Номер 1561, страница 426 - гдз по алгебре 10-11 класс учебник Алимов, Колягин

Алгебра, 10-11 класс Учебник, авторы: Алимов Шавкат Арифджанович, Колягин Юрий Михайлович, Ткачева Мария Владимировна, Федорова Надежда Евгеньевна, Шабунин Михаил Иванович, издательство Просвещение, Москва, 2014

Авторы: Алимов Ш. А., Колягин Ю. М., Ткачева М. В., Федорова Н. Е., Шабунин М. И.

Тип: Учебник

Издательство: Просвещение

Год издания: 2014 - 2026

Уровень обучения: базовый и углублённый

Цвет обложки: синий, фиолетовый

ISBN: 978-5-09-112136-0

Допущено Министерством просвещения Российской Федерации

Математика: алгебра и начала математического анализа, геометрия

Популярные ГДЗ в 10 классе

Задачи для внеклассной работы - номер 1561, страница 426.

№1561 (с. 426)
Условие. №1561 (с. 426)
скриншот условия
Алгебра, 10-11 класс Учебник, авторы: Алимов Шавкат Арифджанович, Колягин Юрий Михайлович, Ткачева Мария Владимировна, Федорова Надежда Евгеньевна, Шабунин Михаил Иванович, издательство Просвещение, Москва, 2014, страница 426, номер 1561, Условие

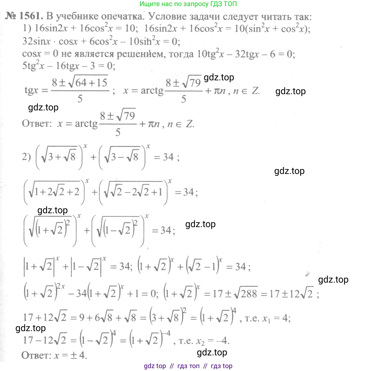
1561 1) $16^{\sin^2 x} + 16^{\cos^2 x} = 10;$

2) $(\sqrt{3+\sqrt{8}})^x + (\sqrt{3-\sqrt{8}})^x = 34.$

Решение 1. №1561 (с. 426)
Алгебра, 10-11 класс Учебник, авторы: Алимов Шавкат Арифджанович, Колягин Юрий Михайлович, Ткачева Мария Владимировна, Федорова Надежда Евгеньевна, Шабунин Михаил Иванович, издательство Просвещение, Москва, 2014, страница 426, номер 1561, Решение 1
Алгебра, 10-11 класс Учебник, авторы: Алимов Шавкат Арифджанович, Колягин Юрий Михайлович, Ткачева Мария Владимировна, Федорова Надежда Евгеньевна, Шабунин Михаил Иванович, издательство Просвещение, Москва, 2014, страница 426, номер 1561, Решение 1 (продолжение 2)
Решение 2. №1561 (с. 426)
Алгебра, 10-11 класс Учебник, авторы: Алимов Шавкат Арифджанович, Колягин Юрий Михайлович, Ткачева Мария Владимировна, Федорова Надежда Евгеньевна, Шабунин Михаил Иванович, издательство Просвещение, Москва, 2014, страница 426, номер 1561, Решение 2
Алгебра, 10-11 класс Учебник, авторы: Алимов Шавкат Арифджанович, Колягин Юрий Михайлович, Ткачева Мария Владимировна, Федорова Надежда Евгеньевна, Шабунин Михаил Иванович, издательство Просвещение, Москва, 2014, страница 426, номер 1561, Решение 2 (продолжение 2)
Решение 3. №1561 (с. 426)
Алгебра, 10-11 класс Учебник, авторы: Алимов Шавкат Арифджанович, Колягин Юрий Михайлович, Ткачева Мария Владимировна, Федорова Надежда Евгеньевна, Шабунин Михаил Иванович, издательство Просвещение, Москва, 2014, страница 426, номер 1561, Решение 3
Решение 7. №1561 (с. 426)
Алгебра, 10-11 класс Учебник, авторы: Алимов Шавкат Арифджанович, Колягин Юрий Михайлович, Ткачева Мария Владимировна, Федорова Надежда Евгеньевна, Шабунин Михаил Иванович, издательство Просвещение, Москва, 2014, страница 426, номер 1561, Решение 7
Алгебра, 10-11 класс Учебник, авторы: Алимов Шавкат Арифджанович, Колягин Юрий Михайлович, Ткачева Мария Владимировна, Федорова Надежда Евгеньевна, Шабунин Михаил Иванович, издательство Просвещение, Москва, 2014, страница 426, номер 1561, Решение 7 (продолжение 2)
Решение 8. №1561 (с. 426)

