Номер 1563, страница 426 - гдз по алгебре 10-11 класс учебник Алимов, Колягин

Алгебра, 10-11 класс Учебник, авторы: Алимов Шавкат Арифджанович, Колягин Юрий Михайлович, Ткачева Мария Владимировна, Федорова Надежда Евгеньевна, Шабунин Михаил Иванович, издательство Просвещение, Москва, 2014

Авторы: Алимов Ш. А., Колягин Ю. М., Ткачева М. В., Федорова Н. Е., Шабунин М. И.

Тип: Учебник

Издательство: Просвещение

Год издания: 2014 - 2025

Уровень обучения: базовый и углублённый

Цвет обложки: синий, фиолетовый

ISBN: 978-5-09-112136-0

Допущено Министерством просвещения Российской Федерации

Математика: алгебра и начала математического анализа, геометрия

Популярные ГДЗ в 10 классе

Задачи для внеклассной работы - номер 1563, страница 426.

№1563 (с. 426)
Условие. №1563 (с. 426)
скриншот условия
Алгебра, 10-11 класс Учебник, авторы: Алимов Шавкат Арифджанович, Колягин Юрий Михайлович, Ткачева Мария Владимировна, Федорова Надежда Евгеньевна, Шабунин Михаил Иванович, издательство Просвещение, Москва, 2014, страница 426, номер 1563, Условие

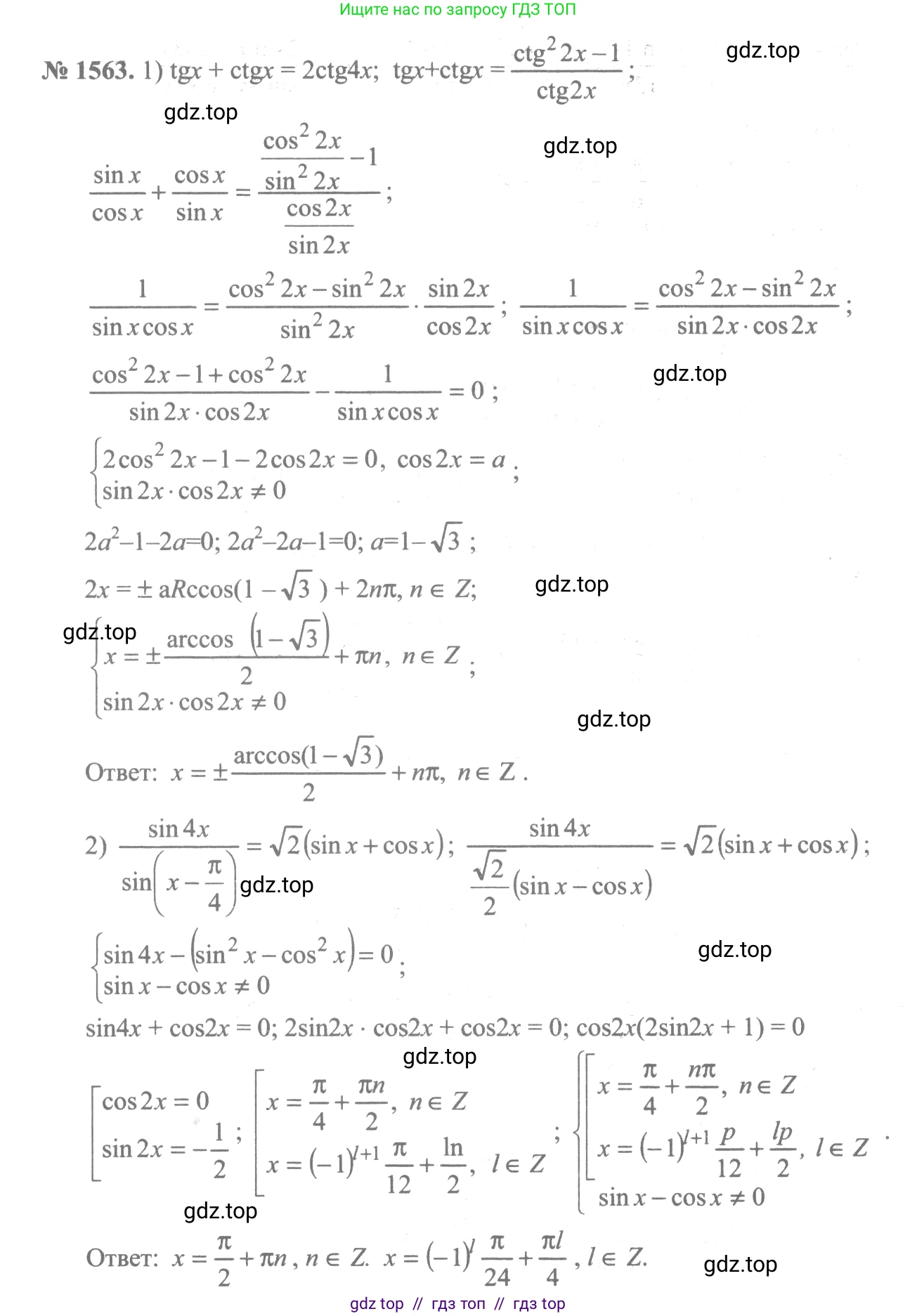
1563 1) $ \operatorname{tg} x + \operatorname{ctg} x = 2 \operatorname{ctg} 4x; $

