Номер 1571, страница 427 - гдз по алгебре 10-11 класс учебник Алимов, Колягин

Алгебра, 10-11 класс Учебник, авторы: Алимов Шавкат Арифджанович, Колягин Юрий Михайлович, Ткачева Мария Владимировна, Федорова Надежда Евгеньевна, Шабунин Михаил Иванович, издательство Просвещение, Москва, 2014

Авторы: Алимов Ш. А., Колягин Ю. М., Ткачева М. В., Федорова Н. Е., Шабунин М. И.

Тип: Учебник

Издательство: Просвещение

Год издания: 2014 - 2025

Уровень обучения: базовый и углублённый

Цвет обложки: синий, фиолетовый

ISBN: 978-5-09-112136-0

Допущено Министерством просвещения Российской Федерации

Математика: алгебра и начала математического анализа, геометрия

Популярные ГДЗ в 10 классе

Задачи для внеклассной работы - номер 1571, страница 427.

№1571 (с. 427)
Условие. №1571 (с. 427)
скриншот условия
Алгебра, 10-11 класс Учебник, авторы: Алимов Шавкат Арифджанович, Колягин Юрий Михайлович, Ткачева Мария Владимировна, Федорова Надежда Евгеньевна, Шабунин Михаил Иванович, издательство Просвещение, Москва, 2014, страница 427, номер 1571, Условие

Решить систему уравнений (1571–1573).

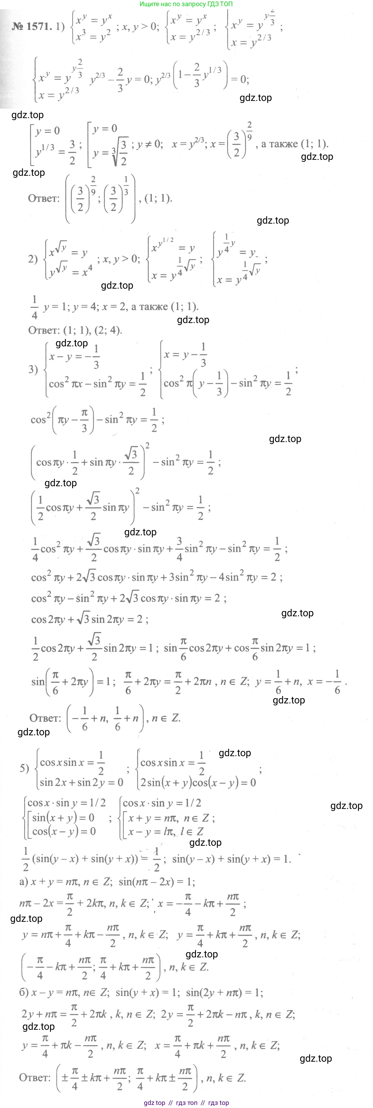
1571 1) $\begin{cases} x^y = y^x, \\ x^3 = y^2; \end{cases}$

2) $\begin{cases} x^{\sqrt{y}} = y, \\ y^{\sqrt{y}} = x^4; \end{cases}$

3) $\begin{cases} x - y = -\frac{1}{3}, \\ \cos^2 \pi x - \sin^2 \pi y = \frac{1}{2}. \end{cases}$

Решение 1. №1571 (с. 427)
Алгебра, 10-11 класс Учебник, авторы: Алимов Шавкат Арифджанович, Колягин Юрий Михайлович, Ткачева Мария Владимировна, Федорова Надежда Евгеньевна, Шабунин Михаил Иванович, издательство Просвещение, Москва, 2014, страница 427, номер 1571, Решение 1
Алгебра, 10-11 класс Учебник, авторы: Алимов Шавкат Арифджанович, Колягин Юрий Михайлович, Ткачева Мария Владимировна, Федорова Надежда Евгеньевна, Шабунин Михаил Иванович, издательство Просвещение, Москва, 2014, страница 427, номер 1571, Решение 1 (продолжение 2)
Алгебра, 10-11 класс Учебник, авторы: Алимов Шавкат Арифджанович, Колягин Юрий Михайлович, Ткачева Мария Владимировна, Федорова Надежда Евгеньевна, Шабунин Михаил Иванович, издательство Просвещение, Москва, 2014, страница 427, номер 1571, Решение 1 (продолжение 3)
Решение 2. №1571 (с. 427)
Алгебра, 10-11 класс Учебник, авторы: Алимов Шавкат Арифджанович, Колягин Юрий Михайлович, Ткачева Мария Владимировна, Федорова Надежда Евгеньевна, Шабунин Михаил Иванович, издательство Просвещение, Москва, 2014, страница 427, номер 1571, Решение 2
Алгебра, 10-11 класс Учебник, авторы: Алимов Шавкат Арифджанович, Колягин Юрий Михайлович, Ткачева Мария Владимировна, Федорова Надежда Евгеньевна, Шабунин Михаил Иванович, издательство Просвещение, Москва, 2014, страница 427, номер 1571, Решение 2 (продолжение 2)
Решение 7. №1571 (с. 427)
Алгебра, 10-11 класс Учебник, авторы: Алимов Шавкат Арифджанович, Колягин Юрий Михайлович, Ткачева Мария Владимировна, Федорова Надежда Евгеньевна, Шабунин Михаил Иванович, издательство Просвещение, Москва, 2014, страница 427, номер 1571, Решение 7
Алгебра, 10-11 класс Учебник, авторы: Алимов Шавкат Арифджанович, Колягин Юрий Михайлович, Ткачева Мария Владимировна, Федорова Надежда Евгеньевна, Шабунин Михаил Иванович, издательство Просвещение, Москва, 2014, страница 427, номер 1571, Решение 7 (продолжение 2)
Алгебра, 10-11 класс Учебник, авторы: Алимов Шавкат Арифджанович, Колягин Юрий Михайлович, Ткачева Мария Владимировна, Федорова Надежда Евгеньевна, Шабунин Михаил Иванович, издательство Просвещение, Москва, 2014, страница 427, номер 1571, Решение 7 (продолжение 3)
Решение 8. №1571 (с. 427)

