Номер 24, страница 16 - гдз по алгебре 10-11 класс учебник Алимов, Колягин

Алгебра, 10-11 класс Учебник, авторы: Алимов Шавкат Арифджанович, Колягин Юрий Михайлович, Ткачева Мария Владимировна, Федорова Надежда Евгеньевна, Шабунин Михаил Иванович, издательство Просвещение, Москва, 2014

Авторы: Алимов Ш. А., Колягин Ю. М., Ткачева М. В., Федорова Н. Е., Шабунин М. И.

Тип: Учебник

Издательство: Просвещение

Год издания: 2014 - 2025

Уровень обучения: базовый и углублённый

Цвет обложки: синий, фиолетовый

ISBN: 978-5-09-112136-0

Допущено Министерством просвещения Российской Федерации

Математика: алгебра и начала математического анализа, геометрия

Популярные ГДЗ в 10 классе

Глава 1. Действительные числа. Параграф 3. Бесконечно убывающая геометрическая прогрессия - номер 24, страница 16.

№24 (с. 16)
Условие. №24 (с. 16)
скриншот условия
Алгебра, 10-11 класс Учебник, авторы: Алимов Шавкат Арифджанович, Колягин Юрий Михайлович, Ткачева Мария Владимировна, Федорова Надежда Евгеньевна, Шабунин Михаил Иванович, издательство Просвещение, Москва, 2014, страница 16, номер 24, Условие

24 Вычислить:

1) $\lim_{n \to \infty} \frac{3 - 2^n}{2^n}$

2) $\lim_{n \to \infty} \frac{3^{n+2} + 2}{3^n}$

3) $\lim_{n \to \infty} \frac{(5^n + 1)^2}{5^{2n}}$

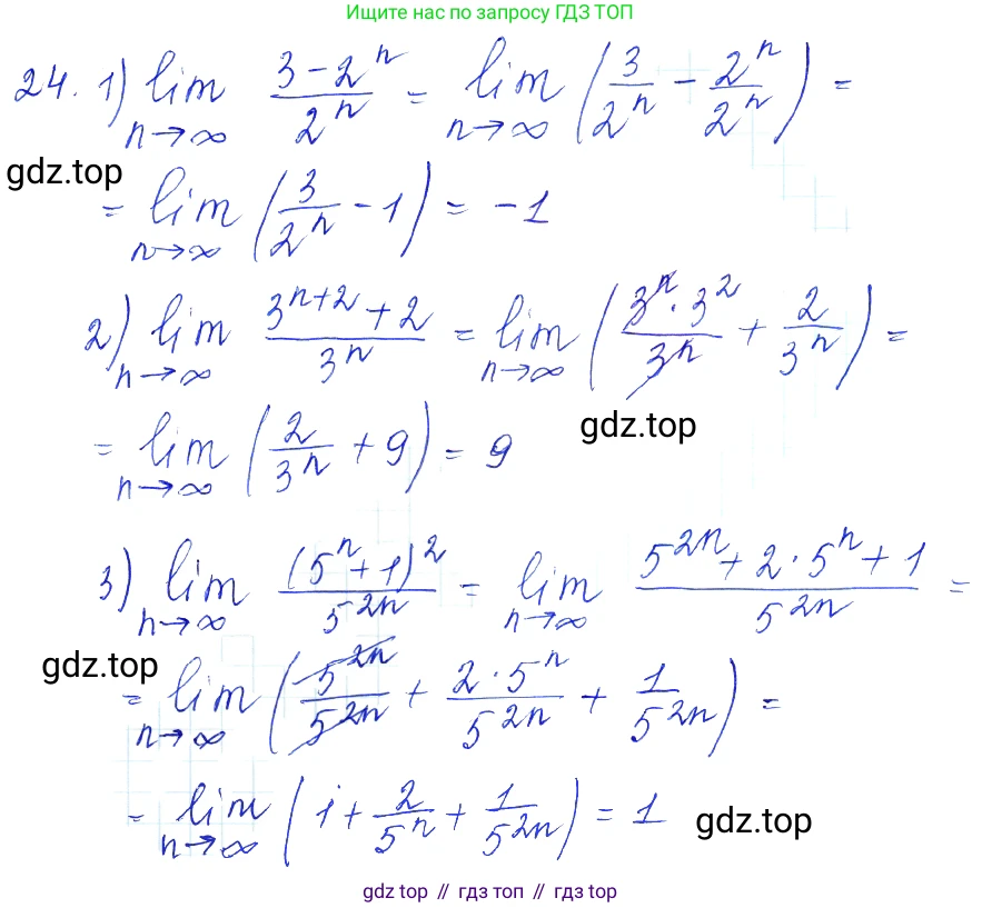
Решение 1. №24 (с. 16)
Алгебра, 10-11 класс Учебник, авторы: Алимов Шавкат Арифджанович, Колягин Юрий Михайлович, Ткачева Мария Владимировна, Федорова Надежда Евгеньевна, Шабунин Михаил Иванович, издательство Просвещение, Москва, 2014, страница 16, номер 24, Решение 1
Алгебра, 10-11 класс Учебник, авторы: Алимов Шавкат Арифджанович, Колягин Юрий Михайлович, Ткачева Мария Владимировна, Федорова Надежда Евгеньевна, Шабунин Михаил Иванович, издательство Просвещение, Москва, 2014, страница 16, номер 24, Решение 1 (продолжение 2)
Алгебра, 10-11 класс Учебник, авторы: Алимов Шавкат Арифджанович, Колягин Юрий Михайлович, Ткачева Мария Владимировна, Федорова Надежда Евгеньевна, Шабунин Михаил Иванович, издательство Просвещение, Москва, 2014, страница 16, номер 24, Решение 1 (продолжение 3)
Решение 2. №24 (с. 16)
Алгебра, 10-11 класс Учебник, авторы: Алимов Шавкат Арифджанович, Колягин Юрий Михайлович, Ткачева Мария Владимировна, Федорова Надежда Евгеньевна, Шабунин Михаил Иванович, издательство Просвещение, Москва, 2014, страница 16, номер 24, Решение 2
Алгебра, 10-11 класс Учебник, авторы: Алимов Шавкат Арифджанович, Колягин Юрий Михайлович, Ткачева Мария Владимировна, Федорова Надежда Евгеньевна, Шабунин Михаил Иванович, издательство Просвещение, Москва, 2014, страница 16, номер 24, Решение 2 (продолжение 2)
Решение 4. №24 (с. 16)
Алгебра, 10-11 класс Учебник, авторы: Алимов Шавкат Арифджанович, Колягин Юрий Михайлович, Ткачева Мария Владимировна, Федорова Надежда Евгеньевна, Шабунин Михаил Иванович, издательство Просвещение, Москва, 2014, страница 16, номер 24, Решение 4
Решение 5. №24 (с. 16)
Алгебра, 10-11 класс Учебник, авторы: Алимов Шавкат Арифджанович, Колягин Юрий Михайлович, Ткачева Мария Владимировна, Федорова Надежда Евгеньевна, Шабунин Михаил Иванович, издательство Просвещение, Москва, 2014, страница 16, номер 24, Решение 5
Решение 6. №24 (с. 16)
Алгебра, 10-11 класс Учебник, авторы: Алимов Шавкат Арифджанович, Колягин Юрий Михайлович, Ткачева Мария Владимировна, Федорова Надежда Евгеньевна, Шабунин Михаил Иванович, издательство Просвещение, Москва, 2014, страница 16, номер 24, Решение 6
Решение 7. №24 (с. 16)
Алгебра, 10-11 класс Учебник, авторы: Алимов Шавкат Арифджанович, Колягин Юрий Михайлович, Ткачева Мария Владимировна, Федорова Надежда Евгеньевна, Шабунин Михаил Иванович, издательство Просвещение, Москва, 2014, страница 16, номер 24, Решение 7
Решение 8. №24 (с. 16)

1) Вычислим предел $\lim_{n \to \infty} \frac{3 - 2^n}{2^n}$.

При $n \to \infty$ числитель $3 - 2^n \to -\infty$ и знаменатель $2^n \to \infty$. Мы имеем дело с неопределенностью вида $\frac{\infty}{\infty}$.

