Номер 365, страница 112 - гдз по алгебре 10-11 класс учебник Алимов, Колягин

Авторы: Алимов Ш. А., Колягин Ю. М., Ткачева М. В., Федорова Н. Е., Шабунин М. И.
Тип: Учебник
Издательство: Просвещение
Год издания: 2014 - 2025
Уровень обучения: базовый и углублённый
Цвет обложки: синий, фиолетовый
ISBN: 978-5-09-112136-0
Допущено Министерством просвещения Российской Федерации
Математика: алгебра и начала математического анализа, геометрия
Популярные ГДЗ в 10 классе
§ 20. Логарифмические неравенства. Глава 4. Логарифмическая функция - номер 365, страница 112.
№365 (с. 112)
Условие. №365 (с. 112)
скриншот условия

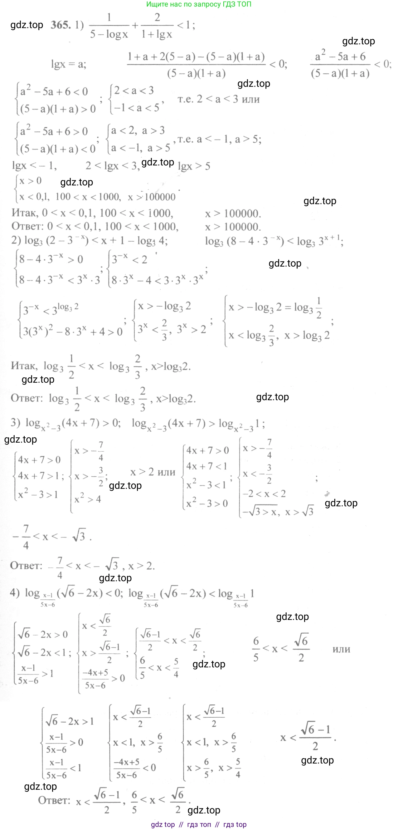
365 1) $ \frac{1}{5 - \lg x} + \frac{2}{1 + \lg x} < 1; $
2) $ \log_3 (2 - 3^{-x}) < x + 1 - \log_3 4; $
3) $ \log_{x^2 - 3} (4x + 7) > 0; $
4) $ \log_{\frac{x-1}{5x-6}} (\sqrt{6 - 2x}) < 0. $
Решение 1. №365 (с. 112)




Решение 2. №365 (с. 112)




Решение 4. №365 (с. 112)


Решение 5. №365 (с. 112)


Решение 6. №365 (с. 112)

Решение 7. №365 (с. 112)