2) $ \frac{\sin 4x}{\sin \left(x - \frac{\pi}{4}\right)} = \sqrt{2} (\sin x + \cos x). $

Решение 1. №1563 (с. 426)
Алгебра, 10-11 класс Учебник, авторы: Алимов Шавкат Арифджанович, Колягин Юрий Михайлович, Ткачева Мария Владимировна, Федорова Надежда Евгеньевна, Шабунин Михаил Иванович, издательство Просвещение, Москва, 2014, страница 426, номер 1563, Решение 1
Алгебра, 10-11 класс Учебник, авторы: Алимов Шавкат Арифджанович, Колягин Юрий Михайлович, Ткачева Мария Владимировна, Федорова Надежда Евгеньевна, Шабунин Михаил Иванович, издательство Просвещение, Москва, 2014, страница 426, номер 1563, Решение 1 (продолжение 2)
Решение 2. №1563 (с. 426)
Алгебра, 10-11 класс Учебник, авторы: Алимов Шавкат Арифджанович, Колягин Юрий Михайлович, Ткачева Мария Владимировна, Федорова Надежда Евгеньевна, Шабунин Михаил Иванович, издательство Просвещение, Москва, 2014, страница 426, номер 1563, Решение 2
Алгебра, 10-11 класс Учебник, авторы: Алимов Шавкат Арифджанович, Колягин Юрий Михайлович, Ткачева Мария Владимировна, Федорова Надежда Евгеньевна, Шабунин Михаил Иванович, издательство Просвещение, Москва, 2014, страница 426, номер 1563, Решение 2 (продолжение 2)
Решение 3. №1563 (с. 426)
Алгебра, 10-11 класс Учебник, авторы: Алимов Шавкат Арифджанович, Колягин Юрий Михайлович, Ткачева Мария Владимировна, Федорова Надежда Евгеньевна, Шабунин Михаил Иванович, издательство Просвещение, Москва, 2014, страница 426, номер 1563, Решение 3
Решение 7. №1563 (с. 426)
Алгебра, 10-11 класс Учебник, авторы: Алимов Шавкат Арифджанович, Колягин Юрий Михайлович, Ткачева Мария Владимировна, Федорова Надежда Евгеньевна, Шабунин Михаил Иванович, издательство Просвещение, Москва, 2014, страница 426, номер 1563, Решение 7
Алгебра, 10-11 класс Учебник, авторы: Алимов Шавкат Арифджанович, Колягин Юрий Михайлович, Ткачева Мария Владимировна, Федорова Надежда Евгеньевна, Шабунин Михаил Иванович, издательство Просвещение, Москва, 2014, страница 426, номер 1563, Решение 7 (продолжение 2)
Решение 8. №1563 (с. 426)

1)

Решим уравнение $\tg x + \ctg x = 2 \ctg 4x$.

Сначала определим область допустимых значений (ОДЗ).
Для существования $\tg x$ необходимо, чтобы $\cos x \neq 0$, то есть $x \neq \frac{\pi}{2} + \pi k$, $k \in \mathbb{Z}$.
Для существования $\ctg x$ необходимо, чтобы $\sin x \neq 0$, то есть $x \neq \pi k$, $k \in \mathbb{Z}$.
Для существования $\ctg 4x$ необходимо, чтобы $\sin 4x \neq 0$, то есть $4x \neq \pi n$, откуда $x \neq \frac{\pi n}{4}$, $n \in \mathbb{Z}$.
Объединяя эти условия, получаем ОДЗ: $x \neq \frac{\pi n}{4}$, $n \in \mathbb{Z}$.

