Номер 1569, страница 427 - гдз по алгебре 10-11 класс учебник Алимов, Колягин

Алгебра, 10-11 класс Учебник, авторы: Алимов Шавкат Арифджанович, Колягин Юрий Михайлович, Ткачева Мария Владимировна, Федорова Надежда Евгеньевна, Шабунин Михаил Иванович, издательство Просвещение, Москва, 2014

Авторы: Алимов Ш. А., Колягин Ю. М., Ткачева М. В., Федорова Н. Е., Шабунин М. И.

Тип: Учебник

Издательство: Просвещение

Год издания: 2014 - 2026

Уровень обучения: базовый и углублённый

Цвет обложки: синий, фиолетовый

ISBN: 978-5-09-112136-0

Допущено Министерством просвещения Российской Федерации

Математика: алгебра и начала математического анализа, геометрия

Популярные ГДЗ в 10 классе

Задачи для внеклассной работы - номер 1569, страница 427.

№1569 (с. 427)
Условие. №1569 (с. 427)
скриншот условия
Алгебра, 10-11 класс Учебник, авторы: Алимов Шавкат Арифджанович, Колягин Юрий Михайлович, Ткачева Мария Владимировна, Федорова Надежда Евгеньевна, Шабунин Михаил Иванович, издательство Просвещение, Москва, 2014, страница 427, номер 1569, Условие

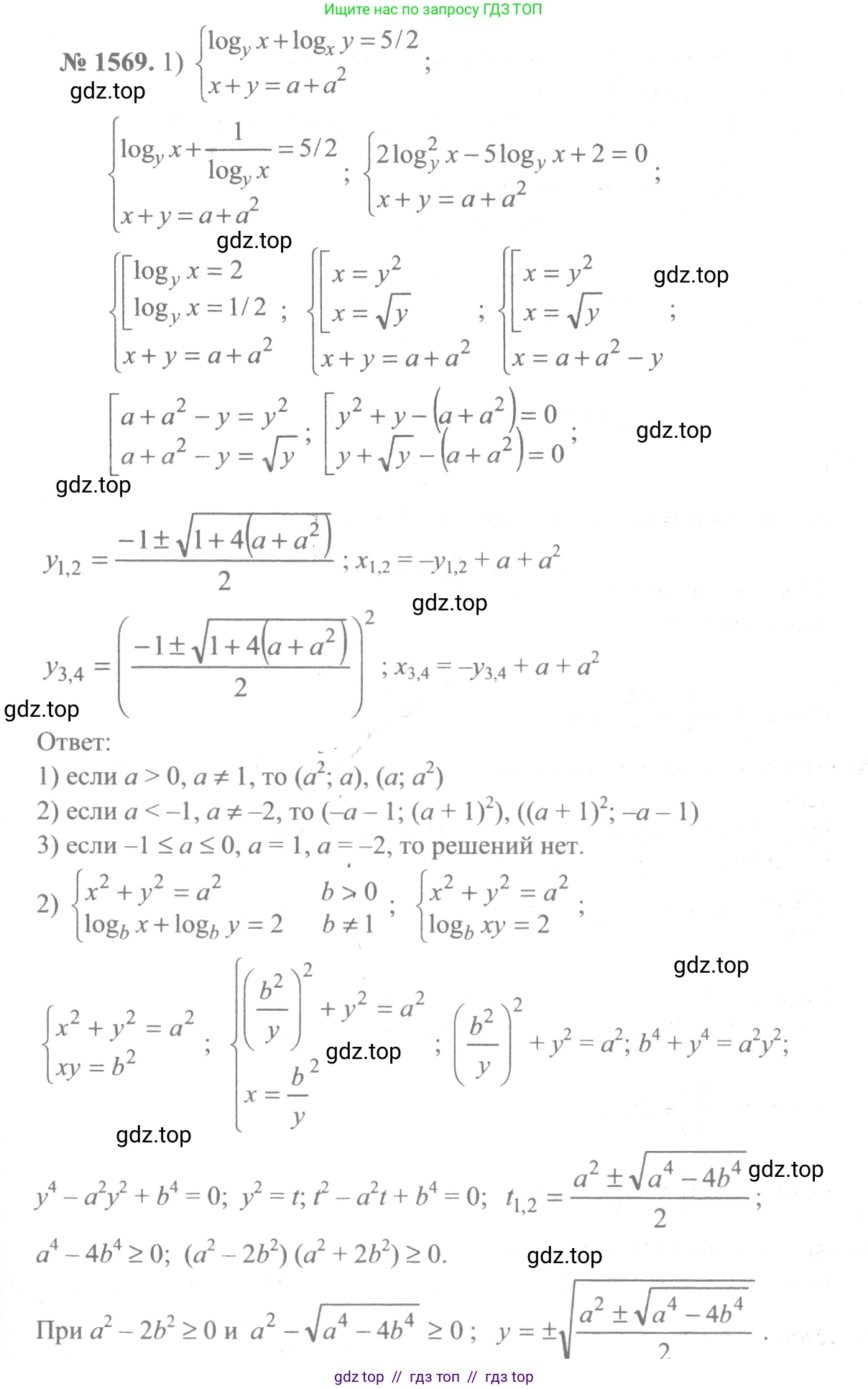
1569 Решить систему уравнений и установить, при каких значениях параметров a и b она имеет решение:

1) $\begin{cases} \log_y x + \log_x y = \frac{5}{2}, \\ x + y = a + a^2; \end{cases}$

2) $\begin{cases} x^2 + y^2 = a^2, \\ \log_b x + \log_b y = 2. \end{cases}$

Решение 1. №1569 (с. 427)
Алгебра, 10-11 класс Учебник, авторы: Алимов Шавкат Арифджанович, Колягин Юрий Михайлович, Ткачева Мария Владимировна, Федорова Надежда Евгеньевна, Шабунин Михаил Иванович, издательство Просвещение, Москва, 2014, страница 427, номер 1569, Решение 1
Алгебра, 10-11 класс Учебник, авторы: Алимов Шавкат Арифджанович, Колягин Юрий Михайлович, Ткачева Мария Владимировна, Федорова Надежда Евгеньевна, Шабунин Михаил Иванович, издательство Просвещение, Москва, 2014, страница 427, номер 1569, Решение 1 (продолжение 2)
Решение 2. №1569 (с. 427)
Алгебра, 10-11 класс Учебник, авторы: Алимов Шавкат Арифджанович, Колягин Юрий Михайлович, Ткачева Мария Владимировна, Федорова Надежда Евгеньевна, Шабунин Михаил Иванович, издательство Просвещение, Москва, 2014, страница 427, номер 1569, Решение 2
Алгебра, 10-11 класс Учебник, авторы: Алимов Шавкат Арифджанович, Колягин Юрий Михайлович, Ткачева Мария Владимировна, Федорова Надежда Евгеньевна, Шабунин Михаил Иванович, издательство Просвещение, Москва, 2014, страница 427, номер 1569, Решение 2 (продолжение 2)
Решение 3. №1569 (с. 427)
Алгебра, 10-11 класс Учебник, авторы: Алимов Шавкат Арифджанович, Колягин Юрий Михайлович, Ткачева Мария Владимировна, Федорова Надежда Евгеньевна, Шабунин Михаил Иванович, издательство Просвещение, Москва, 2014, страница 427, номер 1569, Решение 3
Решение 7. №1569 (с. 427)
Алгебра, 10-11 класс Учебник, авторы: Алимов Шавкат Арифджанович, Колягин Юрий Михайлович, Ткачева Мария Владимировна, Федорова Надежда Евгеньевна, Шабунин Михаил Иванович, издательство Просвещение, Москва, 2014, страница 427, номер 1569, Решение 7
Алгебра, 10-11 класс Учебник, авторы: Алимов Шавкат Арифджанович, Колягин Юрий Михайлович, Ткачева Мария Владимировна, Федорова Надежда Евгеньевна, Шабунин Михаил Иванович, издательство Просвещение, Москва, 2014, страница 427, номер 1569, Решение 7 (продолжение 2)
Решение 8. №1569 (с. 427)

1)

Дана система уравнений:

$$ \begin{cases} \log_y x + \log_x y = \frac{5}{2} \\ x + y = a + a^2 \end{cases} $$

Найдем область допустимых значений (ОДЗ):

$x > 0$, $x \neq 1$

$y > 0$, $y \neq 1$

Преобразуем первое уравнение, используя свойство логарифмов $\log_x y = \frac{1}{\log_y x}$.