Решение 8. №365 (с. 112)
1) $\frac{1}{5 - \lg x} + \frac{2}{1 + \lg x} < 1$
Сначала определим область допустимых значений (ОДЗ). Аргумент логарифма должен быть положителен, а знаменатели дробей не должны равняться нулю.
$\begin{cases} x > 0 \\ 5 - \lg x \neq 0 \\ 1 + \lg x \neq 0 \end{cases} \implies \begin{cases} x > 0 \\ \lg x \neq 5 \\ \lg x \neq -1 \end{cases} \implies \begin{cases} x > 0 \\ x \neq 10^5 \\ x \neq 10^{-1} \end{cases}$
ОДЗ: $x \in (0; 0.1) \cup (0.1; 10^5) \cup (10^5; +\infty)$.
Введем замену переменной. Пусть $t = \lg x$. Неравенство примет вид:
$\frac{1}{5 - t} + \frac{2}{1 + t} < 1$
Перенесем все в левую часть и приведем к общему знаменателю:
$\frac{1(1 + t) + 2(5 - t) - 1(5 - t)(1 + t)}{(5 - t)(1 + t)} < 0$
$\frac{1 + t + 10 - 2t - (5 + 5t - t - t^2)}{(5 - t)(1 + t)} < 0$
$\frac{11 - t - (5 + 4t - t^2)}{(5 - t)(1 + t)} < 0$
$\frac{11 - t - 5 - 4t + t^2}{(5 - t)(1 + t)} < 0$
$\frac{t^2 - 5t + 6}{(5 - t)(1 + t)} < 0$
Разложим числитель на множители: $t^2 - 5t + 6 = (t-2)(t-3)$.
$\frac{(t-2)(t-3)}{-(t-5)(t+1)} < 0$
Умножим обе части на -1, изменив знак неравенства:
$\frac{(t-2)(t-3)}{(t-5)(t+1)} > 0$
Решим это неравенство методом интервалов. На числовой оси отметим корни числителя ($2, 3$) и знаменателя ($-1, 5$).
Интервалы, где выражение больше нуля: $t \in (-\infty; -1) \cup (2; 3) \cup (5; +\infty)$.
Выполним обратную замену:
1. $t < -1 \implies \lg x < -1 \implies x < 10^{-1} \implies x < 0.1$.
2. $2 < t < 3 \implies 2 < \lg x < 3 \implies 10^2 < x < 10^3 \implies 100 < x < 1000$.
3. $t > 5 \implies \lg x > 5 \implies x > 10^5$.
Учитывая ОДЗ ($x>0$), получаем итоговое решение, которое уже не противоречит остальным ограничениям ОДЗ.
Ответ: $x \in (0; 0.1) \cup (100; 1000) \cup (10^5; +\infty)$.
2) $\log_3 (2 - 3^{-x}) < x + 1 - \log_3 4$
ОДЗ: $2 - 3^{-x} > 0 \implies 2 > 3^{-x} \implies 2 > \frac{1}{3^x} \implies 3^x > \frac{1}{2} \implies x > \log_3(\frac{1}{2}) \implies x > -\log_3 2$.
Преобразуем неравенство, собрав логарифмы в левой части:
$\log_3 (2 - 3^{-x}) + \log_3 4 < x + 1$
Используем свойство суммы логарифмов $\log_a b + \log_a c = \log_a (bc)$:
$\log_3 (4(2 - 3^{-x})) < x + 1$
Представим правую часть как логарифм по основанию 3: $x+1 = (x+1)\log_3 3 = \log_3(3^{x+1})$.
$\log_3 (8 - 4 \cdot 3^{-x}) < \log_3(3^{x+1})$
Так как основание логарифма $3 > 1$, знак неравенства при переходе к подлогарифмическим выражениям сохраняется:
$8 - 4 \cdot 3^{-x} < 3^{x+1}$
$8 - 4 \cdot \frac{1}{3^x} < 3 \cdot 3^x$
Сделаем замену $y = 3^x$. Так как $3^x$ всегда положительно, то $y > 0$.
$8 - \frac{4}{y} < 3y$
Умножим обе части на $y > 0$: $8y - 4 < 3y^2$.
$3y^2 - 8y + 4 > 0$
Найдем корни квадратного уравнения $3y^2 - 8y + 4 = 0$ через дискриминант:
$D = (-8)^2 - 4 \cdot 3 \cdot 4 = 64 - 48 = 16 = 4^2$.
$y_{1,2} = \frac{8 \pm 4}{6} \implies y_1 = \frac{12}{6}=2, y_2 = \frac{4}{6}=\frac{2}{3}$.
Парабола $3y^2 - 8y + 4$ с ветвями вверх, значит, неравенство выполняется при $y < 2/3$ или $y > 2$.
Выполним обратную замену:
1. $3^x < 2/3 \implies x < \log_3(2/3) \implies x < \log_3 2 - \log_3 3 \implies x < \log_3 2 - 1$.
2. $3^x > 2 \implies x > \log_3 2$.
Пересечем полученные решения с ОДЗ $x > -\log_3 2$. Оба интервала удовлетворяют ОДЗ.
Ответ: $x \in (-\log_3 2; \log_3 2 - 1) \cup (\log_3 2; +\infty)$.
3) $\log_{x^2-3}(4x+7) > 0$
Неравенство вида $\log_a b > 0$ равносильно совокупности двух систем, основанной на методе рационализации для логарифмов:
Система 1: $\begin{cases} \text{основание} > 1 \\ \text{аргумент} > 1 \end{cases}$
