Номер 1578, страница 427 - гдз по алгебре 10-11 класс учебник Алимов, Колягин

Алгебра, 10-11 класс Учебник, авторы: Алимов Шавкат Арифджанович, Колягин Юрий Михайлович, Ткачева Мария Владимировна, Федорова Надежда Евгеньевна, Шабунин Михаил Иванович, издательство Просвещение, Москва, 2014

Авторы: Алимов Ш. А., Колягин Ю. М., Ткачева М. В., Федорова Н. Е., Шабунин М. И.

Тип: Учебник

Издательство: Просвещение

Год издания: 2014 - 2026

Уровень обучения: базовый и углублённый

Цвет обложки: синий, фиолетовый

ISBN: 978-5-09-112136-0

Допущено Министерством просвещения Российской Федерации

Математика: алгебра и начала математического анализа, геометрия

Популярные ГДЗ в 10 классе

Задачи для внеклассной работы - номер 1578, страница 427.

№1578 (с. 427)
Условие. №1578 (с. 427)
скриншот условия
Алгебра, 10-11 класс Учебник, авторы: Алимов Шавкат Арифджанович, Колягин Юрий Михайлович, Ткачева Мария Владимировна, Федорова Надежда Евгеньевна, Шабунин Михаил Иванович, издательство Просвещение, Москва, 2014, страница 427, номер 1578, Условие

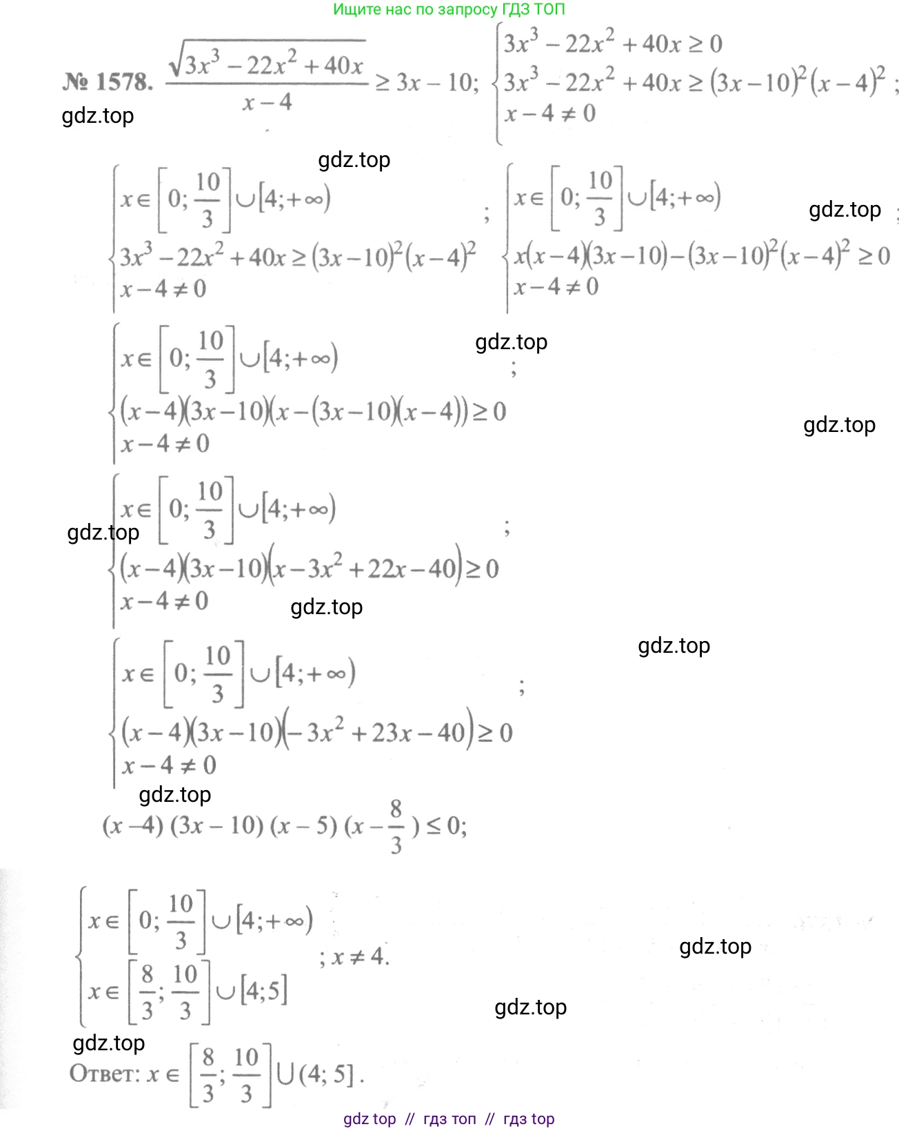
1578 $\sqrt{\frac{3x^3 - 22x^2 + 40x}{x-4}} \ge 3x - 10.$

