Номер 1575, страница 427 - гдз по алгебре 10-11 класс учебник Алимов, Колягин

Алгебра, 10-11 класс Учебник, авторы: Алимов Шавкат Арифджанович, Колягин Юрий Михайлович, Ткачева Мария Владимировна, Федорова Надежда Евгеньевна, Шабунин Михаил Иванович, издательство Просвещение, Москва, 2014

Авторы: Алимов Ш. А., Колягин Ю. М., Ткачева М. В., Федорова Н. Е., Шабунин М. И.

Тип: Учебник

Издательство: Просвещение

Год издания: 2014 - 2026

Уровень обучения: базовый и углублённый

Цвет обложки: синий, фиолетовый

ISBN: 978-5-09-112136-0

Допущено Министерством просвещения Российской Федерации

Математика: алгебра и начала математического анализа, геометрия

Задачи для внеклассной работы - номер 1575, страница 427.

№1575 (с. 427)
Условие. №1575 (с. 427)
скриншот условия
Алгебра, 10-11 класс Учебник, авторы: Алимов Шавкат Арифджанович, Колягин Юрий Михайлович, Ткачева Мария Владимировна, Федорова Надежда Евгеньевна, Шабунин Михаил Иванович, издательство Просвещение, Москва, 2014, страница 427, номер 1575, Условие

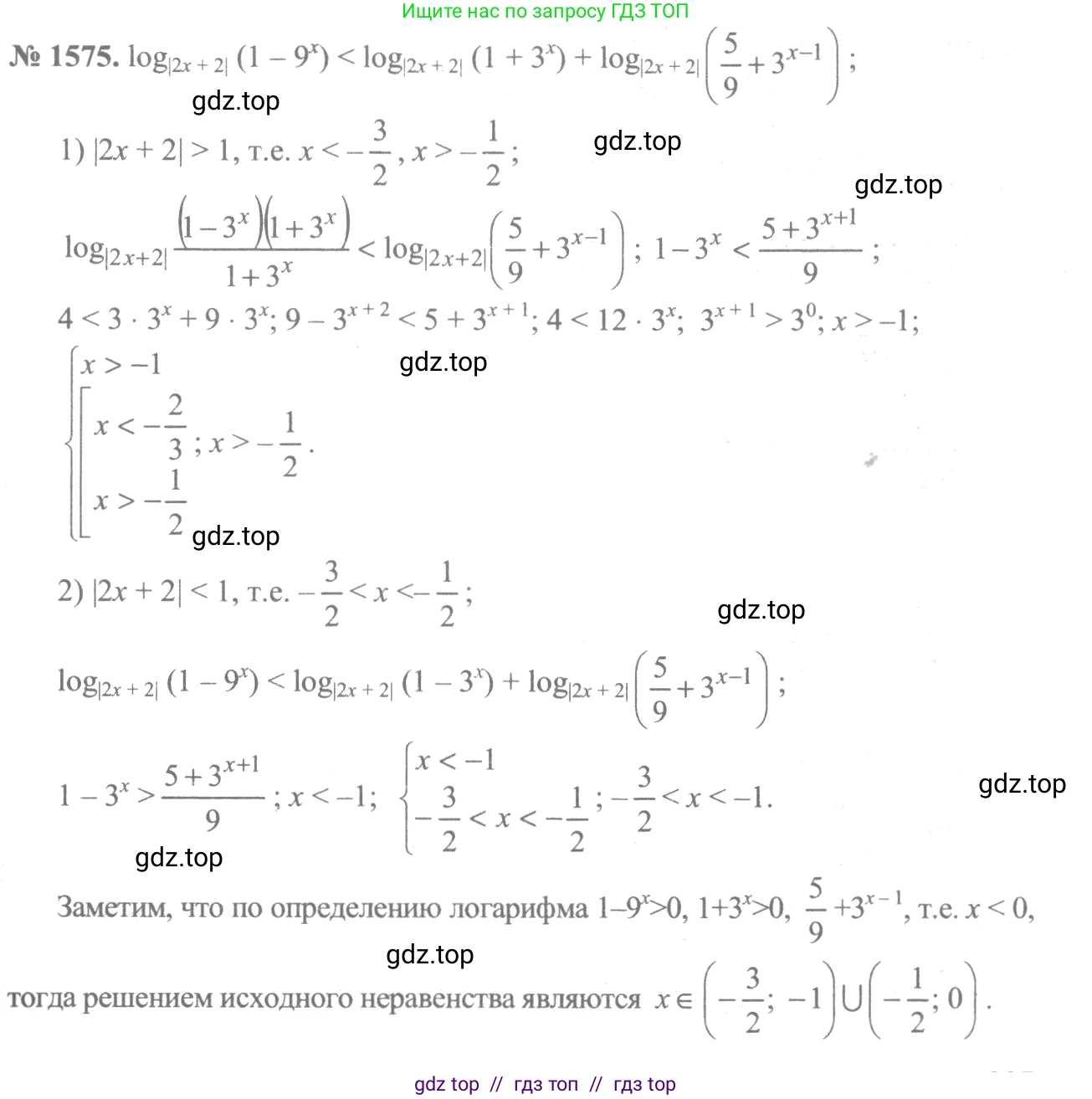
1575 $\log_{|2x+2|}(1-9^x) < \log_{|2x+2|}(1+3^x) + \log_{|2x+2|}\left(\frac{5}{9}+3^{x-1}\right).$

