Номер 361, страница 112 - гдз по алгебре 10-11 класс учебник Алимов, Колягин

Алгебра, 10-11 класс Учебник, авторы: Алимов Шавкат Арифджанович, Колягин Юрий Михайлович, Ткачева Мария Владимировна, Федорова Надежда Евгеньевна, Шабунин Михаил Иванович, издательство Просвещение, Москва, 2014

Авторы: Алимов Ш. А., Колягин Ю. М., Ткачева М. В., Федорова Н. Е., Шабунин М. И.

Тип: Учебник

Издательство: Просвещение

Год издания: 2014 - 2025

Уровень обучения: базовый и углублённый

Цвет обложки: синий, фиолетовый

ISBN: 978-5-09-112136-0

Допущено Министерством просвещения Российской Федерации

Математика: алгебра и начала математического анализа, геометрия

Популярные ГДЗ в 10 классе

Глава 4. Логарифмическая функция. Параграф 20. Логарифмические неравенства - номер 361, страница 112.

№361 (с. 112)
Условие. №361 (с. 112)
скриншот условия
Алгебра, 10-11 класс Учебник, авторы: Алимов Шавкат Арифджанович, Колягин Юрий Михайлович, Ткачева Мария Владимировна, Федорова Надежда Евгеньевна, Шабунин Михаил Иванович, издательство Просвещение, Москва, 2014, страница 112, номер 361, Условие