Решение 1. №1578 (с. 427)
Алгебра, 10-11 класс Учебник, авторы: Алимов Шавкат Арифджанович, Колягин Юрий Михайлович, Ткачева Мария Владимировна, Федорова Надежда Евгеньевна, Шабунин Михаил Иванович, издательство Просвещение, Москва, 2014, страница 427, номер 1578, Решение 1
Решение 2. №1578 (с. 427)
Алгебра, 10-11 класс Учебник, авторы: Алимов Шавкат Арифджанович, Колягин Юрий Михайлович, Ткачева Мария Владимировна, Федорова Надежда Евгеньевна, Шабунин Михаил Иванович, издательство Просвещение, Москва, 2014, страница 427, номер 1578, Решение 2
Решение 3. №1578 (с. 427)
Алгебра, 10-11 класс Учебник, авторы: Алимов Шавкат Арифджанович, Колягин Юрий Михайлович, Ткачева Мария Владимировна, Федорова Надежда Евгеньевна, Шабунин Михаил Иванович, издательство Просвещение, Москва, 2014, страница 427, номер 1578, Решение 3
Решение 7. №1578 (с. 427)
Алгебра, 10-11 класс Учебник, авторы: Алимов Шавкат Арифджанович, Колягин Юрий Михайлович, Ткачева Мария Владимировна, Федорова Надежда Евгеньевна, Шабунин Михаил Иванович, издательство Просвещение, Москва, 2014, страница 427, номер 1578, Решение 7
Алгебра, 10-11 класс Учебник, авторы: Алимов Шавкат Арифджанович, Колягин Юрий Михайлович, Ткачева Мария Владимировна, Федорова Надежда Евгеньевна, Шабунин Михаил Иванович, издательство Просвещение, Москва, 2014, страница 427, номер 1578, Решение 7 (продолжение 2)
Решение 8. №1578 (с. 427)

Для решения иррационального неравенства $ \sqrt{\frac{3x^3 - 22x^2 + 40x}{x-4}} \ge 3x - 10 $ сначала найдем область допустимых значений (ОДЗ).

Подкоренное выражение должно быть неотрицательным, а знаменатель не должен быть равен нулю:

$$ \frac{3x^3 - 22x^2 + 40x}{x-4} \ge 0 $$

Разложим числитель на множители. Вынесем $x$ за скобки: $x(3x^2 - 22x + 40)$.

Найдем корни квадратного трехчлена $3x^2 - 22x + 40 = 0$.

Дискриминант $D = (-22)^2 - 4 \cdot 3 \cdot 40 = 484 - 480 = 4 = 2^2$.

Корни: $x_{1,2} = \frac{22 \pm 2}{2 \cdot 3}$.

$x_1 = \frac{22+2}{6} = \frac{24}{6} = 4$.

$x_2 = \frac{22-2}{6} = \frac{20}{6} = \frac{10}{3}$.

Следовательно, числитель можно представить в виде $x(x-4)(3x-10)$.

Неравенство для ОДЗ примет вид:

$$ \frac{x(3x-10)(x-4)}{x-4} \ge 0 $$

Данное выражение определено при $x \ne 4$. При этом условии мы можем сократить дробь, и неравенство становится равносильным системе:

$$ \begin{cases} x(3x-10) \ge 0 \\ x \ne 4 \end{cases} $$

Решением неравенства $x(3x-10) \ge 0$ методом интервалов являются промежутки $(-\infty, 0] \cup [\frac{10}{3}, \infty)$. Учитывая, что $x \ne 4$, получаем ОДЗ:

$x \in (-\infty, 0] \cup [\frac{10}{3}, 4) \cup (4, \infty)$.