Решение 1. №1575 (с. 427)
Алгебра, 10-11 класс Учебник, авторы: Алимов Шавкат Арифджанович, Колягин Юрий Михайлович, Ткачева Мария Владимировна, Федорова Надежда Евгеньевна, Шабунин Михаил Иванович, издательство Просвещение, Москва, 2014, страница 427, номер 1575, Решение 1
Решение 2. №1575 (с. 427)
Алгебра, 10-11 класс Учебник, авторы: Алимов Шавкат Арифджанович, Колягин Юрий Михайлович, Ткачева Мария Владимировна, Федорова Надежда Евгеньевна, Шабунин Михаил Иванович, издательство Просвещение, Москва, 2014, страница 427, номер 1575, Решение 2
Алгебра, 10-11 класс Учебник, авторы: Алимов Шавкат Арифджанович, Колягин Юрий Михайлович, Ткачева Мария Владимировна, Федорова Надежда Евгеньевна, Шабунин Михаил Иванович, издательство Просвещение, Москва, 2014, страница 427, номер 1575, Решение 2 (продолжение 2)
Решение 3. №1575 (с. 427)
Алгебра, 10-11 класс Учебник, авторы: Алимов Шавкат Арифджанович, Колягин Юрий Михайлович, Ткачева Мария Владимировна, Федорова Надежда Евгеньевна, Шабунин Михаил Иванович, издательство Просвещение, Москва, 2014, страница 427, номер 1575, Решение 3
Решение 7. №1575 (с. 427)
Алгебра, 10-11 класс Учебник, авторы: Алимов Шавкат Арифджанович, Колягин Юрий Михайлович, Ткачева Мария Владимировна, Федорова Надежда Евгеньевна, Шабунин Михаил Иванович, издательство Просвещение, Москва, 2014, страница 427, номер 1575, Решение 7
Алгебра, 10-11 класс Учебник, авторы: Алимов Шавкат Арифджанович, Колягин Юрий Михайлович, Ткачева Мария Владимировна, Федорова Надежда Евгеньевна, Шабунин Михаил Иванович, издательство Просвещение, Москва, 2014, страница 427, номер 1575, Решение 7 (продолжение 2)
Решение 8. №1575 (с. 427)

1. Определение области допустимых значений (ОДЗ)

Исходное неравенство: $ \log_{|2x+2|}(1-9^x) < \log_{|2x+2|}(1+3^x) + \log_{|2x+2|}\left(\frac{5}{9}+3^{x-1}\right) $.

Для корректности логарифмических выражений должны выполняться следующие условия:

1. Основание логарифма должно быть положительным и не равняться единице:

$|2x+2| > 0 \implies 2x+2 \neq 0 \implies x \neq -1$.

$|2x+2| \neq 1 \implies 2x+2 \neq 1$ и $2x+2 \neq -1$. Отсюда $2x \neq -1 \implies x \neq -0.5$ и $2x \neq -3 \implies x \neq -1.5$.

2. Аргументы логарифмов должны быть строго положительными:

$1 - 9^x > 0 \implies 9^x < 1 \implies 9^x < 9^0 \implies x < 0$.

$1+3^x > 0$ всегда верно, так как $3^x > 0$.

$\frac{5}{9} + 3^{x-1} > 0$ всегда верно, так как $3^{x-1} > 0$.