Пусть $t = \log_y x$. Тогда уравнение примет вид:

$t + \frac{1}{t} = \frac{5}{2}$

Умножим обе части на $2t$ (из ОДЗ $x \neq 1$, значит $\log_y x \neq 0$, то есть $t \neq 0$):

$2t^2 + 2 = 5t$

$2t^2 - 5t + 2 = 0$

Решим это квадратное уравнение относительно $t$. Дискриминант $D = (-5)^2 - 4 \cdot 2 \cdot 2 = 25 - 16 = 9 = 3^2$.

$t_1 = \frac{5+3}{4} = 2$

$t_2 = \frac{5-3}{4} = \frac{1}{2}$

Таким образом, мы имеем два случая:

1. $\log_y x = 2 \implies x = y^2$

2. $\log_y x = \frac{1}{2} \implies x = y^{1/2} \implies y = x^2$

Второе уравнение системы, $x+y=a+a^2$, является симметричным относительно $x$ и $y$. Поэтому, если пара $(x_0, y_0)$ является решением, то и пара $(y_0, x_0)$ также будет решением. Это соответствует двум найденным случаям ($x=y^2$ и $y=x^2$). Рассмотрим случай $x=y^2$ и подставим его во второе уравнение:

$y^2 + y = a + a^2$

$y^2 + y - (a+a^2) = 0$

Решим это квадратное уравнение относительно $y$ по теореме Виета или через дискриминант. Заметим, что $-(a+a^2) = a(-1) + a^2(-1)$. Корнями являются $y_1=a$ и $y_2=-(a+1)=-a-1$. Проверим: $a+(-a-1) = -1$ (верно), $a(-a-1) = -a^2-a = -(a+a^2)$ (верно).

Теперь нужно проверить, при каких значениях параметра $a$ эти решения для $y$ (и соответствующие им $x$) удовлетворяют ОДЗ.

Случай 1: $y = a$.

Тогда $x = y^2 = a^2$. Проверим условия ОДЗ:

  • $y > 0 \implies a > 0$
  • $y \neq 1 \implies a \neq 1$
  • $x > 0 \implies a^2 > 0 \implies a \neq 0$. Это условие выполняется, так как $a > 0$.
  • $x \neq 1 \implies a^2 \neq 1 \implies a \neq 1$ и $a \neq -1$. Это условие также выполняется при $a>0, a \neq 1$.

Следовательно, решения $(x, y) = (a^2, a)$ и $(a, a^2)$ существуют при $a \in (0, 1) \cup (1, \infty)$.

Случай 2: $y = -a-1$.

Тогда $x = y^2 = (-a-1)^2 = (a+1)^2$. Проверим условия ОДЗ:

  • $y > 0 \implies -a-1 > 0 \implies -a > 1 \implies a < -1$.
  • $y \neq 1 \implies -a-1 \neq 1 \implies -a \neq 2 \implies a \neq -2$.
  • $x > 0 \implies (a+1)^2 > 0 \implies a \neq -1$. Это условие выполняется, так как $a < -1$.
  • $x \neq 1 \implies (a+1)^2 \neq 1 \implies a+1 \neq 1$ и $a+1 \neq -1 \implies a \neq 0$ и $a \neq -2$. Условие $a \neq 0$ выполняется при $a < -1$. Остается $a \neq -2$.

Следовательно, решения $(x,y) = ((a+1)^2, -a-1)$ и $(-a-1, (a+1)^2)$ существуют при $a \in (-\infty, -2) \cup (-2, -1)$.

Объединяя условия для обоих случаев, получаем, что система имеет решение при $a \in (-\infty, -2) \cup (-2, -1) \cup (0, 1) \cup (1, \infty)$.

Ответ: Система имеет решение при $a \in (-\infty, -2) \cup (-2, -1) \cup (0, 1) \cup (1, \infty)$.
При $a \in (0, 1) \cup (1, \infty)$ решениями являются пары $(a, a^2)$ и $(a^2, a)$.
При $a \in (-\infty, -2) \cup (-2, -1)$ решениями являются пары $(-a-1, (a+1)^2)$ и $((a+1)^2, -a-1)$.

2)

Дана система уравнений:

$$ \begin{cases} x^2 + y^2 = a^2 \\ \log_b x + \log_b y = 2 \end{cases} $$

Найдем область допустимых значений (ОДЗ):

$x > 0$

$y > 0$

$b > 0$, $b \neq 1$

Преобразуем второе уравнение, используя свойство логарифмов:

$\log_b (xy) = 2 \implies xy = b^2$.