Теперь решим исходное неравенство на найденной ОДЗ. На этой области неравенство эквивалентно следующему:

$$ \sqrt{x(3x-10)} \ge 3x - 10 $$

Разобьем решение на два случая в зависимости от знака выражения в правой части.

Случай 1: $3x - 10 < 0$.

Это условие выполняется при $3x < 10$, то есть $x < \frac{10}{3}$. В этом случае правая часть неравенства отрицательна, а левая часть (квадратный корень) по определению неотрицательна. Неравенство вида "неотрицательное число $\ge$ отрицательное число" всегда истинно. Следовательно, решением в этом случае будут все значения $x$ из ОДЗ, удовлетворяющие условию $x < \frac{10}{3}$.

Пересекая ОДЗ $x \in (-\infty, 0] \cup [\frac{10}{3}, 4) \cup (4, \infty)$ с условием $x < \frac{10}{3}$, получаем решение для первого случая:

$x \in (-\infty, 0]$.

Случай 2: $3x - 10 \ge 0$.

Это условие выполняется при $x \ge \frac{10}{3}$. В этом случае обе части неравенства неотрицательны, поэтому мы можем возвести обе части в квадрат, не меняя знака неравенства:

$$ x(3x-10) \ge (3x-10)^2 $$

Перенесем все члены в левую часть и вынесем общий множитель $(3x-10)$:

$$ x(3x-10) - (3x-10)^2 \ge 0 $$

$$ (3x-10)(x - (3x-10)) \ge 0 $$

$$ (3x-10)(x - 3x + 10) \ge 0 $$

$$ (3x-10)(-2x + 10) \ge 0 $$

Вынесем $-2$ из второй скобки:

$$ -2(3x-10)(x - 5) \ge 0 $$

Разделим обе части на $-2$ и изменим знак неравенства на противоположный:

$$ (3x-10)(x - 5) \le 0 $$

Корни этого выражения: $x = \frac{10}{3}$ и $x = 5$. Решением этого неравенства является отрезок $[\frac{10}{3}, 5]$.

Теперь необходимо учесть условие этого случая $x \ge \frac{10}{3}$ и ОДЗ. Решение $[\frac{10}{3}, 5]$ полностью удовлетворяет условию $x \ge \frac{10}{3}$.

Найдем пересечение этого решения с соответствующей частью ОДЗ: $x \in [\frac{10}{3}, 4) \cup (4, \infty)$.

Пересечение отрезка $[\frac{10}{3}, 5]$ и множества $[\frac{10}{3}, 4) \cup (4, \infty)$ дает:

$x \in [\frac{10}{3}, 4) \cup (4, 5]$.

Объединяя решения из двух случаев, получаем окончательный ответ.

Из случая 1: $x \in (-\infty, 0]$.

Из случая 2: $x \in [\frac{10}{3}, 4) \cup (4, 5]$.

Итоговое решение является объединением этих множеств.

Ответ: $x \in (-\infty, 0] \cup [\frac{10}{3}, 4) \cup (4, 5]$.

Помогло решение? Оставьте отзыв в комментариях ниже.

Присоединяйтесь к Телеграм-группе @top_gdz

Присоединиться

Мы подготовили для вас ответ c подробным объяснением домашего задания по алгебре за 10-11 класс, для упражнения номер 1578 расположенного на странице 427 к учебнику 2014 года издания для учащихся школ и гимназий.

Теперь на нашем сайте ГДЗ.ТОП вы всегда легко и бесплатно найдёте условие с правильным ответом на вопрос «Как решить ДЗ» и «Как сделать» задание по алгебре к упражнению №1578 (с. 427), авторов: Алимов (Шавкат Арифджанович), Колягин (Юрий Михайлович), Ткачева (Мария Владимировна), Федорова (Надежда Евгеньевна), Шабунин (Михаил Иванович), ФГОС (старый) базовый и углублённый уровень обучения учебного пособия издательства Просвещение.