Разделим выражение под знаком предела почленно на знаменатель:

$\frac{3 - 2^n}{2^n} = \frac{3}{2^n} - \frac{2^n}{2^n} = \frac{3}{2^n} - 1$

Теперь найдем предел полученного выражения:

$\lim_{n \to \infty} (\frac{3}{2^n} - 1) = \lim_{n \to \infty} \frac{3}{2^n} - \lim_{n \to \infty} 1$

Так как при $n \to \infty$ знаменатель $2^n$ стремится к бесконечности, то дробь $\frac{3}{2^n}$ стремится к нулю. Предел константы равен самой константе.

$\lim_{n \to \infty} \frac{3}{2^n} = 0$

$\lim_{n \to \infty} 1 = 1$

Следовательно, искомый предел равен:

$0 - 1 = -1$

Ответ: -1

2) Вычислим предел $\lim_{n \to \infty} \frac{3^{n+2} + 2}{3^n}$.

Это также неопределенность вида $\frac{\infty}{\infty}$.

Сначала преобразуем числитель, используя свойство степеней $a^{m+k} = a^m \cdot a^k$:

$3^{n+2} = 3^n \cdot 3^2 = 9 \cdot 3^n$

Подставим это в исходное выражение:

$\lim_{n \to \infty} \frac{9 \cdot 3^n + 2}{3^n}$

Разделим дробь почленно на знаменатель:

$\frac{9 \cdot 3^n + 2}{3^n} = \frac{9 \cdot 3^n}{3^n} + \frac{2}{3^n} = 9 + \frac{2}{3^n}$

Теперь вычислим предел:

$\lim_{n \to \infty} (9 + \frac{2}{3^n}) = \lim_{n \to \infty} 9 + \lim_{n \to \infty} \frac{2}{3^n}$

При $n \to \infty$ выражение $3^n$ стремится к бесконечности, поэтому $\frac{2}{3^n}$ стремится к нулю.

$\lim_{n \to \infty} \frac{2}{3^n} = 0$

Таким образом, предел равен:

$9 + 0 = 9$

Ответ: 9

3) Вычислим предел $\lim_{n \to \infty} \frac{(5^n + 1)^2}{5^{2n}}$.

Здесь мы также имеем неопределенность вида $\frac{\infty}{\infty}$.

Заметим, что знаменатель $5^{2n}$ можно представить как $(5^n)^2$. Перепишем выражение:

$\lim_{n \to \infty} \frac{(5^n + 1)^2}{(5^n)^2} = \lim_{n \to \infty} \left( \frac{5^n + 1}{5^n} \right)^2$

Теперь преобразуем дробь внутри скобок:

$\frac{5^n + 1}{5^n} = \frac{5^n}{5^n} + \frac{1}{5^n} = 1 + \frac{1}{5^n}$

Подставим это обратно в предел:

$\lim_{n \to \infty} \left( 1 + \frac{1}{5^n} \right)^2$

Так как функция $f(x) = x^2$ непрерывна, мы можем внести знак предела под знак степени:

$\left( \lim_{n \to \infty} (1 + \frac{1}{5^n}) \right)^2$

Вычислим предел в скобках:

$\lim_{n \to \infty} (1 + \frac{1}{5^n}) = \lim_{n \to \infty} 1 + \lim_{n \to \infty} \frac{1}{5^n} = 1 + 0 = 1$

Возведем результат в квадрат:

$1^2 = 1$

Ответ: 1

Помогло решение? Оставьте отзыв в комментариях ниже.

Присоединяйтесь к Телеграм-группе @top_gdz

Присоединиться

Мы подготовили для вас ответ c подробным объяснением домашего задания по алгебре за 10-11 класс, для упражнения номер 24 расположенного на странице 16 к учебнику 2014 года издания для учащихся школ и гимназий.

Теперь на нашем сайте ГДЗ.ТОП вы всегда легко и бесплатно найдёте условие с правильным ответом на вопрос «Как решить ДЗ» и «Как сделать» задание по алгебре к упражнению №24 (с. 16), авторов: Алимов (Шавкат Арифджанович), Колягин (Юрий Михайлович), Ткачева (Мария Владимировна), Федорова (Надежда Евгеньевна), Шабунин (Михаил Иванович), ФГОС (старый) базовый и углублённый уровень обучения учебного пособия издательства Просвещение.