1)

Дана система уравнений:

$$ \begin{cases} x^y = y^x, \\ x^3 = y^2. \end{cases} $$

Область допустимых значений для данной системы: $x > 0$, $y > 0$.

Из второго уравнения $x^3 = y^2$ выразим $y$ через $x$. Так как $y > 0$, получаем $y = \sqrt{x^3} = x^{\frac{3}{2}}$.

Подставим это выражение для $y$ в первое уравнение системы:

$x^{(x^{\frac{3}{2}})} = (x^{\frac{3}{2}})^x$

$x^{x^{\frac{3}{2}}} = x^{\frac{3}{2}x}$

Это показательное уравнение. Равенство достигается в двух случаях:

Случай 1: Основание степени равно 1.

$x = 1$.

Найдем соответствующее значение $y$: $y = 1^{\frac{3}{2}} = 1$.

Проверим решение $(1, 1)$ в исходной системе:

$1^1 = 1^1$ (верно, $1=1$)

$1^3 = 1^2$ (верно, $1=1$)

Следовательно, пара $(1, 1)$ является решением системы.

Случай 2: Основания степеней равны и не равны 1, значит, показатели степеней должны быть равны.

$x^{\frac{3}{2}} = \frac{3}{2}x$

Поскольку $x > 0$, мы можем разделить обе части уравнения на $x$:

$x^{\frac{3}{2} - 1} = \frac{3}{2}$

$x^{\frac{1}{2}} = \frac{3}{2}$

$\sqrt{x} = \frac{3}{2}$

Возведем обе части в квадрат:

$x = \left(\frac{3}{2}\right)^2 = \frac{9}{4}$.

Теперь найдем соответствующее значение $y$:

$y = x^{\frac{3}{2}} = \left(\frac{9}{4}\right)^{\frac{3}{2}} = \left(\left(\frac{9}{4}\right)^{\frac{1}{2}}\right)^3 = \left(\frac{3}{2}\right)^3 = \frac{27}{8}$.

Проверим решение $(\frac{9}{4}, \frac{27}{8})$ в исходной системе:

Второе уравнение: $(\frac{9}{4})^3 = \frac{729}{64}$ и $(\frac{27}{8})^2 = \frac{729}{64}$, равенство выполняется.

Первое уравнение: $(\frac{9}{4})^{\frac{27}{8}} = ((\frac{3}{2})^2)^{\frac{27}{8}} = (\frac{3}{2})^{\frac{54}{8}} = (\frac{3}{2})^{\frac{27}{4}}$ и $(\frac{27}{8})^{\frac{9}{4}} = ((\frac{3}{2})^3)^{\frac{9}{4}} = (\frac{3}{2})^{\frac{27}{4}}$, равенство выполняется.

Следовательно, пара $(\frac{9}{4}, \frac{27}{8})$ является вторым решением.

Ответ: $(1, 1)$, $(\frac{9}{4}, \frac{27}{8})$.

2)

Дана система уравнений:

$$ \begin{cases} x^{\sqrt{y}} = y, \\ y^{\sqrt{y}} = x^4. \end{cases} $$

Область допустимых значений: $x > 0$, $y > 0$.