Система 2: $\begin{cases} 0 < \text{основание} < 1 \\ 0 < \text{аргумент} < 1 \end{cases}$
Рассмотрим Систему 1:
$\begin{cases} x^2 - 3 > 1 \\ 4x + 7 > 1 \end{cases} \implies \begin{cases} x^2 > 4 \\ 4x > -6 \end{cases} \implies \begin{cases} x \in (-\infty; -2) \cup (2; +\infty) \\ x > -1.5 \end{cases}$
Пересечением этих условий является интервал $x \in (2; +\infty)$.
Рассмотрим Систему 2:
$\begin{cases} 0 < x^2 - 3 < 1 \\ 0 < 4x + 7 < 1 \end{cases}$
Решим первое двойное неравенство: $0 < x^2 - 3 < 1 \implies 3 < x^2 < 4$. Решением является $x \in (-2; -\sqrt{3}) \cup (\sqrt{3}; 2)$.
Решим второе двойное неравенство: $0 < 4x + 7 < 1 \implies -7 < 4x < -6 \implies -7/4 < x < -6/4 \implies -1.75 < x < -1.5$.
Теперь найдем пересечение решений для Системы 2: $(-2; -\sqrt{3}) \cup (\sqrt{3}; 2)$ и $(-1.75; -1.5)$. Учитывая, что $\sqrt{3} \approx 1.732$, пересечением будет интервал $x \in (-1.75; -\sqrt{3})$, или $x \in (-7/4; -\sqrt{3})$.
Итоговое решение — это объединение решений, полученных в обеих системах.
Ответ: $x \in (-7/4; -\sqrt{3}) \cup (2; +\infty)$.
4) $\log_{\frac{x-1}{5x-6}}(\sqrt{6-2x}) < 0$
Неравенство вида $\log_a b < 0$ равносильно совокупности двух систем:
Система 1: $\begin{cases} \text{основание} > 1 \\ 0 < \text{аргумент} < 1 \end{cases}$
Система 2: $\begin{cases} 0 < \text{основание} < 1 \\ \text{аргумент} > 1 \end{cases}$
Здесь $a = \frac{x-1}{5x-6}$ и $b = \sqrt{6-2x}$. Из ОДЗ $b>0$ следует $6-2x > 0 \implies x < 3$.
Рассмотрим Систему 1:
1. Основание $a > 1$: $\frac{x-1}{5x-6} > 1 \implies \frac{x-1 - (5x-6)}{5x-6} > 0 \implies \frac{-4x+5}{5x-6} > 0 \implies \frac{4x-5}{5x-6} < 0$. Решением этого неравенства является интервал $x \in (6/5; 5/4)$, то есть $x \in (1.2; 1.25)$.
2. Аргумент $0 < b < 1$: $0 < \sqrt{6-2x} < 1$. Возводим в квадрат: $0 < 6-2x < 1 \implies -6 < -2x < -5 \implies 5 < 2x < 6 \implies 2.5 < x < 3$.
Пересечение решений $x \in (1.2; 1.25)$ и $x \in (2.5; 3)$ является пустым множеством. Система 1 решений не имеет.
Рассмотрим Систему 2:
1. Основание $0 < a < 1$: $0 < \frac{x-1}{5x-6} < 1$.
Неравенство $\frac{x-1}{5x-6} > 0$ выполняется при $x \in (-\infty; 1) \cup (6/5; +\infty)$.
Неравенство $\frac{x-1}{5x-6} < 1$ (решенное в Cистеме 1) выполняется при $x \in (-\infty; 6/5) \cup (5/4; +\infty)$.
Пересекая эти два условия, получаем $x \in (-\infty; 1) \cup (5/4; +\infty)$.
2. Аргумент $b > 1$: $\sqrt{6-2x} > 1$. Возводим в квадрат: $6-2x > 1 \implies 5 > 2x \implies x < 2.5$.
Теперь найдем пересечение решений для Системы 2: $x \in ((-\infty; 1) \cup (5/4; +\infty))$ и $x < 2.5$. Это дает нам $x \in (-\infty; 1) \cup (5/4; 2.5)$.
Так как первая система не дала решений, это и есть итоговый результат, который удовлетворяет ОДЗ ($x<3$).
Ответ: $x \in (-\infty; 1) \cup (5/4; 5/2)$.
Другие задания:
Помогло решение? Оставьте отзыв в комментариях ниже.
Мы подготовили для вас ответ c подробным объяснением домашего задания по алгебре за 10-11 класс, для упражнения номер 365 расположенного на странице 112 к учебнику 2014 года издания для учащихся школ и гимназий.
Теперь на нашем сайте ГДЗ.ТОП вы всегда легко и бесплатно найдёте условие с правильным ответом на вопрос «Как решить ДЗ» и «Как сделать» задание по алгебре к упражнению №365 (с. 112), авторов: Алимов (Шавкат Арифджанович), Колягин (Юрий Михайлович), Ткачева (Мария Владимировна), Федорова (Надежда Евгеньевна), Шабунин (Михаил Иванович), ФГОС (старый) базовый и углублённый уровень обучения учебного пособия издательства Просвещение.