Номер 1572, страница 427 - гдз по алгебре 10-11 класс учебник Алимов, Колягин

Алгебра, 10-11 класс Учебник, авторы: Алимов Шавкат Арифджанович, Колягин Юрий Михайлович, Ткачева Мария Владимировна, Федорова Надежда Евгеньевна, Шабунин Михаил Иванович, издательство Просвещение, Москва, 2014

Авторы: Алимов Ш. А., Колягин Ю. М., Ткачева М. В., Федорова Н. Е., Шабунин М. И.

Тип: Учебник

Издательство: Просвещение

Год издания: 2014 - 2026

Уровень обучения: базовый и углублённый

Цвет обложки: синий, фиолетовый

ISBN: 978-5-09-112136-0

Допущено Министерством просвещения Российской Федерации

Математика: алгебра и начала математического анализа, геометрия

Популярные ГДЗ в 10 классе

Задачи для внеклассной работы - номер 1572, страница 427.

№1572 (с. 427)
Условие. №1572 (с. 427)
скриншот условия
Алгебра, 10-11 класс Учебник, авторы: Алимов Шавкат Арифджанович, Колягин Юрий Михайлович, Ткачева Мария Владимировна, Федорова Надежда Евгеньевна, Шабунин Михаил Иванович, издательство Просвещение, Москва, 2014, страница 427, номер 1572, Условие

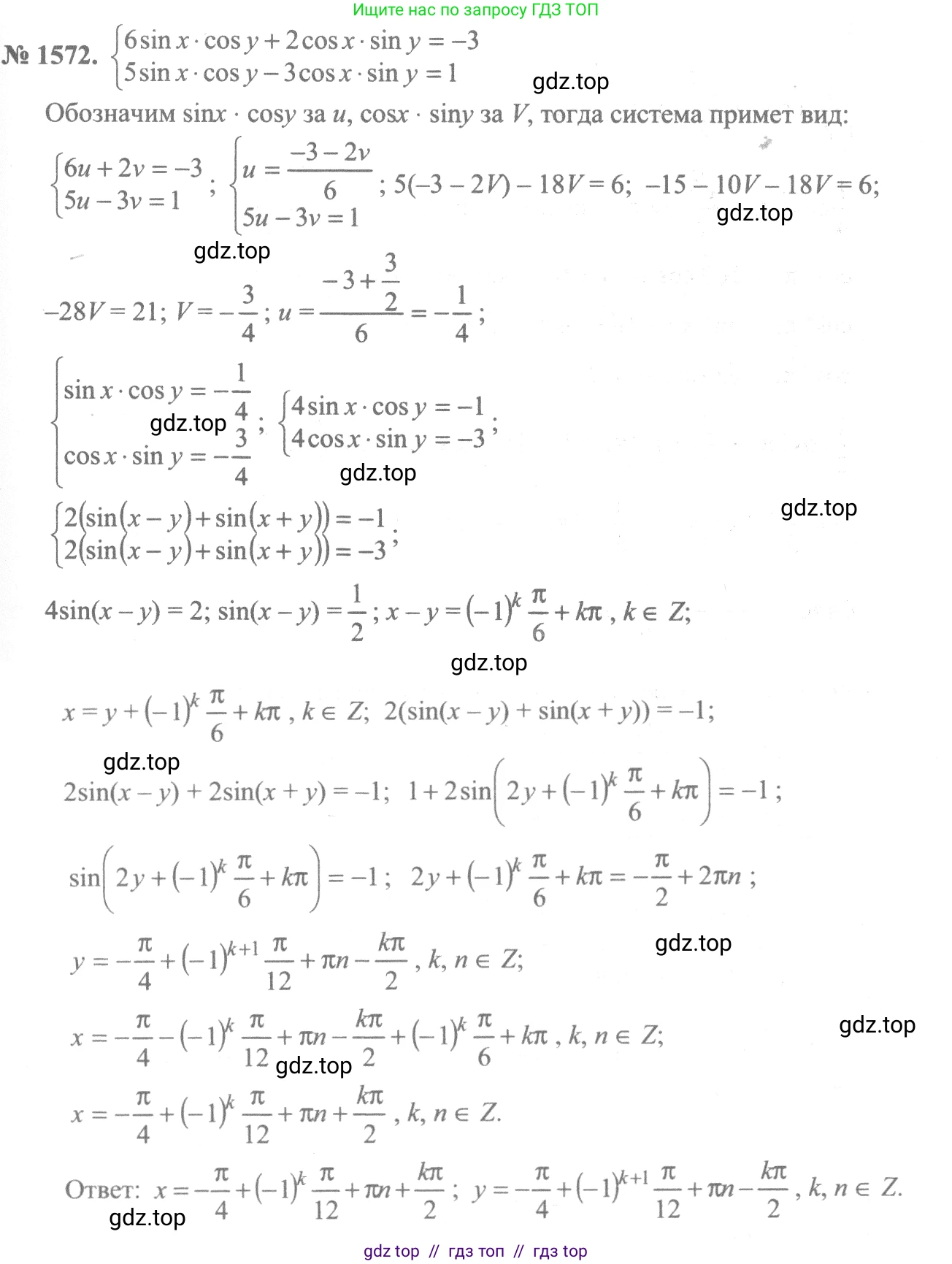
1572 $$ \begin{cases} 6 \sin x \cos y + 2 \cos x \sin y = -3, \\ 5 \sin x \cos y - 3 \cos x \sin y = 1. \end{cases} $$