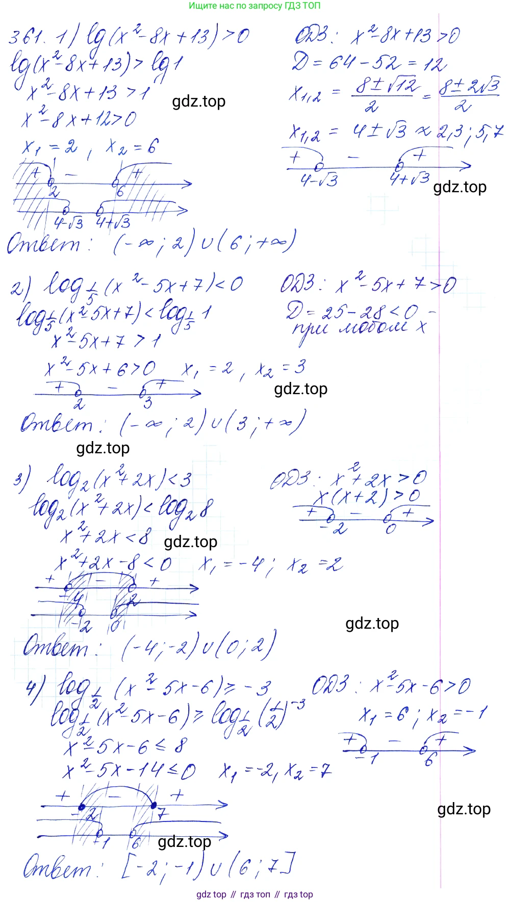
361 1) $ \lg (x^2 - 8x + 13) > 0; $

2) $ \log_{\frac{1}{5}} (x^2 - 5x + 7) < 0; $

3) $ \log_2 (x^2 + 2x) < 3; $

4) $ \log_{\frac{1}{2}} (x^2 - 5x - 6) \geq -3. $

Решение 1. №361 (с. 112)
Алгебра, 10-11 класс Учебник, авторы: Алимов Шавкат Арифджанович, Колягин Юрий Михайлович, Ткачева Мария Владимировна, Федорова Надежда Евгеньевна, Шабунин Михаил Иванович, издательство Просвещение, Москва, 2014, страница 112, номер 361, Решение 1
Алгебра, 10-11 класс Учебник, авторы: Алимов Шавкат Арифджанович, Колягин Юрий Михайлович, Ткачева Мария Владимировна, Федорова Надежда Евгеньевна, Шабунин Михаил Иванович, издательство Просвещение, Москва, 2014, страница 112, номер 361, Решение 1 (продолжение 2)
Алгебра, 10-11 класс Учебник, авторы: Алимов Шавкат Арифджанович, Колягин Юрий Михайлович, Ткачева Мария Владимировна, Федорова Надежда Евгеньевна, Шабунин Михаил Иванович, издательство Просвещение, Москва, 2014, страница 112, номер 361, Решение 1 (продолжение 3)
Алгебра, 10-11 класс Учебник, авторы: Алимов Шавкат Арифджанович, Колягин Юрий Михайлович, Ткачева Мария Владимировна, Федорова Надежда Евгеньевна, Шабунин Михаил Иванович, издательство Просвещение, Москва, 2014, страница 112, номер 361, Решение 1 (продолжение 4)
Решение 2. №361 (с. 112)
Алгебра, 10-11 класс Учебник, авторы: Алимов Шавкат Арифджанович, Колягин Юрий Михайлович, Ткачева Мария Владимировна, Федорова Надежда Евгеньевна, Шабунин Михаил Иванович, издательство Просвещение, Москва, 2014, страница 112, номер 361, Решение 2
Алгебра, 10-11 класс Учебник, авторы: Алимов Шавкат Арифджанович, Колягин Юрий Михайлович, Ткачева Мария Владимировна, Федорова Надежда Евгеньевна, Шабунин Михаил Иванович, издательство Просвещение, Москва, 2014, страница 112, номер 361, Решение 2 (продолжение 2)
Алгебра, 10-11 класс Учебник, авторы: Алимов Шавкат Арифджанович, Колягин Юрий Михайлович, Ткачева Мария Владимировна, Федорова Надежда Евгеньевна, Шабунин Михаил Иванович, издательство Просвещение, Москва, 2014, страница 112, номер 361, Решение 2 (продолжение 3)
Решение 4. №361 (с. 112)
Алгебра, 10-11 класс Учебник, авторы: Алимов Шавкат Арифджанович, Колягин Юрий Михайлович, Ткачева Мария Владимировна, Федорова Надежда Евгеньевна, Шабунин Михаил Иванович, издательство Просвещение, Москва, 2014, страница 112, номер 361, Решение 4
Алгебра, 10-11 класс Учебник, авторы: Алимов Шавкат Арифджанович, Колягин Юрий Михайлович, Ткачева Мария Владимировна, Федорова Надежда Евгеньевна, Шабунин Михаил Иванович, издательство Просвещение, Москва, 2014, страница 112, номер 361, Решение 4 (продолжение 2)
Решение 5. №361 (с. 112)
Алгебра, 10-11 класс Учебник, авторы: Алимов Шавкат Арифджанович, Колягин Юрий Михайлович, Ткачева Мария Владимировна, Федорова Надежда Евгеньевна, Шабунин Михаил Иванович, издательство Просвещение, Москва, 2014, страница 112, номер 361, Решение 5
Алгебра, 10-11 класс Учебник, авторы: Алимов Шавкат Арифджанович, Колягин Юрий Михайлович, Ткачева Мария Владимировна, Федорова Надежда Евгеньевна, Шабунин Михаил Иванович, издательство Просвещение, Москва, 2014, страница 112, номер 361, Решение 5 (продолжение 2)
Решение 6. №361 (с. 112)
Алгебра, 10-11 класс Учебник, авторы: Алимов Шавкат Арифджанович, Колягин Юрий Михайлович, Ткачева Мария Владимировна, Федорова Надежда Евгеньевна, Шабунин Михаил Иванович, издательство Просвещение, Москва, 2014, страница 112, номер 361, Решение 6
Решение 7. №361 (с. 112)
Алгебра, 10-11 класс Учебник, авторы: Алимов Шавкат Арифджанович, Колягин Юрий Михайлович, Ткачева Мария Владимировна, Федорова Надежда Евгеньевна, Шабунин Михаил Иванович, издательство Просвещение, Москва, 2014, страница 112, номер 361, Решение 7 Алгебра, 10-11 класс Учебник, авторы: Алимов Шавкат Арифджанович, Колягин Юрий Михайлович, Ткачева Мария Владимировна, Федорова Надежда Евгеньевна, Шабунин Михаил Иванович, издательство Просвещение, Москва, 2014, страница 112, номер 361, Решение 7 (продолжение 2) Алгебра, 10-11 класс Учебник, авторы: Алимов Шавкат Арифджанович, Колягин Юрий Михайлович, Ткачева Мария Владимировна, Федорова Надежда Евгеньевна, Шабунин Михаил Иванович, издательство Просвещение, Москва, 2014, страница 112, номер 361, Решение 7 (продолжение 3)
Решение 8. №361 (с. 112)