1) $16^{\sin^2 x} + 16^{\cos^2 x} = 10$

Воспользуемся основным тригонометрическим тождеством $\sin^2 x + \cos^2 x = 1$, из которого выразим $\cos^2 x = 1 - \sin^2 x$. Подставим это в исходное уравнение:

$16^{\sin^2 x} + 16^{1 - \sin^2 x} = 10$

Используя свойство степеней $a^{m-n} = \frac{a^m}{a^n}$, преобразуем второе слагаемое:

$16^{\sin^2 x} + \frac{16^1}{16^{\sin^2 x}} = 10$

Введем замену. Пусть $y = 16^{\sin^2 x}$. Поскольку $0 \le \sin^2 x \le 1$, то $16^0 \le 16^{\sin^2 x} \le 16^1$, следовательно, $1 \le y \le 16$.

Уравнение с новой переменной принимает вид:

$y + \frac{16}{y} = 10$

Умножим обе части уравнения на $y$ (так как $y \ge 1$, то $y \neq 0$):

$y^2 + 16 = 10y$

$y^2 - 10y + 16 = 0$

Это квадратное уравнение. Решим его по теореме Виета. Сумма корней равна 10, а произведение равно 16. Корни:

$y_1 = 2$ и $y_2 = 8$.

Оба корня удовлетворяют условию $1 \le y \le 16$. Вернемся к исходной переменной $x$.

Случай 1: $y = 2$

$16^{\sin^2 x} = 2$

$(2^4)^{\sin^2 x} = 2^1$

$2^{4\sin^2 x} = 2^1$

$4\sin^2 x = 1$

$\sin^2 x = \frac{1}{4}$

$\sin x = \pm\frac{1}{2}$

Отсюда получаем серии решений: $x = \pm \frac{\pi}{6} + \pi k, k \in \mathbb{Z}$.

Случай 2: $y = 8$

$16^{\sin^2 x} = 8$

$(2^4)^{\sin^2 x} = 2^3$

$2^{4\sin^2 x} = 2^3$

$4\sin^2 x = 3$

$\sin^2 x = \frac{3}{4}$

$\sin x = \pm\frac{\sqrt{3}}{2}$

Отсюда получаем серии решений: $x = \pm \frac{\pi}{3} + \pi n, n \in \mathbb{Z}$.

Объединяя решения из обоих случаев, получаем окончательный ответ.
Ответ: $x = \pm \frac{\pi}{6} + \pi k, k \in \mathbb{Z}$; $x = \pm \frac{\pi}{3} + \pi n, n \in \mathbb{Z}$.


2) $(\sqrt{3+\sqrt{8}})^x + (\sqrt{3-\sqrt{8}})^x = 34$

Заметим, что основания степеней являются сопряженными иррациональными выражениями. Найдем их произведение:

$(\sqrt{3+\sqrt{8}}) \cdot (\sqrt{3-\sqrt{8}}) = \sqrt{(3+\sqrt{8})(3-\sqrt{8})} = \sqrt{3^2 - (\sqrt{8})^2} = \sqrt{9 - 8} = \sqrt{1} = 1$.

Поскольку произведение оснований равно 1, они являются взаимно обратными числами: $\sqrt{3-\sqrt{8}} = \frac{1}{\sqrt{3+\sqrt{8}}}$.