Решение 1. №1572 (с. 427)
Алгебра, 10-11 класс Учебник, авторы: Алимов Шавкат Арифджанович, Колягин Юрий Михайлович, Ткачева Мария Владимировна, Федорова Надежда Евгеньевна, Шабунин Михаил Иванович, издательство Просвещение, Москва, 2014, страница 427, номер 1572, Решение 1
Решение 2. №1572 (с. 427)
Алгебра, 10-11 класс Учебник, авторы: Алимов Шавкат Арифджанович, Колягин Юрий Михайлович, Ткачева Мария Владимировна, Федорова Надежда Евгеньевна, Шабунин Михаил Иванович, издательство Просвещение, Москва, 2014, страница 427, номер 1572, Решение 2
Алгебра, 10-11 класс Учебник, авторы: Алимов Шавкат Арифджанович, Колягин Юрий Михайлович, Ткачева Мария Владимировна, Федорова Надежда Евгеньевна, Шабунин Михаил Иванович, издательство Просвещение, Москва, 2014, страница 427, номер 1572, Решение 2 (продолжение 2)
Решение 3. №1572 (с. 427)
Алгебра, 10-11 класс Учебник, авторы: Алимов Шавкат Арифджанович, Колягин Юрий Михайлович, Ткачева Мария Владимировна, Федорова Надежда Евгеньевна, Шабунин Михаил Иванович, издательство Просвещение, Москва, 2014, страница 427, номер 1572, Решение 3
Решение 7. №1572 (с. 427)
Алгебра, 10-11 класс Учебник, авторы: Алимов Шавкат Арифджанович, Колягин Юрий Михайлович, Ткачева Мария Владимировна, Федорова Надежда Евгеньевна, Шабунин Михаил Иванович, издательство Просвещение, Москва, 2014, страница 427, номер 1572, Решение 7
Алгебра, 10-11 класс Учебник, авторы: Алимов Шавкат Арифджанович, Колягин Юрий Михайлович, Ткачева Мария Владимировна, Федорова Надежда Евгеньевна, Шабунин Михаил Иванович, издательство Просвещение, Москва, 2014, страница 427, номер 1572, Решение 7 (продолжение 2)
Решение 8. №1572 (с. 427)

Данная система уравнений:

$ \begin{cases} 6 \sin x \cos y + 2 \cos x \sin y = -3, \\ 5 \sin x \cos y - 3 \cos x \sin y = 1. \end{cases} $

Заметим, что эта система является линейной относительно выражений $\sin x \cos y$ и $\cos x \sin y$. Введем замену переменных для упрощения:

Пусть $A = \sin x \cos y$ и $B = \cos x \sin y$.