1) $\lg (x^2 - 8x + 13) > 0$

Данное логарифмическое неравенство равносильно системе неравенств. Так как основание десятичного логарифма $10 > 1$, знак неравенства сохраняется. Ноль можно представить как $\lg 1$.

$\lg (x^2 - 8x + 13) > \lg 1$

Также необходимо учесть область определения логарифма: выражение под знаком логарифма должно быть строго положительным.

$\begin{cases} x^2 - 8x + 13 > 0 \\ x^2 - 8x + 13 > 1 \end{cases}$

Неравенство $x^2 - 8x + 13 > 1$ является более строгим, чем $x^2 - 8x + 13 > 0$. Если выражение больше 1, оно автоматически больше 0. Поэтому достаточно решить только второе неравенство:

$x^2 - 8x + 13 - 1 > 0$

$x^2 - 8x + 12 > 0$

Найдем корни квадратного трехчлена $x^2 - 8x + 12 = 0$. По теореме Виета, $x_1 + x_2 = 8$ и $x_1 \cdot x_2 = 12$. Корни равны $x_1 = 2$ и $x_2 = 6$.

Так как это парабола с ветвями вверх, неравенство $x^2 - 8x + 12 > 0$ выполняется, когда $x$ находится вне интервала между корнями.

$x \in (-\infty; 2) \cup (6; +\infty)$

Ответ: $(-\infty; 2) \cup (6; +\infty)$

2) $\log_{\frac{1}{5}} (x^2 - 5x + 7) < 0$

Основание логарифма $\frac{1}{5}$ находится в интервале $(0; 1)$, поэтому при переходе к неравенству для подлогарифмических выражений знак неравенства меняется на противоположный. Ноль можно представить как $\log_{\frac{1}{5}} 1$.

$\log_{\frac{1}{5}} (x^2 - 5x + 7) < \log_{\frac{1}{5}} 1$

Неравенство равносильно системе:

$\begin{cases} x^2 - 5x + 7 > 0 \\ x^2 - 5x + 7 > 1 \end{cases}$

Как и в предыдущем случае, достаточно решить более сильное неравенство:

$x^2 - 5x + 7 > 1$

$x^2 - 5x + 6 > 0$

Найдем корни уравнения $x^2 - 5x + 6 = 0$. По теореме Виета, $x_1 + x_2 = 5$ и $x_1 \cdot x_2 = 6$. Корни равны $x_1 = 2$ и $x_2 = 3$.

Парабола $y = x^2 - 5x + 6$ имеет ветви вверх, поэтому неравенство $x^2 - 5x + 6 > 0$ выполняется при $x < 2$ или $x > 3$.

(Проверим ОДЗ: для $x^2 - 5x + 7 > 0$ дискриминант $D = (-5)^2 - 4 \cdot 1 \cdot 7 = 25 - 28 = -3 < 0$. Так как старший коэффициент положителен, выражение $x^2 - 5x + 7$ положительно при любых $x$.)

$x \in (-\infty; 2) \cup (3; +\infty)$

Ответ: $(-\infty; 2) \cup (3; +\infty)$

3) $\log_2 (x^2 + 2x) < 3$

Основание логарифма $2 > 1$, поэтому знак неравенства сохраняется. Число 3 представим как $\log_2 2^3 = \log_2 8$.

