михаил Иванович, издательство Просвещение, Москва, 2014, страница 414, номер 1414, Решение 7 (продолжение 4)
Решение 8. №1414 (с. 414)

1) $x^{1 + \lg x} < 0.1^{-2}$

Область допустимых значений (ОДЗ): $x > 0$ (основание степени и аргумент логарифма должны быть положительными).

Преобразуем правую часть неравенства:

$0.1^{-2} = (10^{-1})^{-2} = 10^2 = 100$

Получаем неравенство:

$x^{1 + \lg x} < 100$

Прологарифмируем обе части неравенства по основанию 10. Так как основание $10 > 1$, знак неравенства сохраняется.

$\lg(x^{1 + \lg x}) < \lg(100)$

Используя свойство логарифма степени $\lg(a^b) = b \cdot \lg a$, получаем:

$(1 + \lg x) \cdot \lg x < \lg(10^2)$

$(1 + \lg x) \cdot \lg x < 2$

Сделаем замену переменной. Пусть $t = \lg x$. Неравенство принимает вид:

$(1 + t)t < 2$

$t^2 + t - 2 < 0$

Найдем корни квадратного уравнения $t^2 + t - 2 = 0$. По теореме Виета, корни $t_1 = -2$ и $t_2 = 1$.

Так как это парабола с ветвями вверх, неравенство $t^2 + t - 2 < 0$ выполняется между корнями:

$-2 < t < 1$

Вернемся к исходной переменной:

$-2 < \lg x < 1$

Это система двух неравенств:

$\lg x > -2 \implies x > 10^{-2} \implies x > 0.01$

$\lg x < 1 \implies x < 10^1 \implies x < 10$

Объединяя решения и учитывая ОДЗ ($x>0$), получаем:

$0.01 < x < 10$

Ответ: $(0.01; 10)$

2) $\sqrt{x^{4 \lg x}} < 10x$

ОДЗ: $x > 0$.

Преобразуем левую часть неравенства:

$\sqrt{x^{4 \lg x}} = (x^{4 \lg x})^{1/2} = x^{\frac{1}{2} \cdot 4 \lg x} = x^{2 \lg x}$

Неравенство принимает вид:

$x^{2 \lg x} < 10x$

Прологарифмируем обе части по основанию 10 (знак неравенства сохраняется):

$\lg(x^{2 \lg x}) < \lg(10x)$

Используя свойства логарифмов $\lg(a^b) = b \lg a$ и $\lg(ab) = \lg a + \lg b$:

$(2 \lg x) \cdot \lg x < \lg 10 + \lg x$

$2(\lg x)^2 < 1 + \lg x$

Сделаем замену $t = \lg x$:

$2t^2 < 1 + t$

$2t^2 - t - 1 < 0$

Найдем корни уравнения $2t^2 - t - 1 = 0$.

Дискриминант $D = (-1)^2 - 4 \cdot 2 \cdot (-1) = 1 + 8 = 9$.

$t_{1,2} = \frac{1 \pm \sqrt{9}}{4}$, откуда $t_1 = \frac{1-3}{4} = -0.5$ и $t_2 = \frac{1+3}{4} = 1$.

Неравенство выполняется между корнями:

$-0.5 < t < 1$

Возвращаемся к замене:

$-0.5 < \lg x < 1$

$10^{-0.5} < x < 10^1$

$\frac{1}{\sqrt{10}} < x < 10$

Решение удовлетворяет ОДЗ.

Ответ: $(\frac{1}{\sqrt{10}}; 10)$

3) $x + 3 > \log_3 (26 + 3^x)$

ОДЗ: $26 + 3^x > 0$. Поскольку $3^x > 0$ для любого $x$, это выражение всегда положительно. ОДЗ: $x \in \mathbb{R}$.

Представим левую часть в виде логарифма по основанию 3:

$x + 3 = \log_3(3^{x+3})$

Неравенство принимает вид:

$\log_3(3^{x+3}) > \log_3(26 + 3^x)$

Так как основание логарифма $3 > 1$, переходим к неравенству для подлогарифмических выражений, сохраняя знак:

$3^{x+3} > 26 + 3^x$

$3^x \cdot 3^3 > 26 + 3^x$

$27 \cdot 3^x > 26 + 3^x$

Сделаем замену $y = 3^x$, где $y > 0$:

$27y > 26 + y$

$26y > 26$

$y > 1$

Вернемся к замене:

$3^x > 1$

$3^x > 3^0$

Так как основание $3 > 1$, то $x > 0$.

Ответ: $(0; +\infty)$

4) $3 - x < \log_5 (20 + 5^x)$

ОДЗ: $20 + 5^x > 0$. Это верно для всех $x$, так как $5^x > 0$. ОДЗ: $x \in \mathbb{R}$.

Представим левую часть как логарифм по основанию 5:

$3 - x = \log_5(5^{3-x})$

Неравенство принимает вид:

$\log_5(5^{3-x}) < \log_5(20 + 5^x)$

Основание логарифма $5 > 1$, поэтому переходим к неравенству для подлогарифмических выражений:

$5^{3-x} < 20 + 5^x$

$5^3 \cdot 5^{-x} < 20 + 5^x$

$\frac{125}{5^x} < 20 + 5^x$

Сделаем замену $y = 5^x$, где $y > 0$:

$\frac{125}{y} < 20 + y$

Так как $y > 0$, умножим обе части на $y$, сохранив знак неравенства:

$125 < 20y + y^2$

$y^2 + 20y - 125 > 0$

Найдем корни уравнения $y^2 + 20y - 125 = 0$.

Дискриминант $D = 20^2 - 4 \cdot 1 \cdot (-125) = 400 + 500 = 900$.

$y_{1,2} = \frac{-20 \pm \sqrt{900}}{2} = \frac{-20 \pm 30}{2}$. Корни $y_1 = -25$ и $y_2 = 5$.

Неравенство $y^2 + 20y - 125 > 0$ выполняется, когда $y < -25$ или $y > 5$.

Учитывая условие $y > 0$, получаем $y > 5$.

Вернемся к замене:

$5^x > 5$

$5^x > 5^1$

Так как основание $5 > 1$, то $x > 1$.

Ответ: $(1; +\infty)$

Помогло решение? Оставьте отзыв в комментариях ниже.

Присоединяйтесь к Телеграм-группе @top_gdz

Присоединиться

Мы подготовили для вас ответ c подробным объяснением домашего задания по алгебре за 10-11 класс, для упражнения номер 1414 расположенного на странице 414 к учебнику 2014 года издания для учащихся школ и гимназий.

Теперь на нашем сайте ГДЗ.ТОП вы всегда легко и бесплатно найдёте условие с правильным ответом на вопрос «Как решить ДЗ» и «Как сделать» задание по алгебре к упражнению №1414 (с. 414), авторов: Алимов (Шавкат Арифджанович), Колягин (Юрий Михайлович), Ткачева (Мария Владимировна), Федорова (Надежда Евгеньевна), Шабунин (Михаил Иванович), ФГОС (старый) базовый и углублённый уровень обучения учебного пособия издательства Просвещение.