Преобразуем левую часть уравнения:
$\tg x + \ctg x = \frac{\sin x}{\cos x} + \frac{\cos x}{\sin x} = \frac{\sin^2 x + \cos^2 x}{\sin x \cos x} = \frac{1}{\sin x \cos x}$.
Используя формулу синуса двойного угла $\sin 2x = 2 \sin x \cos x$, получим:
$\frac{1}{\sin x \cos x} = \frac{2}{2 \sin x \cos x} = \frac{2}{\sin 2x}$.

Теперь исходное уравнение принимает вид:
$\frac{2}{\sin 2x} = 2 \ctg 4x$
$\frac{1}{\sin 2x} = \ctg 4x$
$\frac{1}{\sin 2x} = \frac{\cos 4x}{\sin 4x}$

Перепишем уравнение как $\sin 4x = \sin 2x \cdot \cos 4x$.
Применим формулу синуса двойного угла для $\sin 4x = 2 \sin 2x \cos 2x$:
$2 \sin 2x \cos 2x = \sin 2x \cos 4x$
$2 \sin 2x \cos 2x - \sin 2x \cos 4x = 0$
$\sin 2x (2 \cos 2x - \cos 4x) = 0$

Это уравнение распадается на два:
a) $\sin 2x = 0$. Это означает $2x = \pi k$, или $x = \frac{\pi k}{2}$. Эти значения не входят в ОДЗ ($x \neq \frac{\pi n}{4}$, а при $n=2k$ как раз получается $x \neq \frac{\pi k}{2}$). Следовательно, в этом случае решений нет.
б) $2 \cos 2x - \cos 4x = 0$. Применим формулу косинуса двойного угла $\cos 4x = 2 \cos^2 2x - 1$:
$2 \cos 2x - (2 \cos^2 2x - 1) = 0$
$-2 \cos^2 2x + 2 \cos 2x + 1 = 0$
$2 \cos^2 2x - 2 \cos 2x - 1 = 0$

Сделаем замену $t = \cos 2x$, где $|t| \le 1$. Получим квадратное уравнение:
$2t^2 - 2t - 1 = 0$
$D = (-2)^2 - 4 \cdot 2 \cdot (-1) = 4 + 8 = 12$
$t = \frac{2 \pm \sqrt{12}}{4} = \frac{2 \pm 2\sqrt{3}}{4} = \frac{1 \pm \sqrt{3}}{2}$

Получаем два возможных значения для $t$:
$t_1 = \frac{1 + \sqrt{3}}{2} \approx \frac{1 + 1.732}{2} \approx 1.366$. Так как $t_1 > 1$, это решение не подходит, поскольку $|\cos 2x| \le 1$.
$t_2 = \frac{1 - \sqrt{3}}{2}$. Так как $-1 < \frac{1 - \sqrt{3}}{2} < 0$, это решение является допустимым.

Возвращаемся к переменной $x$:
$\cos 2x = \frac{1 - \sqrt{3}}{2}$
$2x = \pm \arccos\left(\frac{1 - \sqrt{3}}{2}\right) + 2\pi n, n \in \mathbb{Z}$
$x = \pm \frac{1}{2} \arccos\left(\frac{1 - \sqrt{3}}{2}\right) + \pi n, n \in \mathbb{Z}$
Эти решения удовлетворяют ОДЗ.

Ответ: $x = \pm \frac{1}{2} \arccos\left(\frac{1 - \sqrt{3}}{2}\right) + \pi n, n \in \mathbb{Z}$.


2)

Решим уравнение $\frac{\sin 4x}{\sin\left(x - \frac{\pi}{4}\right)} = \sqrt{2} (\sin x + \cos x)$.

ОДЗ: знаменатель не должен быть равен нулю.
$\sin\left(x - \frac{\pi}{4}\right) \neq 0$
$x - \frac{\pi}{4} \neq \pi k, k \in \mathbb{Z}$
$x \neq \frac{\pi}{4} + \pi k, k \in \mathbb{Z}$

Преобразуем правую часть уравнения, используя формулу вспомогательного угла:
$\sin x + \cos x = \sqrt{2}\left(\frac{1}{\sqrt{2}}\sin x + \frac{1}{\sqrt{2}}\cos x\right) = \sqrt{2}\left(\cos\frac{\pi}{4}\sin x + \sin\frac{\pi}{4}\cos x\right) = \sqrt{2}\sin\left(x + \frac{\pi}{4}\right)$.
Тогда правая часть исходного уравнения:
$\sqrt{2} (\sin x + \cos x) = \sqrt{2} \cdot \sqrt{2}\sin\left(x + \frac{\pi}{4}\right) = 2\sin\left(x + \frac{\pi}{4}\right)$.