Объединяя все условия, получаем ОДЗ: $x \in (-\infty; -1.5) \cup (-1.5; -1) \cup (-1; -0.5) \cup (-0.5; 0)$.

2. Решение неравенства

Сначала преобразуем правую часть неравенства, используя свойство суммы логарифмов $\log_a b + \log_a c = \log_a(bc)$:

$\log_{|2x+2|}(1-9^x) < \log_{|2x+2|}\left((1+3^x)\left(\frac{5}{9}+3^{x-1}\right)\right)$

Так как $1-9^x = (1-3^x)(1+3^x)$, неравенство можно переписать в виде:

$\log_{|2x+2|}((1-3^x)(1+3^x)) < \log_{|2x+2|}\left((1+3^x)\left(\frac{5}{9}+\frac{3^x}{3}\right)\right)$

Решение этого логарифмического неравенства зависит от основания. Рассмотрим два случая.

Случай 1: Основание больше 1.

Пусть $|2x+2| > 1$. Это равносильно $x > -0.5$ или $x < -1.5$. С учетом ОДЗ ($x<0$), рассматриваем $x \in (-\infty; -1.5) \cup (-0.5; 0)$.

В этом случае логарифмическая функция является возрастающей, поэтому при переходе к аргументам знак неравенства сохраняется:

$(1-3^x)(1+3^x) < (1+3^x)\left(\frac{5}{9}+\frac{3^x}{3}\right)$

Поскольку $1+3^x > 0$ для любых $x$, можно разделить обе части на этот множитель:

$1-3^x < \frac{5}{9}+\frac{3^x}{3}$

$1 - \frac{5}{9} < 3^x + \frac{3^x}{3}$

$\frac{4}{9} < \frac{4}{3} \cdot 3^x$

Разделив на $\frac{4}{3}$, получаем:

$\frac{1}{3} < 3^x \implies 3^{-1} < 3^x \implies x > -1$.

Найдем пересечение этого решения с условиями случая 1: $x \in ((-\infty; -1.5) \cup (-0.5; 0)) \cap (-1; +\infty)$.

Это соответствует интервалу $x \in (-0.5; 0)$.

Случай 2: Основание находится в интервале от 0 до 1.

Пусть $0 < |2x+2| < 1$. Это равносильно $-1 < 2x+2 < 1$, что дает $-1.5 < x < -0.5$. С учетом ОДЗ ($x \neq -1$), рассматриваем $x \in (-1.5; -1) \cup (-1; -0.5)$.

В этом случае логарифмическая функция является убывающей, поэтому при переходе к аргументам знак неравенства меняется на противоположный:

$(1-3^x)(1+3^x) > (1+3^x)\left(\frac{5}{9}+\frac{3^x}{3}\right)$

Аналогично делим на $1+3^x > 0$:

$1-3^x > \frac{5}{9}+\frac{3^x}{3}$

$\frac{4}{9} > \frac{4}{3} \cdot 3^x$

$\frac{1}{3} > 3^x \implies 3^{-1} > 3^x \implies x < -1$.

Найдем пересечение этого решения с условиями случая 2: $x \in ((-1.5; -1) \cup (-1; -0.5)) \cap (-\infty; -1)$.

Это соответствует интервалу $x \in (-1.5; -1)$.

Объединение решений

Итоговое решение является объединением решений, полученных в обоих случаях:

$x \in (-0.5; 0) \cup (-1.5; -1)$.

Ответ: $x \in (-1.5; -1) \cup (-0.5; 0)$.

Помогло решение? Оставьте отзыв в комментариях ниже.

Присоединяйтесь к Телеграм-группе @top_gdz

Присоединиться

Мы подготовили для вас ответ c подробным объяснением домашего задания по алгебре за 10-11 класс, для упражнения номер 1575 расположенного на странице 427 к учебнику 2014 года издания для учащихся школ и гимназий.

Теперь на нашем сайте ГДЗ.ТОП вы всегда легко и бесплатно найдёте условие с правильным ответом на вопрос «Как решить ДЗ» и «Как сделать» задание по алгебре к упражнению №1575 (с. 427), авторов: Алимов (Шавкат Арифджанович), Колягин (Юрий Михайлович), Ткачева (Мария Владимировна), Федорова (Надежда Евгеньевна), Шабунин (Михаил Иванович), ФГОС (старый) базовый и углублённый уровень обучения учебного пособия издательства Просвещение.