$\log_2 (x^2 + 2x) < \log_2 8$

Неравенство равносильно системе, учитывающей область определения:

$\begin{cases} x^2 + 2x > 0 \\ x^2 + 2x < 8 \end{cases}$

Решим первое неравенство: $x^2 + 2x > 0 \implies x(x+2) > 0$. Корни $x=0$ и $x=-2$. Решение: $x \in (-\infty; -2) \cup (0; +\infty)$.

Решим второе неравенство: $x^2 + 2x < 8 \implies x^2 + 2x - 8 < 0$. Корни уравнения $x^2 + 2x - 8 = 0$ по теореме Виета: $x_1 + x_2 = -2$, $x_1 \cdot x_2 = -8$. Корни: $x_1 = -4$ и $x_2 = 2$. Решение неравенства: $x \in (-4; 2)$.

Теперь найдем пересечение решений двух неравенств: $(-\infty; -2) \cup (0; +\infty)$ и $(-4; 2)$.

Пересекая $(-4; 2)$ с $(-\infty; -2)$, получаем $(-4; -2)$.

Пересекая $(-4; 2)$ с $(0; +\infty)$, получаем $(0; 2)$.

Объединяем полученные интервалы: $(-4; -2) \cup (0; 2)$.

Ответ: $(-4; -2) \cup (0; 2)$

4) $\log_{\frac{1}{2}} (x^2 - 5x - 6) \ge -3$

Основание логарифма $\frac{1}{2}$ находится в интервале $(0; 1)$, поэтому знак неравенства меняется на противоположный. Число -3 представим как $\log_{\frac{1}{2}} (\frac{1}{2})^{-3} = \log_{\frac{1}{2}} 8$.

$\log_{\frac{1}{2}} (x^2 - 5x - 6) \ge \log_{\frac{1}{2}} 8$

Неравенство равносильно системе:

$\begin{cases} x^2 - 5x - 6 > 0 \\ x^2 - 5x - 6 \le 8 \end{cases}$

Решим первое неравенство: $x^2 - 5x - 6 > 0$. Корни уравнения $x^2 - 5x - 6 = 0$ по теореме Виета: $x_1+x_2=5$, $x_1 \cdot x_2 = -6$. Корни: $x_1=-1$ и $x_2=6$. Решение: $x \in (-\infty; -1) \cup (6; +\infty)$.

Решим второе неравенство: $x^2 - 5x - 6 \le 8 \implies x^2 - 5x - 14 \le 0$. Корни уравнения $x^2 - 5x - 14 = 0$ по теореме Виета: $x_1+x_2=5$, $x_1 \cdot x_2 = -14$. Корни: $x_1=-2$ и $x_2=7$. Решение неравенства: $x \in [-2; 7]$.

Найдем пересечение решений: $(-\infty; -1) \cup (6; +\infty)$ и $[-2; 7]$.

Пересечение $[-2; 7]$ с $(-\infty; -1)$ дает интервал $[-2; -1)$.

Пересечение $[-2; 7]$ с $(6; +\infty)$ дает интервал $(6; 7]$.

Объединяя эти результаты, получаем решение системы.

Ответ: $[-2; -1) \cup (6; 7]$

Помогло решение? Оставьте отзыв в комментариях ниже.

Присоединяйтесь к Телеграм-группе @top_gdz

Присоединиться

Мы подготовили для вас ответ c подробным объяснением домашего задания по алгебре за 10-11 класс, для упражнения номер 361 расположенного на странице 112 к учебнику 2014 года издания для учащихся школ и гимназий.

Теперь на нашем сайте ГДЗ.ТОП вы всегда легко и бесплатно найдёте условие с правильным ответом на вопрос «Как решить ДЗ» и «Как сделать» задание по алгебре к упражнению №361 (с. 112), авторов: Алимов (Шавкат Арифджанович), Колягин (Юрий Михайлович), Ткачева (Мария Владимировна), Федорова (Надежда Евгеньевна), Шабунин (Михаил Иванович), ФГОС (старый) базовый и углублённый уровень обучения учебного пособия издательства Просвещение.