Из второго уравнения $y^{\sqrt{y}} = x^4$ выразим $x$. Для этого возведем обе части в степень $\frac{1}{4}$:

$(y^{\sqrt{y}})^{\frac{1}{4}} = (x^4)^{\frac{1}{4}}$

$x = y^{\frac{\sqrt{y}}{4}}$

Подставим это выражение для $x$ в первое уравнение системы:

$(y^{\frac{\sqrt{y}}{4}})^{\sqrt{y}} = y$

$y^{\frac{\sqrt{y}}{4} \cdot \sqrt{y}} = y$

$y^{\frac{y}{4}} = y^1$

Это показательное уравнение. Равенство достигается в двух случаях:

Случай 1: Основание степени равно 1.

$y=1$.

Найдем соответствующее значение $x$: $x = 1^{\frac{\sqrt{1}}{4}} = 1^{\frac{1}{4}} = 1$.

Проверим решение $(1, 1)$ в исходной системе:

$1^{\sqrt{1}} = 1 \implies 1 = 1$ (верно)

$1^{\sqrt{1}} = 1^4 \implies 1 = 1$ (верно)

Пара $(1, 1)$ является решением.

Случай 2: Основания степеней равны и не равны 1, значит, показатели степеней должны быть равны.

$\frac{y}{4} = 1$

$y=4$.

Найдем соответствующее значение $x$:

$x = 4^{\frac{\sqrt{4}}{4}} = 4^{\frac{2}{4}} = 4^{\frac{1}{2}} = 2$.

Проверим решение $(2, 4)$ в исходной системе:

$2^{\sqrt{4}} = 4 \implies 2^2 = 4$ (верно)

$4^{\sqrt{4}} = 2^4 \implies 4^2 = 16$ (верно)

Пара $(2, 4)$ также является решением.

Ответ: $(1, 1)$, $(2, 4)$.

3)

Дана система уравнений:

$$ \begin{cases} x - y = -\frac{1}{3}, \\ \cos^2(\pi x) - \sin^2(\pi y) = \frac{1}{2}. \end{cases} $$

Преобразуем второе уравнение. Воспользуемся тригонометрическим тождеством $\cos(A+B)\cos(A-B) = \cos^2 A - \sin^2 B$.

Пусть $A = \pi x$ и $B = \pi y$. Тогда второе уравнение примет вид:

$\cos(\pi x + \pi y) \cos(\pi x - \pi y) = \frac{1}{2}$

$\cos(\pi(x+y)) \cos(\pi(x-y)) = \frac{1}{2}$

Из первого уравнения системы известно, что $x - y = -\frac{1}{3}$. Подставим это значение:

$\cos(\pi(x+y)) \cos\left(\pi\left(-\frac{1}{3}\right)\right) = \frac{1}{2}$

Так как $\cos(-\alpha) = \cos(\alpha)$, а $\cos(\frac{\pi}{3}) = \frac{1}{2}$, получаем:

$\cos(\pi(x+y)) \cdot \frac{1}{2} = \frac{1}{2}$

$\cos(\pi(x+y)) = 1$

Это уравнение имеет решения, когда аргумент косинуса равен $2\pi k$ для любого целого числа $k$.

$\pi(x+y) = 2\pi k, \quad k \in \mathbb{Z}$

$x+y = 2k, \quad k \in \mathbb{Z}$

Теперь мы имеем систему двух линейных уравнений:

$$ \begin{cases} x - y = -\frac{1}{3} \\ x + y = 2k \end{cases} $$

Сложим эти два уравнения:

$(x-y) + (x+y) = -\frac{1}{3} + 2k$

$2x = 2k - \frac{1}{3}$

$x = k - \frac{1}{6}$

Вычтем первое уравнение из второго:

$(x+y) - (x-y) = 2k - \left(-\frac{1}{3}\right)$

$2y = 2k + \frac{1}{3}$

$y = k + \frac{1}{6}$

Таким образом, решениями системы являются все пары чисел $(x, y)$, которые можно представить в виде $(k - \frac{1}{6}, k + \frac{1}{6})$, где $k$ — любое целое число.

Ответ: $\left(k - \frac{1}{6}, k + \frac{1}{6}\right)$, где $k \in \mathbb{Z}$.

Помогло решение? Оставьте отзыв в комментариях ниже.

Присоединяйтесь к Телеграм-группе @top_gdz

Присоединиться

Мы подготовили для вас ответ c подробным объяснением домашего задания по алгебре за 10-11 класс, для упражнения номер 1571 расположенного на странице 427 к учебнику 2014 года издания для учащихся школ и гимназий.

Теперь на нашем сайте ГДЗ.ТОП вы всегда легко и бесплатно найдёте условие с правильным ответом на вопрос «Как решить ДЗ» и «Как сделать» задание по алгебре к упражнению №1571 (с. 427), авторов: Алимов (Шавкат Арифджанович), Колягин (Юрий Михайлович), Ткачева (Мария Владимировна), Федорова (Надежда Евгеньевна), Шабунин (Михаил Иванович), ФГОС (старый) базовый и углублённый уровень обучения учебного пособия издательства Просвещение.