Введем замену. Пусть $y = (\sqrt{3+\sqrt{8}})^x$. Тогда $(\sqrt{3-\sqrt{8}})^x = ((\sqrt{3+\sqrt{8}})^{-1})^x = (\sqrt{3+\sqrt{8}})^{-x} = \frac{1}{y}$. Так как основание степени положительно, то $y>0$.

Уравнение принимает вид:

$y + \frac{1}{y} = 34$

Умножим обе части на $y$ ($y \neq 0$):

$y^2 + 1 = 34y$

$y^2 - 34y + 1 = 0$

Решим это квадратное уравнение с помощью дискриминанта:

$D = (-34)^2 - 4 \cdot 1 \cdot 1 = 1156 - 4 = 1152$.

$\sqrt{D} = \sqrt{1152} = \sqrt{576 \cdot 2} = 24\sqrt{2}$.

Корни уравнения:

$y_{1,2} = \frac{34 \pm 24\sqrt{2}}{2} = 17 \pm 12\sqrt{2}$.

Вернемся к замене. Для этого упростим основание степени $\sqrt{3+\sqrt{8}}$.

$\sqrt{3+\sqrt{8}} = \sqrt{3+2\sqrt{2}}$. Используем формулу сложного радикала $\sqrt{a \pm \sqrt{b}}$ или заметим, что подкоренное выражение является полным квадратом: $3+2\sqrt{2} = 1 + 2\sqrt{2} + 2 = 1^2 + 2 \cdot 1 \cdot \sqrt{2} + (\sqrt{2})^2 = (1+\sqrt{2})^2$.

Тогда $\sqrt{3+2\sqrt{2}} = \sqrt{(1+\sqrt{2})^2} = 1+\sqrt{2}$.

Наша замена: $y = (1+\sqrt{2})^x$.

Случай 1: $y = 17 + 12\sqrt{2}$

$(1+\sqrt{2})^x = 17 + 12\sqrt{2}$.

Попытаемся представить правую часть как степень выражения $(1+\sqrt{2})$:

$(1+\sqrt{2})^2 = 1 + 2\sqrt{2} + 2 = 3+2\sqrt{2}$.

$(1+\sqrt{2})^4 = ((1+\sqrt{2})^2)^2 = (3+2\sqrt{2})^2 = 3^2 + 2 \cdot 3 \cdot 2\sqrt{2} + (2\sqrt{2})^2 = 9 + 12\sqrt{2} + 8 = 17 + 12\sqrt{2}$.

Таким образом, $(1+\sqrt{2})^x = (1+\sqrt{2})^4$, откуда $x=4$.

Случай 2: $y = 17 - 12\sqrt{2}$

$(1+\sqrt{2})^x = 17 - 12\sqrt{2}$.

Так как $y_1$ и $y_2$ - корни уравнения $y^2-34y+1=0$, то $y_1 \cdot y_2 = 1$. Значит, $y_2 = \frac{1}{y_1}$.

$17 - 12\sqrt{2} = \frac{1}{17 + 12\sqrt{2}} = \frac{1}{(1+\sqrt{2})^4} = (1+\sqrt{2})^{-4}$.

Получаем уравнение $(1+\sqrt{2})^x = (1+\sqrt{2})^{-4}$, откуда $x=-4$.

Ответ: $x = \pm 4$.

Помогло решение? Оставьте отзыв в комментариях ниже.

Присоединяйтесь к Телеграм-группе @top_gdz

Присоединиться

Мы подготовили для вас ответ c подробным объяснением домашего задания по алгебре за 10-11 класс, для упражнения номер 1561 расположенного на странице 426 к учебнику 2014 года издания для учащихся школ и гимназий.

Теперь на нашем сайте ГДЗ.ТОП вы всегда легко и бесплатно найдёте условие с правильным ответом на вопрос «Как решить ДЗ» и «Как сделать» задание по алгебре к упражнению №1561 (с. 426), авторов: Алимов (Шавкат Арифджанович), Колягин (Юрий Михайлович), Ткачева (Мария Владимировна), Федорова (Надежда Евгеньевна), Шабунин (Михаил Иванович), ФГОС (старый) базовый и углублённый уровень обучения учебного пособия издательства Просвещение.