Уравнение принимает вид:
$\frac{\sin 4x}{\sin\left(x - \frac{\pi}{4}\right)} = 2\sin\left(x + \frac{\pi}{4}\right)$

Умножим обе части на знаменатель $\sin\left(x - \frac{\pi}{4}\right)$ (с учетом ОДЗ):
$\sin 4x = 2\sin\left(x + \frac{\pi}{4}\right)\sin\left(x - \frac{\pi}{4}\right)$
Используем формулу произведения синусов $2 \sin \alpha \sin \beta = \cos(\alpha - \beta) - \cos(\alpha + \beta)$.
Здесь $\alpha = x + \frac{\pi}{4}$ и $\beta = x - \frac{\pi}{4}$.
$\alpha - \beta = \left(x + \frac{\pi}{4}\right) - \left(x - \frac{\pi}{4}\right) = \frac{\pi}{2}$
$\alpha + \beta = \left(x + \frac{\pi}{4}\right) + \left(x - \frac{\pi}{4}\right) = 2x$
Таким образом, $2\sin\left(x + \frac{\pi}{4}\right)\sin\left(x - \frac{\pi}{4}\right) = \cos\left(\frac{\pi}{2}\right) - \cos(2x) = 0 - \cos(2x) = -\cos(2x)$.

Уравнение сводится к:
$\sin 4x = -\cos 2x$
$\sin 4x + \cos 2x = 0$
Используем формулу $\sin 4x = 2 \sin 2x \cos 2x$:
$2 \sin 2x \cos 2x + \cos 2x = 0$
$\cos 2x (2 \sin 2x + 1) = 0$

Получаем два случая:
a) $\cos 2x = 0$. Тогда $2x = \frac{\pi}{2} + \pi n$, $x = \frac{\pi}{4} + \frac{\pi n}{2}$, $n \in \mathbb{Z}$.
Проверим эти решения по ОДЗ ($x \neq \frac{\pi}{4} + \pi k$).
Если $n$ - четное число, $n=2k$, то $x = \frac{\pi}{4} + \frac{2\pi k}{2} = \frac{\pi}{4} + \pi k$. Эти корни не удовлетворяют ОДЗ.
Если $n$ - нечетное число, $n=2k+1$, то $x = \frac{\pi}{4} + \frac{\pi(2k+1)}{2} = \frac{\pi}{4} + \pi k + \frac{\pi}{2} = \frac{3\pi}{4} + \pi k$. Эти корни удовлетворяют ОДЗ.
b) $2 \sin 2x + 1 = 0$. Тогда $\sin 2x = -\frac{1}{2}$.
$2x = (-1)^{m+1} \frac{\pi}{6} + \pi m$, $x = (-1)^{m+1} \frac{\pi}{12} + \frac{\pi m}{2}$, $m \in \mathbb{Z}$.
Эти решения не совпадают с $x = \frac{\pi}{4} + \pi k$, так как $\sin(2(\frac{\pi}{4} + \pi k)) = \sin(\frac{\pi}{2} + 2\pi k) = 1 \neq -\frac{1}{2}$. Следовательно, все корни из этой серии удовлетворяют ОДЗ.

Объединяем полученные решения.

Ответ: $x = \frac{3\pi}{4} + \pi k, k \in \mathbb{Z}$; $x = (-1)^{m+1} \frac{\pi}{12} + \frac{\pi m}{2}, m \in \mathbb{Z}$.

Помогло решение? Оставьте отзыв в комментариях ниже.

Присоединяйтесь к Телеграм-группе @top_gdz

Присоединиться

Мы подготовили для вас ответ c подробным объяснением домашего задания по алгебре за 10-11 класс, для упражнения номер 1563 расположенного на странице 426 к учебнику 2014 года издания для учащихся школ и гимназий.

Теперь на нашем сайте ГДЗ.ТОП вы всегда легко и бесплатно найдёте условие с правильным ответом на вопрос «Как решить ДЗ» и «Как сделать» задание по алгебре к упражнению №1563 (с. 426), авторов: Алимов (Шавкат Арифджанович), Колягин (Юрий Михайлович), Ткачева (Мария Владимировна), Федорова (Надежда Евгеньевна), Шабунин (Михаил Иванович), ФГОС (старый) базовый и углублённый уровень обучения учебного пособия издательства Просвещение.