Тогда система принимает вид:

$ \begin{cases} 6A + 2B = -3, \\ 5A - 3B = 1. \end{cases} $

Решим эту систему линейных уравнений. Умножим первое уравнение на 3, а второе на 2, чтобы исключить переменную $B$:

$ \begin{cases} 18A + 6B = -9, \\ 10A - 6B = 2. \end{cases} $

Сложим полученные уравнения:

$28A = -7 \implies A = -\frac{7}{28} = -\frac{1}{4}$.

Подставим найденное значение $A$ во второе исходное уравнение системы $5A - 3B = 1$:

$5(-\frac{1}{4}) - 3B = 1$

$-\frac{5}{4} - 3B = 1$

$-3B = 1 + \frac{5}{4}$

$-3B = \frac{9}{4} \implies B = -\frac{3}{4}$.

Теперь вернемся к исходным переменным $x$ и $y$:

$A = \sin x \cos y = -\frac{1}{4}$

$B = \cos x \sin y = -\frac{3}{4}$

Воспользуемся формулами синуса суммы и разности двух углов:

$\sin(x+y) = \sin x \cos y + \cos x \sin y = A + B = -\frac{1}{4} - \frac{3}{4} = -1$

$\sin(x-y) = \sin x \cos y - \cos x \sin y = A - B = -\frac{1}{4} - (-\frac{3}{4}) = \frac{2}{4} = \frac{1}{2}$

Таким образом, мы получили новую, более простую систему уравнений:

$ \begin{cases} \sin(x+y) = -1, \\ \sin(x-y) = \frac{1}{2}. \end{cases} $

Из первого уравнения получаем $x+y = -\frac{\pi}{2} + 2\pi k$, где $k \in \mathbb{Z}$.

Из второго уравнения получаем две серии решений для разности $x-y$: $x-y = \frac{\pi}{6} + 2\pi n$ или $x-y = \frac{5\pi}{6} + 2\pi m$, где $n, m \in \mathbb{Z}$. Это приводит к двум системам для нахождения $x$ и $y$.

В первом случае имеем систему:

$ \begin{cases} x+y = -\frac{\pi}{2} + 2\pi k, \\ x-y = \frac{\pi}{6} + 2\pi n. \end{cases} $

Складывая и вычитая уравнения этой системы, находим первую серию решений:

$2x = -\frac{\pi}{3} + 2\pi(k+n) \implies x = -\frac{\pi}{6} + \pi(k+n)$

$2y = -\frac{2\pi}{3} + 2\pi(k-n) \implies y = -\frac{\pi}{3} + \pi(k-n)$

Во втором случае имеем систему:

$ \begin{cases} x+y = -\frac{\pi}{2} + 2\pi k, \\ x-y = \frac{5\pi}{6} + 2\pi m. \end{cases} $

Аналогично, складывая и вычитая уравнения, находим вторую серию решений:

$2x = \frac{\pi}{3} + 2\pi(k+m) \implies x = \frac{\pi}{6} + \pi(k+m)$

$2y = -\frac{4\pi}{3} + 2\pi(k-m) \implies y = -\frac{2\pi}{3} + \pi(k-m)$

Объединяя оба случая, получаем полное решение системы.

Ответ: $(-\frac{\pi}{6} + \pi(k+n); -\frac{\pi}{3} + \pi(k-n))$, $(\frac{\pi}{6} + \pi(k+m); -\frac{2\pi}{3} + \pi(k-m))$, где $k, n, m \in \mathbb{Z}$.

Помогло решение? Оставьте отзыв в комментариях ниже.

Присоединяйтесь к Телеграм-группе @top_gdz

Присоединиться

Мы подготовили для вас ответ c подробным объяснением домашего задания по алгебре за 10-11 класс, для упражнения номер 1572 расположенного на странице 427 к учебнику 2014 года издания для учащихся школ и гимназий.

Теперь на нашем сайте ГДЗ.ТОП вы всегда легко и бесплатно найдёте условие с правильным ответом на вопрос «Как решить ДЗ» и «Как сделать» задание по алгебре к упражнению №1572 (с. 427), авторов: Алимов (Шавкат Арифджанович), Колягин (Юрий Михайлович), Ткачева (Мария Владимировна), Федорова (Надежда Евгеньевна), Шабунин (Михаил Иванович), ФГОС (старый) базовый и углублённый уровень обучения учебного пособия издательства Просвещение.