Теперь система имеет вид:

$$ \begin{cases} x^2 + y^2 = a^2 \\ xy = b^2 \end{cases} $$

Это симметричная система. Воспользуемся тождеством $(x+y)^2 = x^2+y^2+2xy$.

$(x+y)^2 = a^2 + 2b^2$.

Так как по ОДЗ $x>0$ и $y>0$, то их сумма $x+y$ также должна быть положительной. Поэтому:

$x+y = \sqrt{a^2+2b^2}$.

Переменные $x$ и $y$ можно рассматривать как корни квадратного уравнения $t^2 - (x+y)t + xy = 0$ (по теореме Виета).

$t^2 - \sqrt{a^2+2b^2} \cdot t + b^2 = 0$.

Для того чтобы это уравнение имело действительные корни, его дискриминант $D$ должен быть неотрицательным ($D \ge 0$):

$D = (\sqrt{a^2+2b^2})^2 - 4 \cdot 1 \cdot b^2 = a^2+2b^2 - 4b^2 = a^2 - 2b^2$.

Условие существования решений: $a^2 - 2b^2 \ge 0 \implies a^2 \ge 2b^2$.

Это условие также влечет $a \neq 0$, так как если $a=0$, то $0 \ge 2b^2$, что при $b>0$ невозможно.

Найдем корни уравнения для $t$:

$t = \frac{\sqrt{a^2+2b^2} \pm \sqrt{a^2-2b^2}}{2}$.

Эти корни являются решениями для $x$ и $y$. Проверим, что они удовлетворяют условиям ОДЗ ($x>0, y>0$).

Сумма корней $\sqrt{a^2+2b^2} > 0$. Произведение корней $b^2>0$. По теореме Виета, если сумма и произведение корней положительны, то оба корня положительны.

Рассмотрим два случая для дискриминанта:

1. Если $a^2 > 2b^2$, то $D > 0$, и уравнение имеет два различных положительных корня. Система имеет две симметричные пары решений:

$(x, y) = \left( \frac{\sqrt{a^2+2b^2} + \sqrt{a^2-2b^2}}{2}, \frac{\sqrt{a^2+2b^2} - \sqrt{a^2-2b^2}}{2} \right)$

и

$(x, y) = \left( \frac{\sqrt{a^2+2b^2} - \sqrt{a^2-2b^2}}{2}, \frac{\sqrt{a^2+2b^2} + \sqrt{a^2-2b^2}}{2} \right)$.

2. Если $a^2 = 2b^2$, то $D=0$, и уравнение имеет один корень (кратности 2):

$t = \frac{\sqrt{a^2+2b^2}}{2} = \frac{\sqrt{2b^2+2b^2}}{2} = \frac{\sqrt{4b^2}}{2} = \frac{2|b|}{2} = |b|$.

Так как $b>0$, то $t=b$. В этом случае $x=y=b$. Система имеет одно решение $(b, b)$.

Ответ: Система имеет решение при выполнении условий $b>0, b \neq 1$ и $a^2 \ge 2b^2$.
Если $a^2 > 2b^2$, система имеет два решения: $\left( \frac{\sqrt{a^2+2b^2} + \sqrt{a^2-2b^2}}{2}, \frac{\sqrt{a^2+2b^2} - \sqrt{a^2-2b^2}}{2} \right)$ и $\left( \frac{\sqrt{a^2+2b^2} - \sqrt{a^2-2b^2}}{2}, \frac{\sqrt{a^2+2b^2} + \sqrt{a^2-2b^2}}{2} \right)$.
Если $a^2 = 2b^2$, система имеет одно решение: $(b, b)$.

Помогло решение? Оставьте отзыв в комментариях ниже.

Присоединяйтесь к Телеграм-группе @top_gdz

Присоединиться

Мы подготовили для вас ответ c подробным объяснением домашего задания по алгебре за 10-11 класс, для упражнения номер 1569 расположенного на странице 427 к учебнику 2014 года издания для учащихся школ и гимназий.

Теперь на нашем сайте ГДЗ.ТОП вы всегда легко и бесплатно найдёте условие с правильным ответом на вопрос «Как решить ДЗ» и «Как сделать» задание по алгебре к упражнению №1569 (с. 427), авторов: Алимов (Шавкат Арифджанович), Колягин (Юрий Михайлович), Ткачева (Мария Владимировна), Федорова (Надежда Евгеньевна), Шабунин (Михаил Иванович), ФГОС (старый) базовый и углублённый уровень обучения учебного пособия издательства Просвещение.